Suppr超能文献

具有连续终点的分组序贯设计无效性停止边界的最优性准则。

Optimality criteria for futility stopping boundaries for group sequential designs with a continuous endpoint.

机构信息

Charité - Universitätsmedizin Berlin, corporate member of Freie Universität Berlin, Humboldt-Universität zu Berlin, and Berlin Institute of Health, Institute of Biometry and Clinical Epidemiology, Charitéplatz 1, Berlin, 10117, Germany.

Berlin Institute of Health (BIH), Anna-Louisa-Karsch-Str. 2, Berlin, 10178, Germany.

出版信息

BMC Med Res Methodol. 2020 Nov 5;20(1):274. doi: 10.1186/s12874-020-01141-5.

Abstract

BACKGROUND

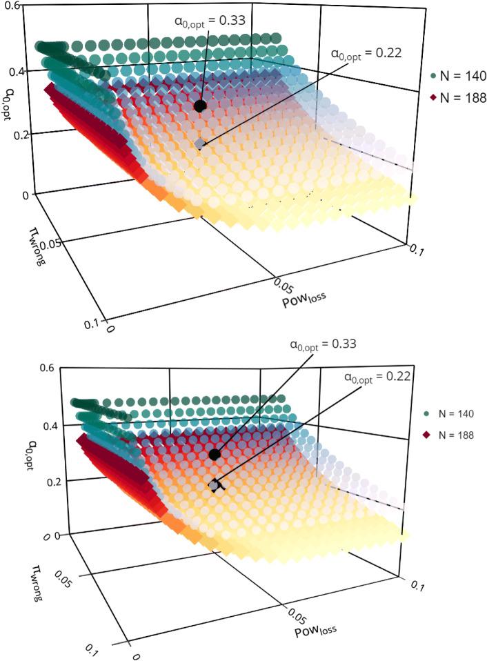
In clinical trials with fixed study designs, statistical inference is only made when the trial is completed. In contrast, group sequential designs allow an early stopping of the trial at interim, either for efficacy when the treatment effect is significant or for futility when the treatment effect seems too small to justify a continuation of the trial. Efficacy stopping boundaries based on alpha spending functions have been widely discussed in the statistical literature, and there is also solid work on the choice of adequate futility stopping boundaries. Still, futility boundaries are often chosen with little or completely without theoretical justification, in particular in investigator initiated trails. Some authors contributed to fill this gap. In here, we rely on an idea of Schüler et al. (2017) who discuss optimality criteria for futility boundaries for the special case of trials with (multiple) time-to-event endpoints. Their concept can be adopted to define "optimal" futility boundaries (with respect to given performance indicators) for continuous endpoints.

METHODS

We extend Schülers' definition for "optimal" futility boundaries to the most common study situation of a single continuous primary endpoint compared between two groups. First, we introduce the analytic algorithm to derive these futility boundaries. Second, the new concept is applied to a real clinical trial example. Finally, the performance of a study design with an "optimal" futility boundary is compared to designs with arbitrarily chosen futility boundaries.

RESULTS

The presented concept of deriving futility boundaries allows to control the probability of wrongly stopping for futility, that means stopping for futility even if the treatment effect is promizing. At the same time, the loss in power is also controlled by this approach. Moreover, "optimal" futility boundaries improve the probability of correctly stopping for futility under the null hypothesis of no difference between two groups.

CONCLUSIONS

The choice of futility boundaries should be thoroughly investigated at the planning stage. The sometimes met, arbitrary choice of futility boundaries can lead to a substantial negative impact on performance. Applying futility boundaries with predefined optimization criteria increases efficiency of group sequential designs. Other optimization criteria than proposed in here might be incorporated.

摘要

背景

在具有固定研究设计的临床试验中,仅在试验完成后才进行统计推断。相比之下,分组序贯设计允许在中期提前停止试验,当治疗效果显著时进行疗效停止,或者当治疗效果似乎太小而不值得继续进行试验时进行无效性停止。基于 alpha 花费函数的疗效停止边界在统计文献中得到了广泛讨论,并且对于适当的无效性停止边界的选择也有扎实的工作。尽管如此,无效性边界的选择通常缺乏或完全缺乏理论依据,特别是在研究者发起的试验中。一些作者为此做出了贡献。在这里,我们依赖于 Schüler 等人(2017 年)的一个想法,他们讨论了针对具有(多个)生存时间终点的试验的无效性边界的最优性标准。他们的概念可以被采用来定义连续终点的“最优”无效性边界(相对于给定的性能指标)。

方法

我们将 Schüler 等人的“最优”无效性边界的定义扩展到比较两组之间的单个连续主要终点的最常见研究情况。首先,我们引入了用于推导这些无效性边界的分析算法。其次,将新概念应用于真实的临床试验示例。最后,将具有“最优”无效性边界的研究设计的性能与任意选择的无效性边界的设计进行比较。

结果

所提出的推导无效性边界的概念允许控制因无效性而错误停止的概率,即即使治疗效果有希望,也因无效性而停止。同时,这种方法也控制了损失的功效。此外,在两组之间无差异的零假设下,“最优”无效性边界可以提高正确停止无效性的概率。

结论

无效性边界的选择应在规划阶段进行彻底调查。有时遇到的无效性边界的任意选择可能会对性能产生实质性的负面影响。应用具有预定义优化标准的无效性边界可以提高分组序贯设计的效率。可以采用这里提出的以外的其他优化标准。

https://cdn.ncbi.nlm.nih.gov/pmc/blobs/0f79/7643306/312bc8890d89/12874_2020_1141_Fig1_HTML.jpg

文献AI研究员

20分钟写一篇综述,助力文献阅读效率提升50倍。

立即体验

用中文搜PubMed

大模型驱动的PubMed中文搜索引擎

马上搜索

文档翻译

学术文献翻译模型,支持多种主流文档格式。

立即体验