• 文献检索
  • 文档翻译
  • 深度研究
  • 学术资讯
  • Suppr Zotero 插件Zotero 插件
  • 邀请有礼
  • 套餐&价格
  • 历史记录
应用&插件
Suppr Zotero 插件Zotero 插件浏览器插件Mac 客户端Windows 客户端微信小程序
定价
高级版会员购买积分包购买API积分包
服务
文献检索文档翻译深度研究API 文档MCP 服务
关于我们
关于 Suppr公司介绍联系我们用户协议隐私条款
关注我们

Suppr 超能文献

核心技术专利:CN118964589B侵权必究
粤ICP备2023148730 号-1Suppr @ 2026

文献检索

告别复杂PubMed语法,用中文像聊天一样搜索,搜遍4000万医学文献。AI智能推荐,让科研检索更轻松。

立即免费搜索

文件翻译

保留排版,准确专业,支持PDF/Word/PPT等文件格式,支持 12+语言互译。

免费翻译文档

深度研究

AI帮你快速写综述,25分钟生成高质量综述,智能提取关键信息,辅助科研写作。

立即免费体验

合作绘制曼陀罗与独自绘制曼陀罗对正念、精神性及主观幸福感有不同影响。

Cooperative and Individual Mandala Drawing Have Different Effects on Mindfulness, Spirituality, and Subjective Well-Being.

作者信息

Liu Chao, Chen Hao, Liu Chia-Yi, Lin Rung-Tai, Chiou Wen-Ko

机构信息

College of Aviation, Hua Qiao University, Xiamen, China.

Graduate Institute of Business and Management, Chang Gung University, Taoyuan, Taiwan.

出版信息

Front Psychol. 2020 Oct 9;11:564430. doi: 10.3389/fpsyg.2020.564430. eCollection 2020.

DOI:10.3389/fpsyg.2020.564430
PMID:33162908
原文链接:https://pmc.ncbi.nlm.nih.gov/articles/PMC7581735/
Abstract

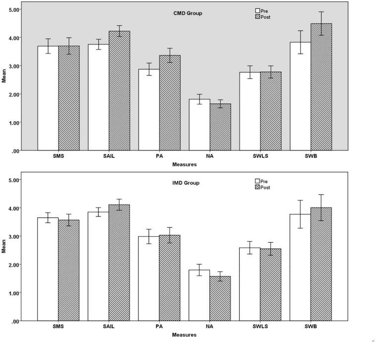
Mandala drawing was first practiced by Tibetan buddhists and then developed by Carl Gustav Jung, who felt certain that mandala drawing has the function of integrating psychological division, enhancing psychological harmony, and preserving personality integrity. Previous studies on mandala drawing have mainly focused on alleviating people's negative emotions, such as anxiety and depression. Therefore, this study explored the effect and mechanism of mandala drawing on the improvement of subjective well-being (SWB), mindfulness, and spirituality from positive psychology's viewpoint and compared the different effects of cooperative mandala drawing (CMD) and individual mandala drawing (IMD) on mindfulness, spirituality, and SWB. A total of 76 students were recruited from Chang Gung University, and the aforementioned three main variables were measured before and after the coloring experiment. The results indicated that both CMD and IMD significantly enhanced the subjects' spirituality. Compared with IMD, CMD has a more significant improvement and promotion effect on SWB of subjects by affecting PA, while IMD had no significant effect on PA, and the enhancement effect of SWB was weaker than that of CMD. Mindfulness, spirituality, and SWB all positively correlated with each other. This study highlights the mechanism of mandala drawing and the theoretical understanding of the relationship between mindfulness and SWB. Mandala drawing especially CMD has a positive effect on spirituality and SWB, which may provide individuals with a simple and easy method to improve their happiness.

