Suppr超能文献

荷兰青少年和中年成年人接种一剂A、C、W、Y群脑膜炎球菌结合疫苗后的不同长期血清保护持续时间

Different Long-Term Duration of Seroprotection against in Adolescents and Middle-Aged Adults after a Single Meningococcal ACWY Conjugate Vaccination in The Netherlands.

作者信息

Ohm Milou, van Rooijen Debbie M, Bonačić Marinović Axel A, van Ravenhorst Mariëtte B, van der Heiden Marieke, Buisman Anne-Marie, Sanders Elisabeth A M, Berbers Guy A M

机构信息

Centre for Infectious Disease Control (Cib), National Institute of Public Health and the Environment (RIVM), 3720 BA Bilthoven, The Netherlands.

Department of Pediatrics, Amsterdam UMC, 1007 MB Amsterdam, The Netherlands.

出版信息

Vaccines (Basel). 2020 Oct 25;8(4):624. doi: 10.3390/vaccines8040624.

Abstract

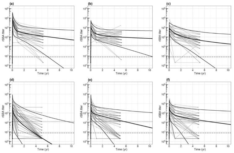
is often asymptomatically carried in the nasopharynx but may cause invasive meningococcal disease, leading to morbidity and mortality. Meningococcal conjugate vaccinations induce functional protective antibodies against capsular antigens, but seroprotection wanes over time. We measured functional antibody titers five years after administration of a single dose of the meningococcal ACWY-polysaccharide-specific tetanus toxoid-conjugated (MenACWY-TT) vaccine in adolescents and middle-aged adults in the Netherlands, using the serum bactericidal antibody with baby rabbit complement (rSBA) assay. Protection was defined as rSBA titer ≥8. The meningococcal ACWY-specific serum IgG concentrations were measured with a multiplex immunoassay. Duration of protection was estimated by a bi-exponential decay model. Sufficient protection for MenC, MenW, and MenY was achieved in 94-96% of the adolescents five years postvaccination, but, in middle-aged adults, only in 32% for MenC, 65% for MenW and 71% for MenY. Median duration of protection for MenCWY was 4, 14, and 21 years, respectively, in middle-aged adults, while, in adolescents, it was 32, 98, and 33 years. Our findings suggest that adolescents, primed in early childhood with MenC conjugate vaccination, remain sufficiently protected after a single dose of MenACWY-TT vaccine. Middle-aged adults without priming vaccination show fast waning of antibodies, particularly MenC, for which protection is lost after four years.

摘要

脑膜炎奈瑟菌通常在鼻咽部无症状携带,但可能导致侵袭性脑膜炎球菌病,从而引发发病和死亡。脑膜炎球菌结合疫苗可诱导针对荚膜抗原的功能性保护性抗体,但血清保护作用会随着时间减弱。我们在荷兰的青少年和中年成年人中,使用含幼兔补体的血清杀菌抗体(rSBA)检测法,测定了单剂量脑膜炎球菌ACWY - 多糖特异性破伤风类毒素结合疫苗(MenACWY - TT)接种五年后的功能性抗体滴度。保护作用定义为rSBA滴度≥8。采用多重免疫测定法测量脑膜炎球菌ACWY特异性血清IgG浓度。通过双指数衰减模型估计保护持续时间。接种疫苗五年后,94% - 96%的青少年对C群、W群和Y群脑膜炎球菌实现了充分保护,但在中年成年人中,对C群脑膜炎球菌只有32%,对W群脑膜炎球菌为65%,对Y群脑膜炎球菌为71%实现了充分保护。中年成年人中,对C、W、Y群脑膜炎球菌的保护持续时间中位数分别为4年、14年和21年,而在青少年中分别为32年、98年和33年。我们的研究结果表明,在幼儿期接种过C群结合疫苗的青少年,在接种单剂量MenACWY - TT疫苗后仍能获得充分保护。未接种过起始疫苗的中年成年人抗体快速减弱,尤其是C群脑膜炎球菌,接种后四年保护作用就会丧失。

https://cdn.ncbi.nlm.nih.gov/pmc/blobs/03d6/7712102/510abee9f72a/vaccines-08-00624-g001.jpg

文献AI研究员

20分钟写一篇综述,助力文献阅读效率提升50倍。

立即体验

用中文搜PubMed

大模型驱动的PubMed中文搜索引擎

马上搜索

文档翻译

学术文献翻译模型,支持多种主流文档格式。

立即体验