• 文献检索
  • 文档翻译
  • 深度研究
  • 学术资讯
  • Suppr Zotero 插件Zotero 插件
  • 邀请有礼
  • 套餐&价格
  • 历史记录
应用&插件
Suppr Zotero 插件Zotero 插件浏览器插件Mac 客户端Windows 客户端微信小程序
定价
高级版会员购买积分包购买API积分包
服务
文献检索文档翻译深度研究API 文档MCP 服务
关于我们
关于 Suppr公司介绍联系我们用户协议隐私条款
关注我们

Suppr 超能文献

核心技术专利:CN118964589B侵权必究
粤ICP备2023148730 号-1Suppr @ 2026

文献检索

告别复杂PubMed语法,用中文像聊天一样搜索,搜遍4000万医学文献。AI智能推荐,让科研检索更轻松。

立即免费搜索

文件翻译

保留排版,准确专业,支持PDF/Word/PPT等文件格式,支持 12+语言互译。

免费翻译文档

深度研究

AI帮你快速写综述,25分钟生成高质量综述,智能提取关键信息,辅助科研写作。

立即免费体验

希腊胰腺腺癌患者临床实践的观察性研究。

Observational Study of Clinical Practice in Patients with Pancreatic Adenocarcinoma in Greece.

作者信息

Papaxoinis George, Athanasiadis Athanasios, Sgouros Joseph, Visvikis Anastastios, Drizou Maria, Kontopodis Emmanouil, Koumarianou Anna, Stojanovska Suzana, Aravantinos Gerasimos, Korantzis Ippokratis, Ioannou Alexandros, Varthalitis Ioannis, Doufexis Dimitrios, Nikolaou Michail, Lypas Georgios, Bompolaki Iliada, Christopoulou Athina, Liontos Michael, Tsoukalas Nikolaos, Mauri Davide, Xenidis Nikolaos, Katsaounis Panagiotis, Oikonomopoulos Georgios, Boukovinas Ioannis

机构信息

Hellenic Society of Medical Oncology (HeSMO), Athens, Greece.

出版信息

J Oncol. 2020 Sep 19;2020:5304516. doi: 10.1155/2020/5304516. eCollection 2020.

DOI:10.1155/2020/5304516
PMID:33014051
原文链接:https://pmc.ncbi.nlm.nih.gov/articles/PMC7520678/
Abstract

BACKGROUND

During the last decade, significant improvement was made in systemic therapy of pancreatic adenocarcinoma (PAC). The impact of this progress in everyday clinical practice has not been fully described yet. The aim of the study was to investigate the pattern followed by Greek Medical Oncologists regarding the treatment of patients with PAC.

METHODS

This observational, noninterventional multicenter study recorded clinical data from the files of 200 active patients (alive and under treatment or follow-up) for a two-year period (November 2015 until November 2017) from 20 oncology centers around Greece.

RESULTS

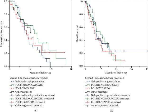
In total, 51 (25.5%) patients underwent radical surgical resection of PAC, and 40 (78.4%) of them received adjuvant and 1 (2.0%) neoadjuvant chemotherapy. The median time to recurrence was 7.9 months, and median overall survival (OS), 20.2 months. First-line chemotherapy was administered to 193 (96.5%) patients. The majority of patients were treated with the combination of nab-paclitaxel-gemcitabine (NPG), 5-fluorouracil, leucovorin, irinotecan, oxaliplatin (FOLFIRINOX), or gemcitabine monotherapy. Of them, 39.5% responded to the treatment. Median OS and PFS were 14.1 months and 7.0 months, respectively. Second-line treatment was administered to 112 patients. The majority received NPG, FOLFIRINOX/capecitabine, oxaliplatin, irinotecan (CAPOXIRI), or 5-fluorouracil, leucovorin, oxaliplatin (FOLFOX)/capecitabine, oxaliplatin (CAPOX). Median OS with second-line treatment was 8.6 months, and median PFS, 5.5 months. The most common chemotherapy sequences were NPG as first-line followed by FOLFIRINOX/CAPOXIRI as second-line, NPG followed by FOLFOX/CAPOX, NPG followed by other regimens, and FOLFIRINOX/CAPOXIRI followed by NPG.

