• 文献检索
  • 文档翻译
  • 深度研究
  • 学术资讯
  • Suppr Zotero 插件Zotero 插件
  • 邀请有礼
  • 套餐&价格
  • 历史记录
应用&插件
Suppr Zotero 插件Zotero 插件浏览器插件Mac 客户端Windows 客户端微信小程序
定价
高级版会员购买积分包购买API积分包
服务
文献检索文档翻译深度研究API 文档MCP 服务
关于我们
关于 Suppr公司介绍联系我们用户协议隐私条款
关注我们

Suppr 超能文献

核心技术专利:CN118964589B侵权必究
粤ICP备2023148730 号-1Suppr @ 2026

文献检索

告别复杂PubMed语法,用中文像聊天一样搜索,搜遍4000万医学文献。AI智能推荐,让科研检索更轻松。

立即免费搜索

文件翻译

保留排版,准确专业,支持PDF/Word/PPT等文件格式,支持 12+语言互译。

免费翻译文档

深度研究

AI帮你快速写综述,25分钟生成高质量综述,智能提取关键信息,辅助科研写作。

立即免费体验

一组与认知能力、脑萎缩和阿尔茨海默病诊断相关的血脂指标:对无痴呆症老年人的纵向研究。

A panel of blood lipids associated with cognitive performance, brain atrophy, and Alzheimer's diagnosis: A longitudinal study of elders without dementia.

作者信息

Ma Ya-Hui, Shen Xue-Ning, Xu Wei, Huang Yu-Yuan, Li Hong-Qi, Tan Lin, Tan Chen-Chen, Dong Qiang, Tan Lan, Yu Jin-Tai

机构信息

Department of Neurology Qingdao Municipal Hospital Qingdao University Qingdao China.

Department of Neurology and Institute of Neurology Huashan Hospital Shanghai Medical College Fudan University Shanghai China.

出版信息

Alzheimers Dement (Amst). 2020 Sep 15;12(1):e12041. doi: 10.1002/dad2.12041. eCollection 2020.

DOI:10.1002/dad2.12041
PMID:32995461
原文链接:https://pmc.ncbi.nlm.nih.gov/articles/PMC7507431/
Abstract

INTRODUCTION

We sought lipid-metabolic biomarkers involved in the processes underlying cognitive decline and detected them in association with Alzheimer's disease (AD) phenotypes.

METHODS

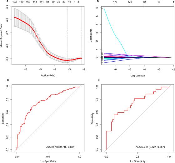
A least absolute shrinkage and selection operator logistic regression model was used to select lipids that best classified cognitive decline defined by a fast-annual rate of cognition. Lipid summary scores were constructed as predictors of cognitive decline by using this model. Multivariable-adjusted models tested the associations of risk score with AD phenotypes.

RESULTS

A model incorporating 17 selected lipids showed good discrimination and calibration. The lipid risk score was positively associated with the baseline Alzheimer Disease Assessment Scale-13-item cognitive subscale (ADAS-Cog13) score and cerebrospinal tau protein level, and predicted cognitive diagnoses. Additional results showing that individuals with increased lipid risk scores had rapid change rates of ADAS-Cog13 and brain atrophy further corroborated the predictive role of lipids.

DISCUSSION

A panel of blood lipids instead of individual lipid molecules could better diagnose and predict cognitive decline.

摘要

引言

我们寻找参与认知衰退潜在过程的脂质代谢生物标志物,并检测它们与阿尔茨海默病(AD)表型的关联。

方法

使用最小绝对收缩和选择算子逻辑回归模型来选择能最佳区分由快速年认知率定义的认知衰退的脂质。通过该模型构建脂质汇总分数作为认知衰退的预测指标。多变量调整模型检验风险评分与AD表型的关联。

结果

包含17种选定脂质的模型显示出良好的区分度和校准度。脂质风险评分与基线阿尔茨海默病评估量表13项认知子量表(ADAS-Cog13)评分及脑脊液tau蛋白水平呈正相关,并能预测认知诊断。其他结果表明,脂质风险评分升高的个体ADAS-Cog13和脑萎缩的变化率较快,这进一步证实了脂质的预测作用。

