Suppr超能文献

半乳糖脑苷脂处理 Cln3Δex7/8 小鼠的基因表达中的性别差异。

Sex differences in gene expression with galactosylceramide treatment in Cln3Δex7/8 mice.

机构信息

Department of Biochemistry and Molecular Genetics, American University of Beirut Medical Center, Beirut, Lebanon.

Department of Translational Molecular Pathology, University of Texas MD Anderson Cancer Center, Houston, Texas, United States of America.

出版信息

PLoS One. 2020 Oct 2;15(10):e0239537. doi: 10.1371/journal.pone.0239537. eCollection 2020.

Abstract

BACKGROUND

CLN3 disease is caused by mutations in the CLN3 gene. The purpose of this study is to discern global expression patterns reflecting therapeutic targets in CLN3 disease.

METHODS

Differential gene expression in vehicle-exposed mouse brain was determined after intraperitoneal vehicle/Galactosylceramide (GalCer) injections for 40 weeks with GeneChip Mouse Genome 430 2.0 arrays.

RESULTS

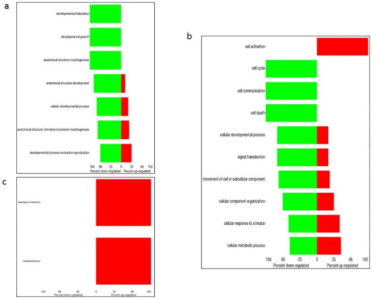
Analysis identified 66 genes in male and 30 in female brains differentially expressed in GalCer-treated versus vehicle-exposed Cln3Δex7/8 mice. Gene ontology revealed aberrations of biological function including developmental, cellular, and behavioral processes. GalCer treatment altered pathways of long-term potentiation/depression, estrogen signaling, synaptic vesicle cycle, ErbB signaling, and prion diseases in males, but prolactin signaling, selenium compound metabolism and steroid biosynthesis in females. Gene-gene network analysis highlighted networks functionally pertinent to GalCer treatment encompassing motor dysfunction, neurodegeneration, memory disorder, inflammation and astrogliosis in males, and, cataracts, inflammation, astrogliosis, and anxiety in females.

CONCLUSIONS

This study sheds light on global expression patterns following GalCer treatment of Cln3Δex7/8 mice. Understanding molecular effects of GalCer on mouse brain gene expression, paves the way for personalized strategies for treating this debilitating disease in humans.

摘要

背景

CLN3 病是由 CLN3 基因突变引起的。本研究旨在发现反映 CLN3 病治疗靶点的整体表达模式。

方法

用基因芯片小鼠基因组 430 2.0 阵列检测腹腔注射载体/半乳糖神经酰胺(GalCer)40 周后暴露于载体的小鼠大脑中的差异基因表达。

结果

分析确定了雄性大脑中 66 个基因和雌性大脑中 30 个基因在 GalCer 处理的 Cln3Δex7/8 小鼠与暴露于载体的小鼠之间存在差异表达。基因本体论揭示了生物功能的异常,包括发育、细胞和行为过程。GalCer 处理改变了雄性的长时程增强/抑制、雌激素信号、突触囊泡循环、ErbB 信号和朊病毒病的途径,但改变了雌性的催乳素信号、硒化合物代谢和甾体生物合成的途径。基因-基因网络分析突出了与 GalCer 治疗相关的功能网络,包括雄性的运动功能障碍、神经退行性变、记忆障碍、炎症和星形胶质增生,以及雌性的白内障、炎症、星形胶质增生和焦虑。

结论

本研究揭示了 GalCer 处理 Cln3Δex7/8 小鼠后大脑的整体表达模式。了解 GalCer 对小鼠大脑基因表达的分子影响,为治疗人类这种使人衰弱的疾病开辟了个性化策略的道路。

https://cdn.ncbi.nlm.nih.gov/pmc/blobs/211b/7531864/2b0df68a3847/pone.0239537.g001.jpg

文献检索

告别复杂PubMed语法,用中文像聊天一样搜索,搜遍4000万医学文献。AI智能推荐,让科研检索更轻松。

立即免费搜索

文件翻译

保留排版,准确专业,支持PDF/Word/PPT等文件格式,支持 12+语言互译。

免费翻译文档

深度研究

AI帮你快速写综述,25分钟生成高质量综述,智能提取关键信息,辅助科研写作。

立即免费体验