CONCLUSION

This study described the significant improvement in prognosis of PAC patients receiving palliative chemotherapy and the relatively high rate of receipt of second-line chemotherapy, according to real-world data. However, due to the nonrandomized nature of the study, any comparison between different chemotherapy regimens should be regarded with caution.

摘要

背景

在过去十年中,胰腺腺癌(PAC)的全身治疗取得了显著进展。然而,这一进展在日常临床实践中的影响尚未得到充分描述。本研究的目的是调查希腊肿瘤内科医生对PAC患者的治疗模式。

方法

这项观察性、非干预性多中心研究记录了来自希腊各地20个肿瘤中心的200例活跃患者(存活且正在接受治疗或随访)在两年期间(2015年11月至2017年11月)的临床资料。

结果

共有51例(25.5%)患者接受了PAC根治性手术切除,其中40例(78.4%)接受了辅助化疗,1例(2.0%)接受了新辅助化疗。复发的中位时间为7.9个月,总生存期(OS)的中位时间为20.2个月。193例(96.5%)患者接受了一线化疗。大多数患者接受了白蛋白结合型紫杉醇-吉西他滨(NPG)、5-氟尿嘧啶、亚叶酸钙、伊立替康、奥沙利铂(FOLFIRINOX)联合治疗,或吉西他滨单药治疗。其中,39.5%的患者对治疗有反应。OS和无进展生存期(PFS)的中位时间分别为14.1个月和7.0个月。112例患者接受了二线治疗。大多数患者接受了NPG、FOLFIRINOX/卡培他滨、奥沙利铂、伊立替康(CAPOXIRI),或5-氟尿嘧啶、亚叶酸钙、奥沙利铂(FOLFOX)/卡培他滨、奥沙利铂(CAPOX)治疗。二线治疗的OS中位时间为8.6个月,PFS中位时间为5.5个月。最常见的化疗顺序是NPG作为一线治疗,随后是FOLFIRINOX/CAPOXIRI作为二线治疗、NPG随后是FOLFOX/CAPOX、NPG随后是其他方案,以及FOLFIRINOX/CAPOXIRI随后是NPG。

结论

根据真实世界数据,本研究描述了接受姑息化疗的PAC患者预后的显著改善以及二线化疗的相对高接受率。然而,由于本研究的非随机性质,不同化疗方案之间的任何比较都应谨慎对待。

https://cdn.ncbi.nlm.nih.gov/pmc/blobs/63a9/7520678/e1460e122565/JO2020-5304516.003.jpg
https://cdn.ncbi.nlm.nih.gov/pmc/blobs/63a9/7520678/9e42664d3dff/JO2020-5304516.001.jpg
https://cdn.ncbi.nlm.nih.gov/pmc/blobs/63a9/7520678/fb53ea57d93c/JO2020-5304516.002.jpg
https://cdn.ncbi.nlm.nih.gov/pmc/blobs/63a9/7520678/e1460e122565/JO2020-5304516.003.jpg
https://cdn.ncbi.nlm.nih.gov/pmc/blobs/63a9/7520678/9e42664d3dff/JO2020-5304516.001.jpg
https://cdn.ncbi.nlm.nih.gov/pmc/blobs/63a9/7520678/fb53ea57d93c/JO2020-5304516.002.jpg
https://cdn.ncbi.nlm.nih.gov/pmc/blobs/63a9/7520678/e1460e122565/JO2020-5304516.003.jpg

