Suppr超能文献

通过生物电阻抗分析监测热矿泉水体育锻炼对下肢慢性静脉功能不全患者的影响。

The Effects of Thermal Water Physical Exercise in Patients with Lower Limb Chronic Venous Insufficiency Monitored by Bioimpedance Analysis.

作者信息

Menegatti Erica, Pagani Anselmo, Avruscio Giampiero, Mucignat Marianna, Gianesini Sergio

机构信息

Department of Morphology, Surgery and Experimental Medicine, Vascular Diseases Center, University of Ferrara, 44124 Ferrara, Italy.

Department of Cardiac, Thoracic and Vascular Sciences, Angiology Unit, Padova University Hospital, 35028 Padua, Italy.

出版信息

Diagnostics (Basel). 2020 Oct 31;10(11):889. doi: 10.3390/diagnostics10110889.

Abstract

BACKGROUND

Lower limb chronic venous diseases (CVD) lead to possible edema. The aim of the present investigation was to study the effect of thermal aquatic standardize exercise on lower limb edema control in CVD patients assessed by bioimpedance analysis (BIA).

METHODS

Seventeen patients (34 legs) affected by CVD clinical class CEAP C3, 4c, Ep, As, Pr were included. All the cohort performed a standardized exercise protocol in thermal water environment for a total of five sessions. BIA, leg volume, and heart rate at rest were measured.

RESULTS

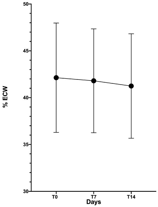
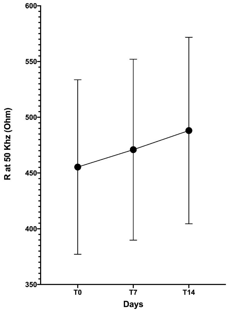
After the five exercise sessions, BIA showed a significant percentage of extracellular water (ECW) reduction from 42.1 ± 5.8 to 41.24 ± 5.5%; < 0.001. Moreover, an improvement of resistance ( < 0.0009) and reactance ( < 0.009) was assessed. At the same time, the leg volume reduction rate was 15.7%, <0.0001. A moderate-strong correlation was found between % ECW and leg volume variation (R = 0.59, < 0.01). Finally, a significant HR at rest reduction was recorded, < 0.0001.

CONCLUSION

The investigated exercise protocol significantly affects the lower limb volume, and BIA parameters related to the tissue drainage improvement. The correlation founded between the ECW rate and volume variations suggest the possible use of BIA as a biomarker for monitoring the treatments aimed to reduce edema in CVD.

摘要

背景

下肢慢性静脉疾病(CVD)可导致水肿。本研究的目的是通过生物电阻抗分析(BIA)研究热标准水上运动对CVD患者下肢水肿控制的影响。

方法

纳入17例临床分级为CEAP C3、4c、Ep、As、Pr的CVD患者(34条腿)。所有患者在热水环境中进行标准化运动方案,共5次。测量BIA、腿部体积和静息心率。

结果

经过5次运动后,BIA显示细胞外液(ECW)显著减少,从42.1±5.8%降至41.24±5.5%;P<0.001。此外,电阻(P<0.0009)和电抗(P<0.009)有所改善。同时,腿部体积减少率为15.7%,P<0.0001。发现ECW百分比与腿部体积变化之间存在中度至强相关性(R = 0.59,P<0.01)。最后,静息心率显著降低,P<0.0001。

结论

所研究的运动方案显著影响下肢体积以及与组织引流改善相关的BIA参数。ECW率与体积变化之间的相关性表明,BIA可能作为一种生物标志物,用于监测旨在减少CVD水肿的治疗。

https://cdn.ncbi.nlm.nih.gov/pmc/blobs/d909/7694156/14774947e215/diagnostics-10-00889-g001.jpg

文献AI研究员

20分钟写一篇综述,助力文献阅读效率提升50倍。

立即体验

用中文搜PubMed

大模型驱动的PubMed中文搜索引擎

马上搜索

文档翻译

学术文献翻译模型,支持多种主流文档格式。

立即体验