Suppr超能文献

Aβ 诱导的 hCMEC/D3 细胞损伤记忆由 Sirtuin-1 介导。

Aβ-Induced Damage Memory in hCMEC/D3 Cells Mediated by Sirtuin-1.

机构信息

Center of Drug Metabolism and Pharmacokinetics, China Pharmaceutical University, Nanjing 210009, China.

出版信息

Int J Mol Sci. 2020 Nov 3;21(21):8226. doi: 10.3390/ijms21218226.

Abstract

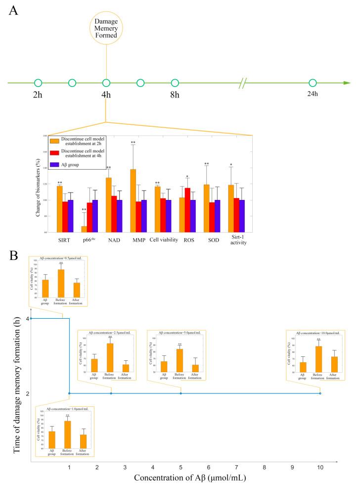
It is well accepted by the scientific community that the accumulation of beta-amyloid (Aβ) may be involved in endothelial dysfunction during Alzheimer's disease (AD) progression; however, anti-Aβ anti-bodies, which remove Aβ plaques, do not improve cerebrovascular function in AD animal models. The reasons for these paradoxical results require investigation. We hypothesized that Aβ exposure may cause persistent damage to cerebral endothelial cells even after Aβ is removed (referred to as cerebrovascular endothelial damage memory). In this study, we aimed to investigate whether cerebrovascular endothelial damage memory exists in endothelial cells. hCMEC/D3 cells were treated with Aβ for 12 h and then Aβ was withdrawn for another 12 h incubation to investigate whether cerebrovascular endothelial damage memory exists in endothelial cells. A mechanism-based kinetics progression model was developed to investigate the dynamic characters of the cerebrovascular endothelial damage. After Aβ was removed, the sirt-1 levels returned to normal but the cell vitality did not improve, which suggests that cerebrovascular endothelial damage memory may exist in endothelial cells. Sirt-1 activator SRT2104 and NAD (Nicotinamide Adenine Dinucleotide) supplement may dose-dependently relieve the cerebrovascular endothelial damage memory. sirt-1 inhibitor EX527 may exacerbate the cerebrovascular endothelial damage memory. Kinetics analysis suggested that sirt-1 is involved in initiating the cerebrovascular endothelial damage memory; otherwise, NAD exhaustion plays a vital role in maintaining the cerebrovascular endothelial damage memory. This study provides a novel feature of cerebrovascular endothelial damage induced by Aβ.

摘要

科学界普遍认为,β-淀粉样蛋白(Aβ)的积累可能与阿尔茨海默病(AD)进展过程中的内皮功能障碍有关;然而,清除 Aβ 斑块的抗 Aβ 抗体并不能改善 AD 动物模型中的脑血管功能。这些矛盾结果的原因需要进一步研究。我们假设 Aβ 暴露即使在清除 Aβ 后也可能对大脑内皮细胞造成持续损伤(称为脑血管内皮损伤记忆)。在这项研究中,我们旨在研究内皮细胞中是否存在脑血管内皮损伤记忆。用 Aβ 处理 hCMEC/D3 细胞 12 h 后,再去除 Aβ 孵育 12 h,以研究内皮细胞中是否存在脑血管内皮损伤记忆。建立了一种基于机制的动力学进展模型,以研究脑血管内皮损伤的动态特征。去除 Aβ 后,sirt-1 水平恢复正常,但细胞活力没有改善,这表明内皮细胞中可能存在脑血管内皮损伤记忆。sirt-1 激活剂 SRT2104 和 NAD(烟酰胺腺嘌呤二核苷酸)补充剂可以剂量依赖性地缓解脑血管内皮损伤记忆。sirt-1 抑制剂 EX527 可能会加重脑血管内皮损伤记忆。动力学分析表明,sirt-1 参与启动脑血管内皮损伤记忆;而 NAD 耗竭在维持脑血管内皮损伤记忆中起着至关重要的作用。这项研究提供了 Aβ 诱导的脑血管内皮损伤的一个新特征。

https://cdn.ncbi.nlm.nih.gov/pmc/blobs/f291/7662699/19fec2737d23/ijms-21-08226-g001.jpg

文献检索

告别复杂PubMed语法,用中文像聊天一样搜索,搜遍4000万医学文献。AI智能推荐,让科研检索更轻松。

立即免费搜索

文件翻译

保留排版,准确专业,支持PDF/Word/PPT等文件格式,支持 12+语言互译。

免费翻译文档

深度研究

AI帮你快速写综述,25分钟生成高质量综述,智能提取关键信息,辅助科研写作。

立即免费体验