相似文献

1
Observational Study of Clinical Practice in Patients with Pancreatic Adenocarcinoma in Greece.希腊胰腺腺癌患者临床实践的观察性研究。
J Oncol. 2020 Sep 19;2020:5304516. doi: 10.1155/2020/5304516. eCollection 2020.
2
Liposomal irinotecan plus fluorouracil/leucovorin versus FOLFIRINOX as the second-line chemotherapy for patients with metastatic pancreatic cancer: a multicenter retrospective study of the Korean Cancer Study Group (KCSG).脂质体伊立替康联合氟尿嘧啶/亚叶酸钙对比 FOLFIRINOX 二线治疗转移性胰腺癌患者:韩国癌症研究组(KCSG)的一项多中心回顾性研究。
ESMO Open. 2021 Apr;6(2):100049. doi: 10.1016/j.esmoop.2021.100049. Epub 2021 Feb 9.
3
FOLFIRINOX De-Escalation in Advanced Pancreatic Cancer: A Multicenter Real-Life Study.晚期胰腺癌中 FOLFIRINOX 的降阶梯治疗:一项多中心真实世界研究。
Oncologist. 2020 Nov;25(11):e1701-e1710. doi: 10.1634/theoncologist.2020-0577. Epub 2020 Sep 17.
4
The effect of DNA mismatch repair (MMR) status on oxaliplatin-based first-line chemotherapy as in recurrent or metastatic colon cancer.DNA 错配修复(MMR)状态对奥沙利铂为基础的一线化疗治疗复发性或转移性结直肠癌的影响。
Med Oncol. 2010 Dec;27(4):1277-85. doi: 10.1007/s12032-009-9374-x. Epub 2009 Dec 1.
5
Total Neoadjuvant Therapy With FOLFIRINOX Followed by Individualized Chemoradiotherapy for Borderline Resectable Pancreatic Adenocarcinoma: A Phase 2 Clinical Trial.FOLFIRINOX 新辅助治疗联合个体化放化疗治疗边界可切除胰腺腺癌:一项 2 期临床试验。
JAMA Oncol. 2018 Jul 1;4(7):963-969. doi: 10.1001/jamaoncol.2018.0329.
6
FOLFIRINOX for the Treatment of Advanced Gastroesophageal Cancers: A Phase 2 Nonrandomized Clinical Trial.FOLFIRINOX 治疗晚期胃食管交界癌:一项 2 期非随机临床试验。
JAMA Oncol. 2020 Aug 1;6(8):1231-1240. doi: 10.1001/jamaoncol.2020.2020.
7
Gemcitabine/nab-paclitaxel as second-line therapy following FOLFIRINOX in metastatic/advanced pancreatic cancer-retrospective analysis of response.吉西他滨/纳米白蛋白结合型紫杉醇作为转移性/晚期胰腺癌一线FOLFIRINOX方案治疗后的二线治疗——疗效回顾性分析
J Gastrointest Oncol. 2017 Jun;8(3):556-565. doi: 10.21037/jgo.2017.01.23.
8
A retrospective comparative study of S-IROX and modified FOLFIRINOX for patients with advanced pancreatic cancer refractory to gemcitabine plus nab-paclitaxel.吉西他滨联合白蛋白紫杉醇治疗失败的晚期胰腺癌患者采用 S-IROX 与改良 FOLFIRINOX 方案治疗的回顾性对比研究。
Invest New Drugs. 2021 Apr;39(2):605-613. doi: 10.1007/s10637-020-01022-0. Epub 2020 Oct 23.
9
The use of irinotecan, oxaliplatin and raltitrexed for the treatment of advanced colorectal cancer: systematic review and economic evaluation.伊立替康、奥沙利铂和雷替曲塞用于治疗晚期结直肠癌:系统评价与经济学评估
Health Technol Assess. 2008 May;12(15):iii-ix, xi-162. doi: 10.3310/hta12150.
10
AGITG MASTERPLAN: a randomised phase II study of modified FOLFIRINOX alone or in combination with stereotactic body radiotherapy for patients with high-risk and locally advanced pancreatic cancer.AGITG 主计划:一项改良 FOLFIRINOX 单独或联合立体定向体部放疗治疗高危和局部进展期胰腺癌患者的随机 II 期研究。
BMC Cancer. 2021 Aug 19;21(1):936. doi: 10.1186/s12885-021-08666-y.

