• 文献检索
  • 文档翻译
  • 深度研究
  • 学术资讯
  • Suppr Zotero 插件Zotero 插件
  • 邀请有礼
  • 套餐&价格
  • 历史记录
应用&插件
Suppr Zotero 插件Zotero 插件浏览器插件Mac 客户端Windows 客户端微信小程序
定价
高级版会员购买积分包购买API积分包
服务
文献检索文档翻译深度研究API 文档MCP 服务
关于我们
关于 Suppr公司介绍联系我们用户协议隐私条款
关注我们

Suppr 超能文献

核心技术专利:CN118964589B侵权必究
粤ICP备2023148730 号-1Suppr @ 2026

文献检索

告别复杂PubMed语法,用中文像聊天一样搜索,搜遍4000万医学文献。AI智能推荐,让科研检索更轻松。

立即免费搜索

文件翻译

保留排版,准确专业,支持PDF/Word/PPT等文件格式,支持 12+语言互译。

免费翻译文档

深度研究

AI帮你快速写综述,25分钟生成高质量综述,智能提取关键信息,辅助科研写作。

立即免费体验

负载水杨酸的纤维素纳米原纤维多孔结构的表征

Characterization of Porous Structures of Cellulose Nanofibrils Loaded with Salicylic Acid.

作者信息

McDonagh Birgitte Hjelmeland, Chinga-Carrasco Gary

机构信息

SINTEF Industry, P.O. Box 4760 Torgarden, 7034 Trondheim, Norway.

RISE PFI, Høgskoleringen 6b, 7491 Trondheim, Norway.

出版信息

Polymers (Basel). 2020 Oct 30;12(11):2538. doi: 10.3390/polym12112538.

DOI:10.3390/polym12112538
PMID:33142964
原文链接:https://pmc.ncbi.nlm.nih.gov/articles/PMC7692582/
Abstract

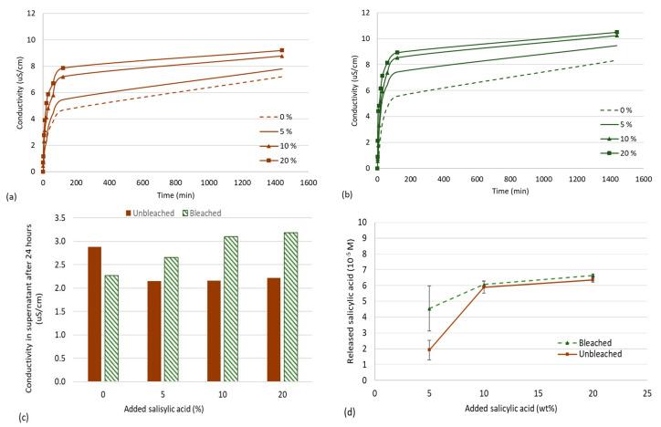
Bleached and unbleached pulp fibers were treated with 2,2,6,6-tetramethylpyperidine-1-oxyl (TEMPO) mediated oxidation to obtain cellulose nanofibrils (CNFs). The resulting bleached and unbleached CNFs were mixed with salicylic acid (0, 5, 10, 20 wt%) before casting and freeze-drying or 3D-printing. A series of methods were tested and implemented to characterize the CNF materials and the porous structures loaded with salicylic acid. The CNFs were characterized with atomic force microscopy and laser profilometry, and release of salicylic acid was quantified with UV-visible absorbance spectroscopy, conductivity measurements, and inductive coupled plasma mass spectrometry (ICP-MS). Fourier-transform infrared spectroscopy (FTIR) complemented the analyses. Herein, we show that aerogels of bleached CNFs yield a greater release of salicylic acid, compared to CNF obtained from unbleached pulp. The results suggest that biodegradable constructs of CNFs can be loaded with a plant hormone that is released slowly over time, which may find uses in small scale agricultural applications and for the private home market.

摘要

将漂白和未漂白的纸浆纤维用2,2,6,6-四甲基哌啶-1-氧基(TEMPO)介导的氧化处理,以获得纤维素纳米纤维(CNF)。在浇铸、冷冻干燥或3D打印之前,将所得的漂白和未漂白的CNF与水杨酸(0、5、10、20 wt%)混合。测试并实施了一系列方法来表征CNF材料和负载水杨酸的多孔结构。用原子力显微镜和激光轮廓仪对CNF进行表征,并用紫外可见吸收光谱、电导率测量和电感耦合等离子体质谱(ICP-MS)对水杨酸的释放进行定量。傅里叶变换红外光谱(FTIR)补充了分析。在此,我们表明,与从未漂白纸浆获得的CNF相比,漂白CNF的气凝胶能释放更多的水杨酸。结果表明,CNF的可生物降解构建体可以负载一种植物激素,该激素会随着时间的推移缓慢释放,这可能在小规模农业应用和私人家庭市场中找到用途。

