Suppr超能文献

急诊室中脓毒性休克严重程度评分变化的预后价值

Prognostic Value of Severity Score Change for Septic Shock in the Emergency Room.

作者信息

Hwang Tae Sik, Park Hyun Woo, Park Ha Young, Park Young Sook

机构信息

Department of Emergency Medicine, Inje University Haeundae Paik Hospital, Busan 48108, Korea.

Department of Physical & Rehabilitation Medicine, Samsung Changwon Hospital, Sungkyunkwan University School of Medicine, Changwon 51353, Korea.

出版信息

Diagnostics (Basel). 2020 Sep 24;10(10):743. doi: 10.3390/diagnostics10100743.

Abstract

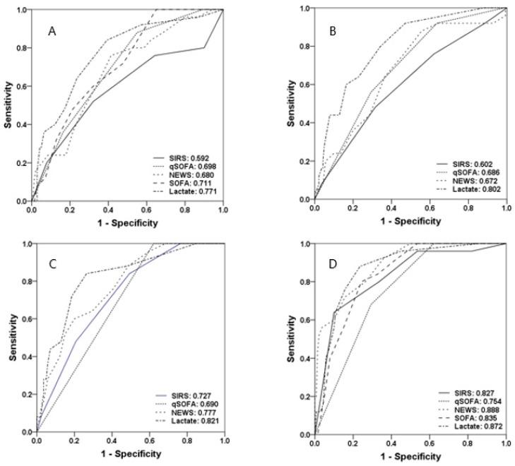
The vital signs or laboratory test results of sepsis patients may change before clinical deterioration. This study examined the differences in prognostic performance when systemic inflammatory response syndrome (SIRS), Sequential Organ Failure Assessment (SOFA), quick SOFA (qSOFA) scores, National Early Warning Score (NEWS), and lactate levels were repeatedly measured. Scores were obtained at arrival to triage, 1 h after fluid resuscitation, 1 h after vasopressor prescription, and before leaving the emergency room (ER) in 165 patients with septic shock. The relationships between score changes and in-hospital mortality, mechanical ventilation, admission to the intensive care unit, and mortality within seven days were compared using areas under receiver operating characteristic curve (AUROCs). Scores measured before leaving the ER had the highest AUROCs across all variables (SIRS score 0.827 [0.737-0.917], qSOFA score 0.754 [0.627-0.838], NEWS 0.888 [0.826-0.950], SOFA score 0.835 [0.766-0.904], and lactate 0.872 [0.805-0.939]). When combined, SIRS + lactate (0.882 [0.804-0.960]), qSOFA + lactate (0.872 [0.808-0.935]), NEWS + lactate (0.909 [0.855-0.963]), and SOFA + lactate (0.885 [0.832-0.939]) showed improved AUROCs. In patients with septic shock, scoring systems show better predictive performances at the timepoints reflecting changes in vital signs and laboratory test results than at the time of arrival, and combining them with lactate values increases their predictive powers.

摘要

脓毒症患者的生命体征或实验室检查结果可能在临床恶化前发生变化。本研究探讨了重复测量全身炎症反应综合征(SIRS)、序贯器官衰竭评估(SOFA)、快速SOFA(qSOFA)评分、国家早期预警评分(NEWS)和乳酸水平时,预后性能的差异。在165例感染性休克患者中,分别于分诊时、液体复苏后1小时、血管活性药物处方后1小时以及离开急诊室(ER)前获取上述评分。使用受试者操作特征曲线下面积(AUROCs)比较评分变化与住院死亡率、机械通气、入住重症监护病房以及7天内死亡率之间的关系。在所有变量中,离开ER前测量的评分具有最高的AUROCs(SIRS评分0.827 [0.737 - 0.917],qSOFA评分0.754 [0.627 - 0.838],NEWS 0.888 [0.826 - 0.950],SOFA评分0.835 [0.766 - 0.904],乳酸0.872 [0.805 - 0.939])。联合使用时,SIRS + 乳酸(0.882 [0.804 - 0.960])、qSOFA + 乳酸(0.872 [0.808 - 0.935])、NEWS + 乳酸(0.909 [0.855 - 0.963])和SOFA + 乳酸(0.885 [0.832 - 0.939])显示出更高的AUROCs。在感染性休克患者中,评分系统在反映生命体征和实验室检查结果变化的时间点比到达时具有更好的预测性能,并且将它们与乳酸值相结合可提高其预测能力。

https://cdn.ncbi.nlm.nih.gov/pmc/blobs/822a/7598612/3e751316a708/diagnostics-10-00743-g001.jpg

文献AI研究员

20分钟写一篇综述,助力文献阅读效率提升50倍。

立即体验

用中文搜PubMed

大模型驱动的PubMed中文搜索引擎

马上搜索

文档翻译

学术文献翻译模型,支持多种主流文档格式。

立即体验