Rosales Saúl A, González Francisco, Moreno Fernando, Gutiérrez Yael
Department of Applied Physics, University of Cantabria, Avda. Los Castros, s/n., 39005 Santander, Spain.
Institute of Nanotechnology, CNR-NANOTEC, Via Orabona 4, 70126 Bari, Italy.
Nanomaterials (Basel). 2020 Oct 21;10(10):0. doi: 10.3390/nano10102078.
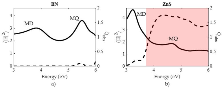
Low-loss dielectric nanomaterials are being extensively studied as novel platforms for enhanced light-matter interactions. Dielectric materials are more versatile than metals when nanostructured as they are able to generate simultaneously electric- and magnetic-type resonances. This unique property gives rise to a wide gamut of new phenomena not observed in metal nanostructures such as directional scattering conditions or enhanced optical chirality density. Traditionally studied dielectrics such as Si, Ge or GaP have an operating range constrained to the infrared and/or the visible range. Tuning their resonances up to the UV, where many biological samples of interest exhibit their absorption bands, is not possible due to their increased optical losses via heat generation. Herein, we report a quantitative survey on the UV optical performance of 20 different dielectric nanostructured materials for UV surface light-matter interaction based applications. The near-field intensity and optical chirality density averaged over the surface of the nanoparticles together with the heat generation are studied as figures of merit for this comparative analysis.
低损耗介电纳米材料作为增强光与物质相互作用的新型平台正受到广泛研究。当介电材料被制成纳米结构时,它们比金属更具通用性,因为它们能够同时产生电型和磁型共振。这种独特的性质引发了一系列在金属纳米结构中未观察到的新现象,如定向散射条件或增强的光学手性密度。传统研究的介电材料,如硅、锗或磷化镓,其工作范围局限于红外和/或可见光范围。由于通过发热导致光学损耗增加,无法将它们的共振调谐到紫外线区域,而许多感兴趣的生物样品在该区域表现出吸收带。在此,我们报告了一项针对20种不同介电纳米结构材料在基于紫外线表面光与物质相互作用应用中的紫外线光学性能的定量研究。作为该比较分析的品质因数,研究了纳米颗粒表面平均近场强度、光学手性密度以及发热情况。