Suppr超能文献

空气中湍流颗粒悬浮液中颗粒浓度的声学探测。

Acoustic probing of the particle concentration in turbulent granular suspensions in air.

作者信息

van den Wildenberg S, Jia X, Roche O

机构信息

Université Clermont Auvergne, CNRS, IRD, OPGC, Laboratoire Magmas et Volcans, 63000, Clermont-Ferrand, France.

Institut Langevin, ESPCI Paris, PSL University, CNRS, 75005, Paris, France.

出版信息

Sci Rep. 2020 Oct 6;10(1):16544. doi: 10.1038/s41598-020-73427-z.

Abstract

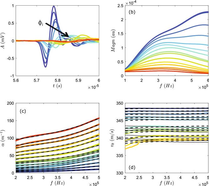
Dilute gas-particle suspensions in which the particles are carried by the fluid are found in various industrial and geophysical contexts. One fundamental issue that limits our understanding of such systems is the difficulty to obtain information on the particle concentration inside these often optically opaque suspensions. To overcome this difficulty, we develop ultrasonic spectroscopy to monitor the local particle concentration [Formula: see text] of glass particles (with diameters [Formula: see text] 77 [Formula: see text]m or 155 [Formula: see text]m) suspended in air. First, we determine the minimal air velocity, [Formula: see text], necessary to suspend the particles from the maximum decrease in the transmitted wave amplitude and velocity of ultrasound propagating through the suspension. Next, setting the air velocity at [Formula: see text], we increase the mass of particles and monitor acoustically the local solid volume fraction, [Formula: see text], by measuring the ultrasound wave attenuation coefficient and phase velocity as a function of frequency on the basis of classical scattering and hydrodynamic models. For the frequency ranges and suspensions considered here, the viscous dissipation dominates over scattering and thermal conduction losses. We show that, for a characteristic air velocity [Formula: see text], the locally measured [Formula: see text] reaches a critical value, in agreement with a recent study on turbulent gas-particle mixtures. Moreover, we find that this critical [Formula: see text] increases with the size of the particles. Finally, analysis of the temporal fluctuations of the locally measured solid volume fraction, suggests that high density regions (clusters) are present even in suspensions with concentrations below the critical concentration. This differs from the current hypothesis according to which the critical concentration coincides with the onset of cluster formation.

摘要

在各种工业和地球物理环境中都能发现稀薄的气粒悬浮液,其中颗粒由流体携带。限制我们对这类系统理解的一个基本问题是,难以获取这些通常光学不透明悬浮液内部颗粒浓度的信息。为了克服这一困难,我们开发了超声光谱技术来监测悬浮在空气中的玻璃颗粒(直径为77微米或155微米)的局部颗粒浓度[公式:见原文]。首先,我们根据穿过悬浮液传播的超声波的透射波振幅和速度的最大降幅,确定使颗粒悬浮所需的最小空气流速[公式:见原文]。接下来,将空气流速设定为[公式:见原文],我们增加颗粒质量,并基于经典散射和流体动力学模型,通过测量超声波衰减系数和相速度随频率的变化,以声学方式监测局部固体体积分数[公式:见原文]。对于此处考虑的频率范围和悬浮液,粘性耗散比散射和热传导损耗占主导。我们表明,对于特征空气流速[公式:见原文],局部测量的[公式:见原文]达到一个临界值,这与最近关于湍流气粒混合物的研究一致。此外,我们发现这个临界[公式:见原文]随颗粒尺寸的增大而增加。最后,对局部测量的固体体积分数的时间波动分析表明,即使在浓度低于临界浓度的悬浮液中也存在高密度区域(团簇)。这与当前的假设不同,根据当前假设,临界浓度与团簇形成的开始相吻合。

https://cdn.ncbi.nlm.nih.gov/pmc/blobs/e636/7538992/735756fbf68b/41598_2020_73427_Fig1_HTML.jpg

文献AI研究员

20分钟写一篇综述,助力文献阅读效率提升50倍。

立即体验

用中文搜PubMed

大模型驱动的PubMed中文搜索引擎

马上搜索

文档翻译

学术文献翻译模型,支持多种主流文档格式。

立即体验