讨论

一组血脂而非单个脂质分子能更好地诊断和预测认知衰退。

https://cdn.ncbi.nlm.nih.gov/pmc/blobs/478f/7507431/419df197ae3e/DAD2-12-e12041-g005.jpg
https://cdn.ncbi.nlm.nih.gov/pmc/blobs/478f/7507431/231bfea81c3d/DAD2-12-e12041-g001.jpg
https://cdn.ncbi.nlm.nih.gov/pmc/blobs/478f/7507431/5315be7f857d/DAD2-12-e12041-g002.jpg
https://cdn.ncbi.nlm.nih.gov/pmc/blobs/478f/7507431/2cdcaea55fe6/DAD2-12-e12041-g003.jpg
https://cdn.ncbi.nlm.nih.gov/pmc/blobs/478f/7507431/dad81667c3aa/DAD2-12-e12041-g004.jpg
https://cdn.ncbi.nlm.nih.gov/pmc/blobs/478f/7507431/419df197ae3e/DAD2-12-e12041-g005.jpg
https://cdn.ncbi.nlm.nih.gov/pmc/blobs/478f/7507431/231bfea81c3d/DAD2-12-e12041-g001.jpg
https://cdn.ncbi.nlm.nih.gov/pmc/blobs/478f/7507431/5315be7f857d/DAD2-12-e12041-g002.jpg
https://cdn.ncbi.nlm.nih.gov/pmc/blobs/478f/7507431/2cdcaea55fe6/DAD2-12-e12041-g003.jpg
https://cdn.ncbi.nlm.nih.gov/pmc/blobs/478f/7507431/dad81667c3aa/DAD2-12-e12041-g004.jpg
https://cdn.ncbi.nlm.nih.gov/pmc/blobs/478f/7507431/419df197ae3e/DAD2-12-e12041-g005.jpg

相似文献

1
A panel of blood lipids associated with cognitive performance, brain atrophy, and Alzheimer's diagnosis: A longitudinal study of elders without dementia.一组与认知能力、脑萎缩和阿尔茨海默病诊断相关的血脂指标:对无痴呆症老年人的纵向研究。
Alzheimers Dement (Amst). 2020 Sep 15;12(1):e12041. doi: 10.1002/dad2.12041. eCollection 2020.
2
Baseline [F]GTP1 tau PET imaging is associated with subsequent cognitive decline in Alzheimer's disease.基线 [F]GTP1 tau PET 成像与阿尔茨海默病的后续认知能力下降有关。
Alzheimers Res Ther. 2021 Dec 1;13(1):196. doi: 10.1186/s13195-021-00937-x.
3
Lipidomic markers for the prediction of progression from mild cognitive impairment to Alzheimer's disease.用于预测轻度认知障碍向阿尔茨海默病进展的脂质组学标志物。
FASEB J. 2023 Jul;37(7):e22998. doi: 10.1096/fj.202201584RR.
4
Hypothesis: cerebrospinal fluid protein markers suggest a pathway toward symptomatic resilience to AD pathology.假说:脑脊液蛋白标志物提示了一种对 AD 病理有症状抵抗能力的途径。
Alzheimers Dement. 2019 Sep;15(9):1160-1171. doi: 10.1016/j.jalz.2019.05.007. Epub 2019 Aug 9.
5
Alzheimer's Disease Assessment Scale-Cognitive subscale variants in mild cognitive impairment and mild Alzheimer's disease: change over time and the effect of enrichment strategies.轻度认知障碍和轻度阿尔茨海默病中阿尔茨海默病评估量表-认知子量表变体:随时间的变化及强化策略的影响
Alzheimers Res Ther. 2016 Feb 12;8:8. doi: 10.1186/s13195-016-0170-5.
6
Circulating ethanolamine plasmalogen indices in Alzheimer's disease: Relation to diagnosis, cognition, and CSF tau.阿尔茨海默病患者循环乙醇胺磷酯指数:与诊断、认知和 CSF tau 的关系。
Alzheimers Dement. 2020 Sep;16(9):1234-1247. doi: 10.1002/alz.12110. Epub 2020 Jul 27.
7
Alzheimer disease brain atrophy subtypes are associated with cognition and rate of decline.阿尔茨海默病脑萎缩亚型与认知及衰退速率相关。
Neurology. 2017 Nov 21;89(21):2176-2186. doi: 10.1212/WNL.0000000000004670. Epub 2017 Oct 25.
8
Utility of an Alzheimer's Disease Risk-Weighted Polygenic Risk Score for Predicting Rates of Cognitive Decline in Preclinical Alzheimer's Disease: A Prospective Longitudinal Study.阿尔茨海默病风险加权多基因风险评分预测临床前阿尔茨海默病认知下降率的效用:一项前瞻性纵向研究。
J Alzheimers Dis. 2018;66(3):1193-1211. doi: 10.3233/JAD-180713.
9
Associations of Subsyndromal Symptomatic Depression with Cognitive Decline and Brain Atrophy in Elderly Individuals without Dementia: A Longitudinal Study.亚临床症状性抑郁与无痴呆老年个体认知能力下降和脑萎缩的相关性:一项纵向研究。
J Affect Disord. 2020 Sep 1;274:262-268. doi: 10.1016/j.jad.2020.05.097. Epub 2020 May 23.
10
Identification of prognostic factors to predict cognitive decline of patients with early Alzheimer's disease in the Japanese Alzheimer's Disease Neuroimaging Initiative study.在日本阿尔茨海默病神经影像学倡议研究中识别预测早期阿尔茨海默病患者认知衰退的预后因素。
Alzheimers Dement (N Y). 2019 Aug 7;5:364-373. doi: 10.1016/j.trci.2019.06.004. eCollection 2019.

