Maoloni Antonietta, Ferrocino Ilario, Milanović Vesna, Cocolin Luca, Corvaglia Maria Rita, Ottaviani Donatella, Bartolini Chiara, Talevi Giulia, Belleggia Luca, Cardinali Federica, Marabini Rico, Aquilanti Lucia, Osimani Andrea
Dipartimento di Scienze Agrarie, Alimentari ed Ambientali, Università Politecnica delle Marche, via Brecce Bianche, 60131 Ancona, Italy.
Department of Agricultural, Forest, and Food Science, University of Turin, Largo Paolo Braccini 2, Grugliasco, 10095 Torino, Italy.
Foods. 2020 Oct 29;9(11):1568. doi: 10.3390/foods9111568.
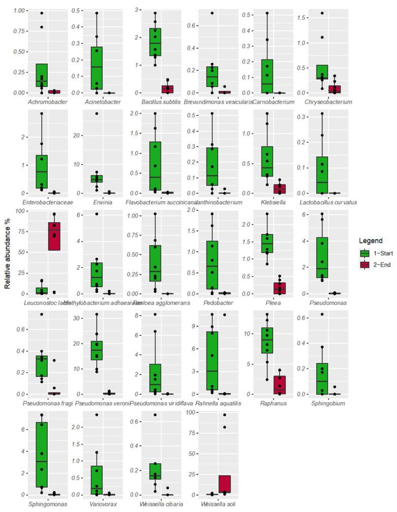
Kimchi is recognized worldwide as the flagship food of Korea. To date, most of the currently available microbiological studies on kimchi deal with Korean manufactures. Moreover, there is a lack of knowledge on the occurrence of eumycetes in kimchi. Given these premises, the present study was aimed at investigating the bacterial and fungal dynamics occurring during the natural fermentation of an artisan non-Korean kimchi manufacture. Lactic acid bacteria were dominant, while Enterobacteriaceae, Pseudomonadaceae, and yeasts progressively decreased during fermentation. spp., , , and spp. were detected during the first 15 days of fermentation, whereas the last fermentation phase was dominated by , together with . For the mycobiota at the beginning of the fermentation process, and were the dominant Operational Taxonomic Units (OTUs) in batch 1, whereas in batch 2 prevailed. In the last stage of fermentation, , , and were the most abundant taxa in both analyzed batches. The knowledge gained in the present study represents a step forward in the description of the microbial dynamics of kimchi produced outside the region of origin using local ingredients. It will also serve as a starting point for further isolation of kimchi-adapted microorganisms to be assayed as potential starters for the manufacturing of novel vegetable preserves with high quality and functional traits.
泡菜被公认为韩国的标志性食品。迄今为止,目前大多数关于泡菜的微生物学研究都涉及韩国制造商。此外,对于泡菜中真真菌的存在情况缺乏了解。基于这些前提,本研究旨在调查一家非韩国手工泡菜制造商自然发酵过程中细菌和真菌的动态变化。乳酸菌占主导地位,而肠杆菌科、假单胞菌科和酵母菌在发酵过程中逐渐减少。在发酵的前15天检测到了[具体菌种1]、[具体菌种2]、[具体菌种3]、[具体菌种4]和[具体菌种5],而最后一个发酵阶段则以[具体菌种6]和[具体菌种7]为主。对于发酵过程开始时的真菌群落,在第1批中[具体真菌1]和[具体真菌2]是主要的操作分类单元(OTU),而在第2批中[具体真菌3]占主导。在发酵的最后阶段,[具体真菌4]、[具体真菌5]和[具体真菌6]是两个分析批次中最丰富的分类群。本研究中获得的知识代表了在描述使用当地原料在原产地以外地区生产的泡菜微生物动态方面向前迈出的一步。它还将作为进一步分离适应泡菜的微生物的起点,这些微生物将被作为潜在的发酵剂用于制造具有高品质和功能特性的新型蔬菜制品。