Wang Jian, Zhang Kaiye, Fei Guoxia, Salzano de Luna Martina, Lavorgna Marino, Xia Hesheng
State Key Lab of Polymer Materials Engineering, Polymer Research Institute, Sichuan University, Chengdu 610065, China.
College of Food and Biological Engineering, Chengdu University, Chengdu 610065, China.
Polymers (Basel). 2020 Oct 30;12(11):2549. doi: 10.3390/polym12112549.
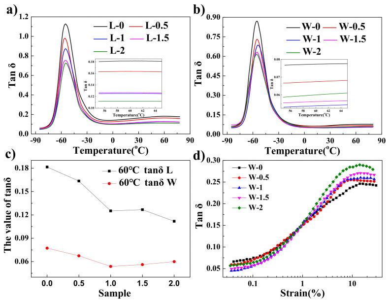
The reduced graphene oxide (rGO) modified natural rubber composite (NR) filled with high contents of silica was prepared by a wet compounding and latex mixing process using a novel interface modifier cystamine dihydrochloride (CDHC) with coagulation ability. CDHC acts as a coagulation agent through electrostatic interaction with rGO, SiO, and latex rubber particles during the latex-based preparation process, while in the obtained silica/graphene/natural rubber composites, CDHC acts as an interface modifier. Compared with the composites prepared by the conventional mechanical mixing method, the dispersion of both rGO and SiO in the composites made by a wet compounding and latex mixing process is improved. As a result, the obtained silica/graphene/natural rubber composite prepared by this new method has good comprehensive properties. A Dynamic Mechanical Test suggests that the tan δ values of the composites at 60 °C decrease, indicating a low rolling resistance with increasing the graphene content at a low strain, but it increases at a higher strain. This unique feature for this material provides an advantage in the rubber tire application.
采用具有凝聚能力的新型界面改性剂二盐酸胱胺(CDHC),通过湿法混炼和胶乳混合工艺制备了高填充量二氧化硅的还原氧化石墨烯(rGO)改性天然橡胶复合材料(NR)。在基于胶乳的制备过程中,CDHC通过与rGO、SiO和胶乳橡胶颗粒的静电相互作用充当凝聚剂,而在所得的二氧化硅/石墨烯/天然橡胶复合材料中,CDHC充当界面改性剂。与通过传统机械混合方法制备的复合材料相比,通过湿法混炼和胶乳混合工艺制备的复合材料中rGO和SiO的分散性均得到改善。结果,通过这种新方法制备的二氧化硅/石墨烯/天然橡胶复合材料具有良好的综合性能。动态力学测试表明,复合材料在60℃时的损耗因子(tanδ)值降低,表明在低应变下随着石墨烯含量的增加滚动阻力较低,但在高应变下会增加。这种材料的这一独特特性在橡胶轮胎应用中具有优势。