Laboratory of Pharmaceutical Microbiology, Ghent University, Ghent, Belgium.
Front Cell Infect Microbiol. 2020 Sep 15;10:494. doi: 10.3389/fcimb.2020.00494. eCollection 2020.
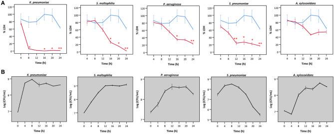
Models to study host-pathogen interactions are an important tool for investigating the infectious disease process and evaluating the efficacy of antimicrobial compounds. In these models, the viability of mammalian cells is often determined using the lactate dehydrogenase (LDH) cytotoxicity assay. In the present study we evaluated whether bacteria could interfere with the LDH assay. As a model for host-pathogen interactions, we co-cultured lung epithelial cells with eight bacteria encountered in the lower respiratory tract. We show that LDH activity is affected by , and , and that this depends on the density of the start inoculum and the duration of infection. Two different mechanisms were discovered through which bacteria interfered with LDH activity, i.e., acidification of the cell culture medium (by and ) and protease production (by and ). In addition, we developed and validated a modified protocol to evaluate cytotoxicity using the LDH assay, where bacterial interference with LDH quantification is avoided.
用于研究宿主-病原体相互作用的模型是研究传染病过程和评估抗菌化合物疗效的重要工具。在这些模型中,通常使用乳酸脱氢酶(LDH)细胞毒性测定法来确定哺乳动物细胞的活力。在本研究中,我们评估了细菌是否会干扰 LDH 测定法。作为宿主-病原体相互作用的模型,我们将肺上皮细胞与下呼吸道中遇到的八种细菌共培养。我们表明,LDH 活性受到 和 的影响,并且这取决于起始接种物的密度和感染持续时间。通过两种不同的机制发现了细菌干扰 LDH 活性的方式,即细胞培养液的酸化(由 和 引起)和蛋白酶的产生(由 和 引起)。此外,我们开发并验证了一种改良的使用 LDH 测定法评估细胞毒性的方案,其中避免了细菌对 LDH 定量的干扰。