Suppr超能文献

急诊科的相对高乳酸血症

Relative Hyperlactatemia in the Emergency Department.

作者信息

Bou Chebl Ralphe, Jamali Sarah, Mikati Nancy, Al Assaad Reem, Abdel Daem Karim, Kattouf Nadim, Safa Rawan, Makki Maha, Tamim Hani, Abou Dagher Gilbert

机构信息

Department of Emergency Medicine, American University of Beirut Medical Center, Beirut, Lebanon.

Department of Internal Medicine, Clinical Research Institute, American University of Beirut, Beirut, Lebanon.

出版信息

Front Med (Lausanne). 2020 Sep 22;7:561. doi: 10.3389/fmed.2020.00561. eCollection 2020.

Abstract

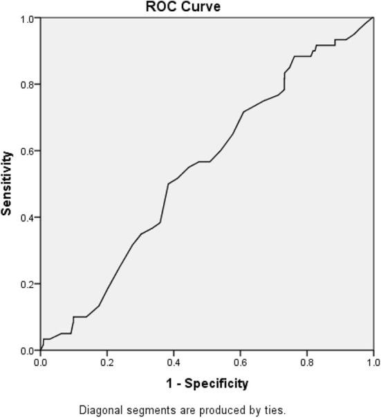
The clinical interpretation of lactate ≤ 2.00 mmol/L in emergency department (ED) patients is not well-characterized. This study aims to determine the optimal cutoff value for lactate within the reference range that predicts in-hospital mortality among ED patients. This was a retrospective study of adult patients presenting to a tertiary ED with an initial serum lactate level of <2.00 mmol/L. The primary outcome was in-hospital mortality. Youden's index was utilized to determine the optimal threshold that predicts mortality. Patients above the threshold were labeled as having relative hyperlactatemia. During the study period, 1,638 patients were included. The mean age was 66.9 ± 18.6 years, 47.1% of the population were female, and the most prevalent comorbidity was hypertension (56.7%). The mean lactate level at presentation was 1.5 ± 0.3 mmol/L. In-hospital mortality was 3.8% in the overall population, and 16.2% were admitted to the ICU. A lactate level of 1.33 mmol/L was found to be the optimal cutoff that best discriminates between survivors and non-survivors. Relative hyperlactatemia was an independent predictor of in-hospital mortality (OR 1.78 C1.18-4.03; p = 0.02). Finally, relative hyperlactatemia was associated with increased mortality in patients without hypertension (4.7 vs. 1.1%; = 0.008), as well as patients without diabetes or COPD. The optimal cutoff of initial serum lactate that discriminates between survivors and non-survivors in the ED is 1.33 mmol/L. Relative hyperlactatemia is associated with increased mortality in emergency department patients, and this interaction seems to be more important in healthy patients.

摘要

急诊科(ED)患者乳酸水平≤2.00 mmol/L的临床意义尚未得到充分描述。本研究旨在确定参考范围内乳酸的最佳临界值,以预测ED患者的院内死亡率。这是一项对三级急诊科成年患者的回顾性研究,这些患者初始血清乳酸水平<2.00 mmol/L。主要结局是院内死亡率。采用约登指数确定预测死亡率的最佳阈值。高于该阈值的患者被标记为患有相对性高乳酸血症。在研究期间,共纳入1638例患者。平均年龄为66.9±18.6岁,47.1%为女性,最常见的合并症是高血压(56.7%)。就诊时的平均乳酸水平为1.5±0.3 mmol/L。总体人群的院内死亡率为3.8%,16.2%的患者入住重症监护病房(ICU)。发现乳酸水平为1.33 mmol/L是区分存活者和非存活者的最佳临界值。相对性高乳酸血症是院内死亡率的独立预测因素(OR 1.78,C1.18 - 4.03;p = 0.02)。最后,相对性高乳酸血症与无高血压患者(4.7%对1.1%;p = 0.008)以及无糖尿病或慢性阻塞性肺疾病(COPD)患者的死亡率增加相关。在急诊科区分存活者和非存活者的初始血清乳酸最佳临界值为1.33 mmol/L。相对性高乳酸血症与急诊科患者死亡率增加相关,这种相互作用在健康患者中似乎更为重要。

https://cdn.ncbi.nlm.nih.gov/pmc/blobs/0430/7536275/343232795ef8/fmed-07-00561-g0001.jpg

文献检索

告别复杂PubMed语法,用中文像聊天一样搜索,搜遍4000万医学文献。AI智能推荐,让科研检索更轻松。

立即免费搜索

文件翻译

保留排版,准确专业,支持PDF/Word/PPT等文件格式,支持 12+语言互译。

免费翻译文档

深度研究

AI帮你快速写综述,25分钟生成高质量综述,智能提取关键信息,辅助科研写作。

立即免费体验