引用本文的文献

1
Plasma lipidomic fingerprinting enables high-accuracy biomarker discovery for Alzheimer's disease: a targeted LC-MRM/MS approach.血浆脂质组指纹图谱能够实现阿尔茨海默病高精度生物标志物的发现:一种靶向液相色谱-多反应监测/质谱方法。
Geroscience. 2025 Jun 27. doi: 10.1007/s11357-025-01777-5.
2
Investigating the association of the plasma lipidomic profile with cognitive performance and genetic risk in the PsyCourse study.在PsyCourse研究中调查血浆脂质组学特征与认知表现及遗传风险之间的关联。
Transl Psychiatry. 2025 Mar 28;15(1):105. doi: 10.1038/s41398-025-03323-5.
3
Trajectories of lipid profile with cognitive function: 12-year follow-up of Guangzhou Biobank cohort study.

本文引用的文献

1
Sets of coregulated serum lipids are associated with Alzheimer's disease pathophysiology.共同调控的血清脂质组与阿尔茨海默病的病理生理学相关。
Alzheimers Dement (Amst). 2019 Sep 5;11:619-627. doi: 10.1016/j.dadm.2019.07.002. eCollection 2019 Dec.
2
Frequency and longitudinal clinical outcomes of Alzheimer's AT(N) biomarker profiles: A longitudinal study.阿尔茨海默病 AT(N)生物标志物谱的频率和纵向临床结局:一项纵向研究。
Alzheimers Dement. 2019 Sep;15(9):1208-1217. doi: 10.1016/j.jalz.2019.05.006. Epub 2019 Aug 6.
3
Diet-Related Metabolites Associated with Cognitive Decline Revealed by Untargeted Metabolomics in a Prospective Cohort.
血脂水平与认知功能的轨迹:广州生物样本库队列研究的12年随访
Eur Arch Psychiatry Clin Neurosci. 2025 Feb 28. doi: 10.1007/s00406-025-01974-5.
4
Prenatal exposure to undernutrition is associated with a specific lipid profile predicting future brain aging.产前暴露于营养不良环境与预测未来大脑衰老的特定血脂谱相关。
NPJ Aging. 2024 Sep 30;10(1):42. doi: 10.1038/s41514-024-00169-x.
5
Plasma lipidomics in early APP/PS1 female mouse model and its relationship with brain: Is it affected by the estrous cycle?早期 APP/PS1 雌性小鼠模型中的血浆脂质组学及其与大脑的关系:是否受动情周期影响?
Alzheimers Res Ther. 2024 Aug 14;16(1):183. doi: 10.1186/s13195-024-01549-x.
6
Targeted co-expression networks for the study of traits.靶向共表达网络在性状研究中的应用。
Sci Rep. 2024 Jul 19;14(1):16675. doi: 10.1038/s41598-024-67329-7.
7
The role of dietary fats on cognition and sarcopenia in the elderly.膳食脂肪对老年人认知功能和肌肉减少症的作用。
Asia Pac J Clin Nutr. 2024 Jun;33(2):272-282. doi: 10.6133/apjcn.202406_33(2).0012.
8
Relationship between Plasma Lipid Profile and Cognitive Status in Early Alzheimer Disease.血浆脂质谱与早期阿尔茨海默病认知状态的关系。
Int J Mol Sci. 2024 May 13;25(10):5317. doi: 10.3390/ijms25105317.
9
