Suppr超能文献

更长的泛醌侧链有助于增强酵母对法尼醇的抗性。

Longer Ubiquinone Side Chains Contribute to Enhanced Farnesol Resistance in Yeasts.

作者信息

Pathirana Ruvini U, Boone Cory, Nickerson Kenneth W

机构信息

School of Biological Sciences, University of Nebraska-Lincoln, Lincoln, NE 68588-0666, USA.

出版信息

Microorganisms. 2020 Oct 23;8(11):1641. doi: 10.3390/microorganisms8111641.

Abstract

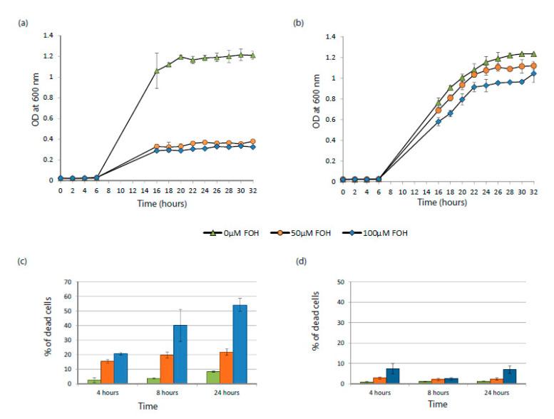
Ubiquinones (UQ) are intrinsic lipid components of many membranes. Besides their role in electron-transfer reactions there is evidence for them acting as free radical scavengers, yet their other roles in biological systems have received little study. The dimorphic fungal pathogen secretes farnesol as both a virulence factor and a quorum-sensing molecule. Thus, we were intrigued by the presence of UQ9 isoprenologue in farnesol-producing species while other members of this genera harbor UQ7 as their major electron carrier. We examined the effect of UQ side chain length in and with a view towards identifying the mechanisms by which protects itself from the high levels of farnesol it secretes, levels that are toxic to many other fungi including . In this study, we identify UQ9 as the major UQ isoprenoid in regardless of growth conditions or cell morphology. A model yeast engineered to make UQ9 instead of UQ6 was 4-5 times more resistant to exogenous farnesol than the parent yeast and this resistance was accompanied by greatly reduced reactive oxygen species (ROS) production. The resistance provided by UQ9 is specific for farnesol in that it does not increase resistance to high salt (1M NaCl) or other oxidants (5 mM HO or 1 mM menadione). Additionally, the protection provided by UQ9 appears to be structural rather than transcriptional; UQ9 does not alter key transcriptional responses to farnesol stress. Here, we propose a model in which the longer UQ side chains are more firmly embedded in the mitochondrial membrane making them harder to pry out, so that in the presence of farnesol they remain functional without producing excess ROS. and evolved to use UQ9 rather than UQ7 as in other species or UQ6 as in . This adaptive mechanism highlights the significance of UQ side chains in farnesol production and resistance quite apart from being an electron carrier in the respiratory chain.

摘要

泛醌(UQ)是许多膜的固有脂质成分。除了在电子传递反应中的作用外,有证据表明它们还可作为自由基清除剂,然而它们在生物系统中的其他作用却鲜有研究。双态真菌病原体分泌法尼醇,它既是一种毒力因子,也是一种群体感应分子。因此,我们对产法尼醇的物种中存在UQ9异戊二烯醇形式感到好奇,而该属的其他成员则以UQ7作为主要电子载体。我们研究了UQ侧链长度在[具体物种1]和[具体物种2]中的影响,旨在确定[具体物种1]保护自身免受其分泌的高水平法尼醇(对包括[具体物种2]在内的许多其他真菌有毒的水平)影响的机制。在本研究中,无论生长条件或细胞形态如何,我们都确定UQ9是[具体物种1]中的主要UQ类异戊二烯。一个经过基因工程改造以产生UQ9而非UQ6的模型酵母对外源法尼醇的抗性比亲本酵母高4 - 5倍,并且这种抗性伴随着活性氧(ROS)产生的大幅减少。UQ9提供的抗性对法尼醇具有特异性,因为它不会增加对高盐(1M NaCl)或其他氧化剂(5 mM H₂O₂或1 mM甲萘醌)的抗性。此外,UQ9提供的保护似乎是结构性的而非转录性的;UQ9不会改变对法尼醇胁迫的关键转录反应。在此,我们提出一个模型,其中较长的UQ侧链更牢固地嵌入线粒体膜中,使其更难被撬出,因此在法尼醇存在的情况下它们仍保持功能而不产生过量的ROS。[具体物种1]和[具体物种2]进化为使用UQ9而非其他[具体物种]中的UQ7或[具体物种]中的UQ6。这种适应性机制突出了UQ侧链在法尼醇产生和抗性中的重要性,这与它作为呼吸链中的电子载体截然不同。

https://cdn.ncbi.nlm.nih.gov/pmc/blobs/fca2/7690737/229c9b22f0d4/microorganisms-08-01641-g001.jpg

文献AI研究员

20分钟写一篇综述,助力文献阅读效率提升50倍。

立即体验

用中文搜PubMed

大模型驱动的PubMed中文搜索引擎

马上搜索

文档翻译

学术文献翻译模型,支持多种主流文档格式。

立即体验