本文引用的文献

1
Three fluoropyrimidine-based regimens in routine clinical practice after nab-paclitaxel plus gemcitabine for metastatic pancreatic cancer: An AGEO multicenter study.纳武利尤单抗联合伊匹木单抗治疗晚期肝癌的疗效和安全性:一项多中心回顾性研究
Clin Res Hepatol Gastroenterol. 2020 Jun;44(3):295-301. doi: 10.1016/j.clinre.2019.08.009. Epub 2019 Oct 10.
2
Second-Line Gemcitabine Plus Nab-Paclitaxel for Patients with Unresectable Advanced Pancreatic Cancer after First-Line FOLFIRINOX Failure.二线吉西他滨联合白蛋白结合型紫杉醇用于一线FOLFIRINOX方案治疗失败的不可切除晚期胰腺癌患者。
J Clin Med. 2019 May 29;8(6):761. doi: 10.3390/jcm8060761.
3
Cancer statistics, 2019.
癌症统计数据,2019 年。
CA Cancer J Clin. 2019 Jan;69(1):7-34. doi: 10.3322/caac.21551. Epub 2019 Jan 8.
4
Multicenter phase II trial of modified FOLFIRINOX in gemcitabine-refractory pancreatic cancer.改良FOLFIRINOX方案治疗吉西他滨难治性胰腺癌的多中心II期试验
World J Gastrointest Oncol. 2018 Dec 15;10(12):505-515. doi: 10.4251/wjgo.v10.i12.505.
5
FOLFIRINOX or Gemcitabine as Adjuvant Therapy for Pancreatic Cancer.FOLFIRINOX 或吉西他滨作为胰腺癌的辅助治疗。
N Engl J Med. 2018 Dec 20;379(25):2395-2406. doi: 10.1056/NEJMoa1809775.
6
Results from the prospective German TPK clinical cohort study: Treatment algorithms and survival of 1,174 patients with locally advanced, inoperable, or metastatic pancreatic ductal adenocarcinoma.德国 TPK 临床队列研究的结果:1174 例局部晚期、不可切除或转移性胰腺导管腺癌患者的治疗方案和生存情况。
Int J Cancer. 2019 Mar 1;144(5):981-990. doi: 10.1002/ijc.31751. Epub 2018 Oct 3.
7
Nonsurgical therapies for resected and unresected pancreatic cancer in Europe and USA in 2003-2014: a large international population-based study.2003年至2014年欧美地区已切除和未切除胰腺癌的非手术治疗:一项基于国际大型人群的研究。
Int J Cancer. 2018 Dec 15;143(12):3227-3239. doi: 10.1002/ijc.31628. Epub 2018 Oct 3.
8
The benefits of modified FOLFIRINOX for advanced pancreatic cancer and its induced adverse events: a systematic review and meta-analysis.改良 FOLFIRINOX 方案治疗晚期胰腺癌的疗效及其诱导的不良反应:系统评价和荟萃分析。
Sci Rep. 2018 Jun 6;8(1):8666. doi: 10.1038/s41598-018-26811-9.
9
Attenuated FOLFIRINOX in the salvage treatment of gemcitabine-refractory advanced pancreatic cancer: a phase II study.吉西他滨耐药的晚期胰腺癌挽救性治疗中 FOLFIRINOX 的减量化:一项 II 期研究。
Cancer Commun (Lond). 2018 Jun 4;38(1):32. doi: 10.1186/s40880-018-0304-1.
10
Patient characteristics and treatment considerations in pancreatic cancer: a population based study in the Netherlands.胰腺癌患者特征和治疗考虑因素:荷兰基于人群的研究。
Acta Oncol. 2018 Sep;57(9):1185-1191. doi: 10.1080/0284186X.2018.1470330. Epub 2018 May 9.