Depression and cognition are associated with lipid dysregulation in both a multigenerational study of depression and the National Health and Nutrition Examination Survey.在一项关于抑郁症的多代研究以及美国国家健康与营养检查调查中,抑郁症和认知功能均与脂质失调有关。
Transl Psychiatry. 2024 Mar 12;14(1):142. doi: 10.1038/s41398-024-02847-6.
10
Neutrophil activation may trigger tau burden contributing to cognitive progression of chronic sleep disturbance in elderly individuals not living with dementia.中性粒细胞激活可能会引发 tau 负担,导致认知功能恶化,从而影响没有痴呆症的老年慢性睡眠障碍患者的认知进展。
BMC Med. 2023 Jun 6;21(1):205. doi: 10.1186/s12916-023-02910-x.
通过前瞻性队列的非靶向代谢组学研究揭示与认知能力下降相关的饮食相关代谢产物。
Mol Nutr Food Res. 2019 Sep;63(18):e1900177. doi: 10.1002/mnfr.201900177. Epub 2019 Jul 9.
4
Primary fatty amides in plasma associated with brain amyloid burden, hippocampal volume, and memory in the European Medical Information Framework for Alzheimer's Disease biomarker discovery cohort.血浆中初级脂肪酰胺与脑淀粉样蛋白负荷、海马体积和记忆相关,在欧洲阿尔茨海默病生物标志物发现队列的医疗信息框架中。
Alzheimers Dement. 2019 Jun;15(6):817-827. doi: 10.1016/j.jalz.2019.03.004. Epub 2019 May 8.
5
Lifestyle interventions to prevent cognitive impairment, dementia and Alzheimer disease.生活方式干预预防认知障碍、痴呆和阿尔茨海默病。
Nat Rev Neurol. 2018 Nov;14(11):653-666. doi: 10.1038/s41582-018-0070-3.
6
Activities, bioavailability, and metabolism of lipids from structural membranes and oils: Promising research on mild cognitive impairment.来自结构膜和油脂的脂质的活性、生物利用度及代谢:关于轻度认知障碍的前景研究
Pharmacol Res. 2018 Aug;134:299-304. doi: 10.1016/j.phrs.2018.07.013. Epub 2018 Jul 20.
7
Sex, amyloid, and APOE ε4 and risk of cognitive decline in preclinical Alzheimer's disease: Findings from three well-characterized cohorts.性别、淀粉样蛋白、载脂蛋白 E ε4 与临床前阿尔茨海默病认知衰退的风险:三个特征明确队列的研究结果。
Alzheimers Dement. 2018 Sep;14(9):1193-1203. doi: 10.1016/j.jalz.2018.04.010. Epub 2018 May 24.
8
Brain and blood metabolite signatures of pathology and progression in Alzheimer disease: A targeted metabolomics study.阿尔茨海默病病理和进展的脑和血液代谢物特征:靶向代谢组学研究。
PLoS Med. 2018 Jan 25;15(1):e1002482. doi: 10.1371/journal.pmed.1002482. eCollection 2018 Jan.
9
The effects of aging in the hippocampus and cognitive decline.衰老对海马体的影响及认知衰退
Neurosci Biobehav Rev. 2017 Aug;79:66-86. doi: 10.1016/j.neubiorev.2017.04.030. Epub 2017 May 2.
10
Blood cholesterol in late-life and cognitive decline: a longitudinal study of the Chinese elderly.老年期血胆固醇与认知功能衰退:一项针对中国老年人的纵向研究。
Mol Neurodegener. 2017 Mar 7;12(1):24. doi: 10.1186/s13024-017-0167-y.