Suppr超能文献

野酸模叶粉饲粮对肉仔鸡生长性能、十二指肠形态、血清甲状腺激素及盲肠微生物菌群的影响

Rumex nervosus leaves meal improves body weight gain, duodenal morphology, serum thyroid hormones, and cecal microflora of broiler chickens during the starter period.

机构信息

Animal Production Department, College of Food and Agriculture Sciences, King Saud University, Riyadh 11451, Saudi Arabia; Poultry Production Department, Faculty of Agriculture, Mansoura University, Mansoura 35516, Egypt.

Animal Production Department, College of Food and Agriculture Sciences, King Saud University, Riyadh 11451, Saudi Arabia.

出版信息

Poult Sci. 2020 Nov;99(11):5572-5581. doi: 10.1016/j.psj.2020.08.023. Epub 2020 Aug 28.

Abstract

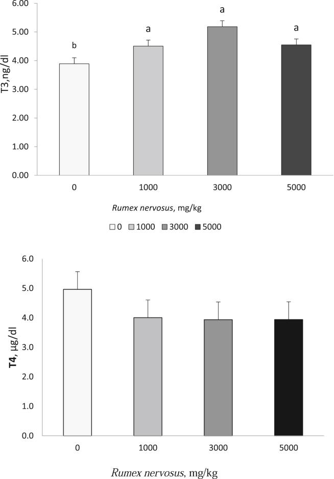
A total of 192 one-day-old Ross 308 broiler chicks were assigned to 4 treatments with 8 replicate cages of 6 chicks (3♀ and 3♂) per cage according to a completely randomized block design. The dietary treatments were a basal diet (control) and a control diet supplemented with 1,000, 3,000, and 5,000 mg/kg Rumex nervosus leaves meal (RN). Gallic acid and some volatile compounds were detected in the RN extract. On day 10 of age, BW was improved (P = 0.016) with supplemental RN (1,000-5,000 mg/kg). On day 14 of age, dietary application of RN up to 3,000 mg/kg increased BWG (P = 0.003) compared with control, while a 1,000 mg/kg RN had the best feed conversion ratio (P = 0.016). On day 10 of age, samples were taken on a single female bird per replicate. The addition of RN (1,000-5,000 mg/kg) increased (P < 0.001) serum albumin and triiodothyronine levels and maximized the relative weight of breast meat (P = 0.003). Feeding a diet with 1,000 mg/kg RN resulted in greater duodenal villus height (P < 0.001) than control and the diet with 5,000 mg/kg RN. Broilers fed diet supplemented with 1,000 mg/kg RN had the best duodenal villus surface area (P < 0.001). Feeding a diet with 1,000 mg/kg RN decreased (P < 0.001) cecal Escherichia coli count compared with control and the diet with 5,000 mg/kg RN. Salmonella spp. count tended to increase with 5,000 mg/kg RN leaves meal (P = 0.069, linear P = 0.026). In conclusion, R. nervosus leaves meal could be considered as a phytogenic feed additive in broiler diets up to a 1,000-mg/kg inclusion rate because of its combined positive effects on BWG, feed conversion ratio, villus height, villus surface area, serum albumin and triiodothyronine hormone, and cecal E. coli during the starter period (day 10-14 of age). Further study is required to elucidate its molecular mechanism.

摘要

192 只 1 日龄罗斯 308 肉鸡雏鸡被分为 4 个处理组,每个处理组 8 个重复笼,每个重复笼 6 只鸡(3♀和 3♂),采用完全随机分组设计。日粮处理为基础日粮(对照)和基础日粮添加 1000、3000 和 5000mg/kg 酸模叶蓼叶粉(RN)。RN 提取物中检测到没食子酸和一些挥发性化合物。在 10 日龄时,补充 RN(1000-5000mg/kg)提高了 BW(P=0.016)。在 14 日龄时,日粮中添加高达 3000mg/kg 的 RN 与对照相比增加了 BWG(P=0.003),而 1000mg/kg RN 具有最佳的饲料转化率(P=0.016)。在 10 日龄时,每个重复取 1 只雌性鸡的样本。添加 RN(1000-5000mg/kg)增加(P<0.001)血清白蛋白和三碘甲状腺原氨酸水平,并使胸肉相对重量最大化(P=0.003)。与对照组和 5000mg/kg RN 日粮相比,饲喂 1000mg/kg RN 日粮的肉鸡十二指肠绒毛高度更高(P<0.001)。添加 1000mg/kg RN 的日粮具有最大的十二指肠绒毛表面积(P<0.001)。与对照组和 5000mg/kg RN 日粮相比,饲喂 1000mg/kg RN 日粮的肉鸡空肠大肠杆菌计数降低(P<0.001)。与 5000mg/kg RN 叶粉日粮相比,沙门氏菌计数呈增加趋势(P=0.069,线性 P=0.026)。综上所述,由于酸模叶蓼叶粉在生长前期(10-14 日龄)对 BWG、饲料转化率、绒毛高度、绒毛表面积、血清白蛋白和三碘甲状腺原氨酸激素和空肠大肠杆菌有综合的积极影响,因此可以考虑将其作为肉鸡日粮中的植物性饲料添加剂,添加量可达 1000mg/kg。需要进一步的研究来阐明其分子机制。

https://cdn.ncbi.nlm.nih.gov/pmc/blobs/32d3/7647857/80772ee8b533/gr1.jpg

文献AI研究员

20分钟写一篇综述,助力文献阅读效率提升50倍。

立即体验

用中文搜PubMed

大模型驱动的PubMed中文搜索引擎

马上搜索

文档翻译

学术文献翻译模型,支持多种主流文档格式。

立即体验