Qiu Ya-Ru, Cui Long, Cai Pei-Yu, Yu Fei, Kurmoo Mohamedally, Leong Chanel F, D'Alessandro Deanna M, Zuo Jing-Lin
State Key Laboratory of Coordination Chemistry , School of Chemistry and Chemical Engineering , Collaborative Innovation Center of Advanced Microstructures , Nanjing University , Nanjing 210023 , P. R. China . Email:
School of Chemistry and Materials Science , Nanjing University of Information Science and Technology , Nanjing , 210044 , P. R. China.
Chem Sci. 2020 May 27;11(24):6229-6235. doi: 10.1039/d0sc02388d. eCollection 2020 Jun 28.
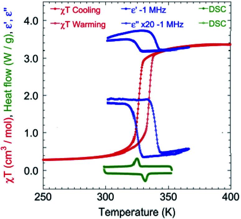
In designing multifunctional materials for potential switches that can be used as memory devices, the high-spin (HS) to low-spin (LS) crossover (SCO) one-dimensional polymer, [Fe(L)(4,4'-bpy)] , was constructed from a designed redox-active tetrathiafulvalene (TTF) functionalized Schiff-base and the ditopic linker 4,4'-bipyridine (bpy). It exhibits an 8 K hysteretic SCO centred at = 325 K which is coupled to changes in its dielectric constant. The crystal structures above and below the transition temperature reveal similar parallel linear ···Fe-bpy-Fe-bpy··· chains displaying expansion of the Fe octahedron in the HS state. Density functional theory (DFT) calculations reveal a concerted electronic charge and spin change represented by the Mülliken charge of the Fe and the magnitude and direction of the dipole moment which substantiate the experimental observations.
在设计可作为存储器件的潜在开关的多功能材料时,高自旋(HS)到低自旋(LS)交叉(SCO)的一维聚合物[Fe(L)(4,4'-bpy)]由设计的氧化还原活性四硫富瓦烯(TTF)功能化席夫碱和双齿连接体4,4'-联吡啶(bpy)构建而成。它表现出以 = 325 K为中心的8 K滞后SCO,这与它的介电常数变化相关。转变温度上下的晶体结构显示出相似的平行线性···Fe-bpy-Fe-bpy···链,在HS状态下Fe八面体有膨胀。密度泛函理论(DFT)计算揭示了由Fe的穆利肯电荷以及偶极矩的大小和方向所代表的协同电子电荷和自旋变化,证实了实验观察结果。