https://cdn.ncbi.nlm.nih.gov/pmc/blobs/b721/7692582/e031b501d1bc/polymers-12-02538-g006.jpg
https://cdn.ncbi.nlm.nih.gov/pmc/blobs/b721/7692582/cc1d15350f71/polymers-12-02538-g001.jpg
https://cdn.ncbi.nlm.nih.gov/pmc/blobs/b721/7692582/de8e76b037d4/polymers-12-02538-g002.jpg
https://cdn.ncbi.nlm.nih.gov/pmc/blobs/b721/7692582/24835b489b47/polymers-12-02538-g003.jpg
https://cdn.ncbi.nlm.nih.gov/pmc/blobs/b721/7692582/caa2b0e48e73/polymers-12-02538-g004.jpg
https://cdn.ncbi.nlm.nih.gov/pmc/blobs/b721/7692582/e2761a7cb318/polymers-12-02538-g005.jpg
https://cdn.ncbi.nlm.nih.gov/pmc/blobs/b721/7692582/e031b501d1bc/polymers-12-02538-g006.jpg
https://cdn.ncbi.nlm.nih.gov/pmc/blobs/b721/7692582/cc1d15350f71/polymers-12-02538-g001.jpg
https://cdn.ncbi.nlm.nih.gov/pmc/blobs/b721/7692582/de8e76b037d4/polymers-12-02538-g002.jpg
https://cdn.ncbi.nlm.nih.gov/pmc/blobs/b721/7692582/24835b489b47/polymers-12-02538-g003.jpg
https://cdn.ncbi.nlm.nih.gov/pmc/blobs/b721/7692582/caa2b0e48e73/polymers-12-02538-g004.jpg
https://cdn.ncbi.nlm.nih.gov/pmc/blobs/b721/7692582/e2761a7cb318/polymers-12-02538-g005.jpg
https://cdn.ncbi.nlm.nih.gov/pmc/blobs/b721/7692582/e031b501d1bc/polymers-12-02538-g006.jpg

相似文献

1
Characterization of Porous Structures of Cellulose Nanofibrils Loaded with Salicylic Acid.负载水杨酸的纤维素纳米原纤维多孔结构的表征
Polymers (Basel). 2020 Oct 30;12(11):2538. doi: 10.3390/polym12112538.
2
Cellulose nanofibrils manufactured by various methods with application as paper strength additives.各种方法制造的纤维素纳米纤维,可用作纸张增强剂。
Sci Rep. 2021 Jun 7;11(1):11918. doi: 10.1038/s41598-021-91420-y.
3
Highly absorbent cellulose nanofibrils aerogels prepared by supercritical drying.通过超临界干燥制备高吸水性纤维素纳米纤维气凝胶。
Carbohydr Polym. 2020 Feb 1;229:115560. doi: 10.1016/j.carbpol.2019.115560. Epub 2019 Nov 4.
4
Gene-Expression Analysis of Human Fibroblasts Affected by 3D-Printed Carboxylated Nanocellulose Constructs.受3D打印羧化纳米纤维素构建体影响的人成纤维细胞的基因表达分析
Bioengineering (Basel). 2023 Jan 16;10(1):121. doi: 10.3390/bioengineering10010121.
5
Characterization and Antibacterial Properties of Autoclaved Carboxylated Wood Nanocellulose.羧基化木材纳米纤维素的特性与抗菌性能。
Biomacromolecules. 2021 Jul 12;22(7):2779-2789. doi: 10.1021/acs.biomac.1c00137. Epub 2021 Jun 29.
6
Cellulose nanofibers isolated by TEMPO-oxidation and aqueous counter collision methods.通过 TEMPO 氧化法和水反碰撞法分离的纤维素纳米纤维。
Carbohydr Polym. 2018 Jul 1;191:65-70. doi: 10.1016/j.carbpol.2018.03.008. Epub 2018 Mar 7.
7
Preparation of Cellulose Nanofibrils from Bamboo Pulp by Mechanical Defibrillation for Their Applications in Biodegradable Composites.通过机械纤化从竹浆制备纤维素纳米纤丝及其在可生物降解复合材料中的应用
J Nanosci Nanotechnol. 2015 Sep;15(9):6751-68. doi: 10.1166/jnn.2015.10854.
8
Effect of Cellulose Nanofibrils and TEMPO-mediated Oxidized Cellulose Nanofibrils on the Physical and Mechanical Properties of Poly(vinylidene fluoride)/Cellulose Nanofibril Composites.纤维素纳米原纤和TEMPO介导的氧化纤维素纳米原纤对聚偏二氟乙烯/纤维素纳米原纤复合材料物理和力学性能的影响
Polymers (Basel). 2019 Jun 27;11(7):1091. doi: 10.3390/polym11071091.
9
Nanocellulose-Based Inks-Effect of Alginate Content on the Water Absorption of 3D Printed Constructs.基于纳米纤维素的墨水——藻酸盐含量对3D打印结构吸水率的影响。
Bioengineering (Basel). 2019 Jul 30;6(3):65. doi: 10.3390/bioengineering6030065.
10
Regioselectively Carboxylated Cellulose Nanofibril Models from Dissolving Pulp: C6 via TEMPO Oxidation and C2,C3 via Periodate-Chlorite Oxidation.来自溶解浆的区域选择性羧化纤维素纳米原纤模型:通过TEMPO氧化实现C6羧化,通过高碘酸盐-亚氯酸盐氧化实现C2、C3羧化。
Nanomaterials (Basel). 2024 Mar 6;14(5):479. doi: 10.3390/nano14050479.

