Suppr超能文献

硅烷偶联剂对槟榔纤维/天然乳胶改性的影响

Effect of Silane Coupling Agent on Modification of Areca Fiber/Natural Latex.

作者信息

Pan Yiren, Zhang Meng, Zhang Jian, Zhu Xiaoyao, Bian Huiguang, Wang Chuansheng

机构信息

College of Electromechanical Engineering, Qingdao University of Science and Technology, Qingdao 266061, China.

出版信息

Materials (Basel). 2020 Oct 31;13(21):4896. doi: 10.3390/ma13214896.

Abstract

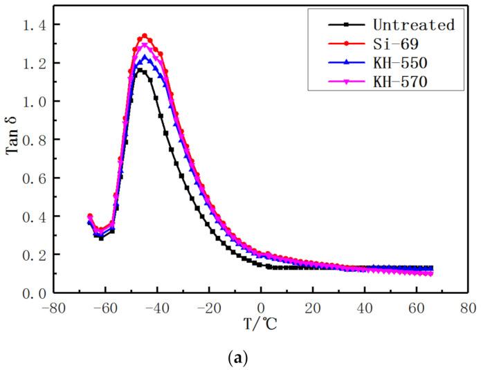
In this paper, the areca fiber was extracted by physical and chemical treatment, and then the areca fiber/natural latex composite was prepared by natural latex impregnation technology. In order to combine areca fiber and natural rubber latex better, three silane coupling agents with different action mechanism were selected: Si-69, KH550, and KH570 which were used to treat the areca fiber/natural latex compound. The results show that the silane coupling agent can change the surface of the fiber from hydrophilic surface to organophilic surface, making the bonding of areca fiber to natural latex more closely. At the same time, the mechanical properties, physical and mechanical properties, swelling properties, and dynamic viscoelastic properties of the tightly bonded areca fiber/nature latex composites were improved. After observing the micro-structure through a scanning electron microscope, it was found that the three silane coupling agents could effectively bind areca fiber and natural latex to enhance the performance of the composite material, of which Si-69 performed best, and the tensile strength and tear strength of the composite increased by 21.19% and 12.90% respectively.

摘要

本文通过物理和化学处理提取了槟榔纤维,然后采用天然乳胶浸渍技术制备了槟榔纤维/天然乳胶复合材料。为了使槟榔纤维与天然橡胶乳胶更好地结合,选择了三种作用机理不同的硅烷偶联剂:Si-69、KH550和KH570,用于处理槟榔纤维/天然乳胶复合材料。结果表明,硅烷偶联剂可使纤维表面由亲水性表面转变为亲有机性表面,使槟榔纤维与天然乳胶的结合更紧密。同时,紧密结合的槟榔纤维/天然乳胶复合材料的力学性能、物理力学性能、溶胀性能和动态粘弹性性能均得到改善。通过扫描电子显微镜观察微观结构后发现,三种硅烷偶联剂均可有效结合槟榔纤维和天然乳胶,以提高复合材料的性能,其中Si-69表现最佳,复合材料的拉伸强度和撕裂强度分别提高了21.19%和12.90%。

https://cdn.ncbi.nlm.nih.gov/pmc/blobs/9a82/7663144/c12e6cbf5d58/materials-13-04896-g001.jpg

相似文献

1
Effect of Silane Coupling Agent on Modification of Areca Fiber/Natural Latex.
Materials (Basel). 2020 Oct 31;13(21):4896. doi: 10.3390/ma13214896.
3
Surface Modification of Staple Carbon Fiber by Dopamine to Reinforce Natural Latex Composite.
Polymers (Basel). 2020 Apr 24;12(4):988. doi: 10.3390/polym12040988.
7
[Effect of silane coupling agent on composite-composite bond strength: an study].
Zhonghua Kou Qiang Yi Xue Za Zhi. 2018 May 9;53(5):328-332. doi: 10.3760/cma.j.issn.1002-0098.2018.05.008.
8
Effects of impulse-cyclone drying and silane modification on the properties of wood fiber/HDPE composite material.
Carbohydr Polym. 2019 Mar 1;207:343-351. doi: 10.1016/j.carbpol.2018.11.078. Epub 2018 Nov 24.

引用本文的文献

2
Enhancement of Green Tires Performance through Ultrasound-Assisted Mixing.
Polymers (Basel). 2022 Jan 20;14(3):418. doi: 10.3390/polym14030418.

文献AI研究员

20分钟写一篇综述,助力文献阅读效率提升50倍。

立即体验

用中文搜PubMed

大模型驱动的PubMed中文搜索引擎

马上搜索

文档翻译

学术文献翻译模型,支持多种主流文档格式。

立即体验