Suppr超能文献

聚乙二醇35可改善大鼠胰泌素诱导的急性胰腺炎中的胰腺炎症反应。

Polyethylene glycol 35 ameliorates pancreatic inflammatory response in cerulein-induced acute pancreatitis in rats.

作者信息

Ferrero-Andrés Ana, Panisello-Roselló Arnau, Roselló-Catafau Joan, Folch-Puy Emma

机构信息

Experimental Pathology Department, Institut d'Investigacions Biomèdiques de Barcelona-Consejo Superior de Investigaciones científicas, Barcelona 08036, Catalonia, Spain.

Experimental Pathology Department, Institut d'Investigacions Biomèdiques de Barcelona-Consejo Superior de Investigaciones científicas, Centro de Investigación Biomédica en Red de Enfermedades Hepáticas y Digestivas, Institut d'Investigacions Biomèdiques August Pi i Sunyer, Barcelona 08036, Catalonia, Spain.

出版信息

World J Gastroenterol. 2020 Oct 21;26(39):5970-5982. doi: 10.3748/wjg.v26.i39.5970.

Abstract

BACKGROUND

Acute pancreatitis (AP) is a sudden inflammatory process of the pancreas that may also involve surrounding tissues and/or remote organs. Inflammation and parenchymal cell death are common pathological features of this condition and determinants of disease severity. Polyethylene glycols (PEGs) are non-immunogenic, non-toxic water-soluble polymers widely used in biological, chemical, clinical and pharmaceutical settings.

AIM

To evaluate the protective effect of a 35-kDa molecular weight PEG (PEG35) on the pancreatic damage associated to cerulein-induced acute pancreatitis and .

METHODS

Wistar rats were assigned at random to a control group, a cerulein-induced AP group and a PEG35 treatment group. AP was induced by five hourly intraperitoneal injections of cerulein (50 μg/kg/bw), while the control animals received saline solution. PEG35 was administered intraperitoneally 10 minutes before each cerulein injection in a dose of 10 mg/kg. After AP induction, samples of pancreatic tissue and blood were collected for analysis. AR42J pancreatic acinar cells were treated with increasing concentrations of PEG35 prior to exposure with tumor necrosis factor α (TNFα), staurosporine or cerulein. The severity of AP was determined on the basis of plasma levels of lipase, lactate dehydrogenase activity, pancreatic edema and histological changes. To evaluate the extent of the inflammatory response, the gene expression of inflammation-associated markers was determined in the pancreas and in AR42J-treated cells. Inflammation-induced cell death was also measured in models of and pancreatic damage.

RESULTS

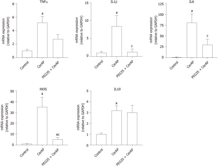
Administration of PEG35 significantly improved pancreatic damage through reduction on lipase levels and tissue edema in cerulein-induced AP rats. The increased associated inflammatory response caused by cerulein administration was attenuated by a decrease in the gene expression of inflammation-related cytokines and inducible nitric oxide synthase enzyme in the pancreas. In contrast, pancreatic tissue mRNA expression of interleukin 10 was markedly increased. PEG35 treatment also protected against inflammation-induced cell death by attenuating lactate dehydrogenase activity and modulating the pancreatic levels of apoptosis regulator protein BCL-2 in cerulein hyperstimulated rats. Furthermore, the activation of pro-inflammatory markers and inflammation-induced cell death in pancreatic acinar cells treated with TNFα, cerulein or staurosporine was significantly reduced by PEG35 treatment, in a dose-dependent manner.

CONCLUSION

PEG35 ameliorates pancreatic damage in cerulein-induced AP and AR42J-treated cells through the attenuation of the inflammatory response and associated cell death. PEG35 may be a valuable option in the management of AP.

摘要

背景

急性胰腺炎(AP)是胰腺的一种突发炎症过程,可能还会累及周围组织和/或远处器官。炎症和实质细胞死亡是这种病症的常见病理特征以及疾病严重程度的决定因素。聚乙二醇(PEGs)是无免疫原性、无毒的水溶性聚合物,广泛应用于生物学、化学、临床和制药领域。

目的

评估分子量为35 kDa的聚乙二醇(PEG35)对与雨蛙肽诱导的急性胰腺炎相关的胰腺损伤的保护作用。

方法

将Wistar大鼠随机分为对照组、雨蛙肽诱导的AP组和PEG35治疗组。通过每小时腹腔注射5次雨蛙肽(50 μg/kg体重)诱导AP,而对照动物注射生理盐水。在每次注射雨蛙肽前10分钟腹腔注射PEG35,剂量为10 mg/kg。诱导AP后,收集胰腺组织和血液样本进行分析。在暴露于肿瘤坏死因子α(TNFα)、星形孢菌素或雨蛙肽之前,用浓度递增的PEG35处理AR42J胰腺腺泡细胞。根据血浆脂肪酶水平、乳酸脱氢酶活性、胰腺水肿和组织学变化确定AP的严重程度。为了评估炎症反应的程度,在胰腺和经AR42J处理的细胞中测定炎症相关标志物的基因表达。还在胰腺损伤模型中测量炎症诱导的细胞死亡。

结果

给予PEG35可显著改善胰腺损伤,降低雨蛙肽诱导的AP大鼠的脂肪酶水平和组织水肿。胰腺中炎症相关细胞因子和诱导型一氧化氮合酶基因表达的降低减弱了雨蛙肽给药引起的相关炎症反应增加。相反,白细胞介素10的胰腺组织mRNA表达显著增加。PEG35治疗还通过减弱乳酸脱氢酶活性和调节雨蛙肽过度刺激大鼠胰腺中凋亡调节蛋白BCL-2的水平来防止炎症诱导的细胞死亡。此外,PEG35治疗以剂量依赖的方式显著降低了用TNFα、雨蛙肽或星形孢菌素处理的胰腺腺泡细胞中促炎标志物的激活和炎症诱导的细胞死亡。

结论

PEG35通过减轻炎症反应和相关的细胞死亡来改善雨蛙肽诱导的AP和经AR42J处理的细胞中的胰腺损伤。PEG35可能是AP治疗中的一个有价值的选择。

https://cdn.ncbi.nlm.nih.gov/pmc/blobs/b40d/7584060/6e436eb34cca/WJG-26-5970-g001.jpg

文献AI研究员

20分钟写一篇综述,助力文献阅读效率提升50倍。

立即体验

用中文搜PubMed

大模型驱动的PubMed中文搜索引擎

马上搜索

文档翻译

学术文献翻译模型,支持多种主流文档格式。

立即体验