引用本文的文献

1
Separation and Characterization of Cellulose Fibers from Cannabis Bast Using Foamed Nickel by Cathodic Electro-Fenton Oxidation Strategy.采用阴极电芬顿氧化策略利用泡沫镍从大麻韧皮中分离和表征纤维素纤维
Polymers (Basel). 2022 Jan 19;14(3):380. doi: 10.3390/polym14030380.
2
The Effects of Unbleached and Bleached Nanocellulose on the Thermal and Flammability of Polypropylene-Reinforced Kenaf Core Hybrid Polymer Bionanocomposites.未漂白和漂白纳米纤维素对聚丙烯增强红麻芯杂化聚合物生物纳米复合材料的热性能和燃烧性能的影响
Polymers (Basel). 2020 Dec 30;13(1):116. doi: 10.3390/polym13010116.

本文引用的文献

1
Influence of initial chemical composition and characteristics of pulps on the production and properties of lignocellulosic nanofibers.初始化学成分和纸浆特性对木质纤维素纳米纤维的生产和性能的影响。
Int J Biol Macromol. 2020 Jan 15;143:453-461. doi: 10.1016/j.ijbiomac.2019.10.165. Epub 2019 Nov 25.
2
Accounting for Substrate Interactions in the Measurement of the Dimensions of Cellulose Nanofibrils.考虑在纤维素纳米纤维尺寸测量中的基质相互作用。
Biomacromolecules. 2019 Jul 8;20(7):2657-2665. doi: 10.1021/acs.biomac.9b00432. Epub 2019 Jun 26.
3
Indispensable Role of Proteases in Plant Innate Immunity.
蛋白酶在植物先天免疫中的不可或缺作用。
Int J Mol Sci. 2018 Feb 23;19(2):629. doi: 10.3390/ijms19020629.
4
Cellulose nanofiber aerogel as a promising biomaterial for customized oral drug delivery.纤维素纳米纤维气凝胶作为一种有前景的用于定制口服药物递送的生物材料。
Int J Nanomedicine. 2017 Mar 14;12:2021-2031. doi: 10.2147/IJN.S124318. eCollection 2017.
5
Temperature stability of nanocellulose dispersions.纳米纤维素分散体的温度稳定性。
Carbohydr Polym. 2017 Feb 10;157:114-121. doi: 10.1016/j.carbpol.2016.09.077. Epub 2016 Sep 25.
6
Salicylic acid-induced abiotic stress tolerance and underlying mechanisms in plants.水杨酸诱导植物的非生物胁迫耐受性及其潜在机制。
Front Plant Sci. 2015 Jun 30;6:462. doi: 10.3389/fpls.2015.00462. eCollection 2015.
7
On the morphology of cellulose nanofibrils obtained by TEMPO-mediated oxidation and mechanical treatment.关于通过TEMPO介导氧化和机械处理获得的纤维素纳米原纤维的形态学
Micron. 2015 May;72:28-33. doi: 10.1016/j.micron.2015.02.003. Epub 2015 Feb 19.
8
Exogenous salicylic acid improves photosynthesis and growth through increase in ascorbate-glutathione metabolism and S assimilation in mustard under salt stress.外源水杨酸通过增强盐胁迫下芥菜中抗坏血酸-谷胱甘肽代谢和硫同化作用来改善光合作用和生长。
Plant Signal Behav. 2015;10(3):e1003751. doi: 10.1080/15592324.2014.1003751.
9
Synthetic plant defense elicitors.合成植物防御诱导剂
Front Plant Sci. 2015 Jan 26;5:804. doi: 10.3389/fpls.2014.00804. eCollection 2014.
10
Polyethylenimine-grafted cellulose nanofibril aerogels as versatile vehicles for drug delivery.聚乙烯亚胺接枝纤维素纳米原纤气凝胶作为药物递送的多功能载体
ACS Appl Mater Interfaces. 2015 Feb 4;7(4):2607-15. doi: 10.1021/am507601m. Epub 2015 Jan 20.