摘要

曼陀罗绘画最初由藏传佛教徒所实践,后由卡尔·古斯塔夫·荣格发展。荣格确信曼陀罗绘画具有整合心理分裂、增强心理和谐以及保持人格完整的功能。以往关于曼陀罗绘画的研究主要集中在缓解人们的负面情绪,如焦虑和抑郁。因此,本研究从积极心理学的角度探讨了曼陀罗绘画对提高主观幸福感(SWB)、正念和灵性的影响及机制,并比较了合作曼陀罗绘画(CMD)和个体曼陀罗绘画(IMD)对正念、灵性和SWB的不同影响。从长庚大学招募了76名学生,在填色实验前后测量上述三个主要变量。结果表明,CMD和IMD均显著增强了受试者的灵性。与IMD相比,CMD通过影响积极情绪(PA)对受试者的SWB有更显著的改善和促进作用,而IMD对PA无显著影响,且SWB的增强作用弱于CMD。正念、灵性和SWB之间均呈正相关。本研究突出了曼陀罗绘画的机制以及对正念与SWB之间关系的理论理解。曼陀罗绘画尤其是CMD对灵性和SWB有积极影响,这可能为个人提供一种简单易行的提高幸福感的方法。

https://cdn.ncbi.nlm.nih.gov/pmc/blobs/50ff/7581735/81f932126ace/fpsyg-11-564430-g002.jpg
https://cdn.ncbi.nlm.nih.gov/pmc/blobs/50ff/7581735/36fdc7ee1575/fpsyg-11-564430-g001.jpg
https://cdn.ncbi.nlm.nih.gov/pmc/blobs/50ff/7581735/81f932126ace/fpsyg-11-564430-g002.jpg
https://cdn.ncbi.nlm.nih.gov/pmc/blobs/50ff/7581735/36fdc7ee1575/fpsyg-11-564430-g001.jpg
https://cdn.ncbi.nlm.nih.gov/pmc/blobs/50ff/7581735/81f932126ace/fpsyg-11-564430-g002.jpg

相似文献

1
Cooperative and Individual Mandala Drawing Have Different Effects on Mindfulness, Spirituality, and Subjective Well-Being.合作绘制曼陀罗与独自绘制曼陀罗对正念、精神性及主观幸福感有不同影响。
Front Psychol. 2020 Oct 9;11:564430. doi: 10.3389/fpsyg.2020.564430. eCollection 2020.
2
Effects of animated pedagogical agent-guided loving-kindness meditation on flight attendants' spirituality, mindfulness, subjective wellbeing, and social presence.动画教学代理引导的慈心禅修对空乘人员灵性、正念、主观幸福感和社交临场感的影响。
Front Psychol. 2022 Aug 3;13:894220. doi: 10.3389/fpsyg.2022.894220. eCollection 2022.
3
Corrigendum: Cooperative and Individual Mandala Drawing Have Different Effects on Mindfulness, Spirituality, and Subjective Well-Being.勘误:合作绘制曼陀罗与单独绘制曼陀罗对正念、精神性和主观幸福感有不同影响。
Front Psychol. 2020 Nov 19;11:620699. doi: 10.3389/fpsyg.2020.620699. eCollection 2020.
4
How flow and mindfulness interact with each other in mindfulness-based augmented reality mandala coloring activities.在基于正念的增强现实曼陀罗填色活动中,心流与正念是如何相互作用的。
Front Psychol. 2024 Jan 8;14:1301531. doi: 10.3389/fpsyg.2023.1301531. eCollection 2023.
5
The Effect of Loving-Kindness Meditation on Flight Attendants' Spirituality, Mindfulness and Subjective Well-Being.慈心禅对空乘人员精神性、正念和主观幸福感的影响。
Healthcare (Basel). 2020 Jun 16;8(2):174. doi: 10.3390/healthcare8020174.
6
The effect of mindfulness-based mandala activity on anxiety and spiritual well-being levels of senior nursing students: A randomized controlled study.正念曼陀罗活动对护理专业高年级学生焦虑和精神健康水平的影响:一项随机对照研究。
Perspect Psychiatr Care. 2022 Oct;58(4):2897-2909. doi: 10.1111/ppc.13138. Epub 2022 Jul 3.
7
When Did Coloring Books Become Mindful? Exploring the Effectiveness of a Novel Method of Mindfulness-Guided Instructions for Coloring Books to Increase Mindfulness and Decrease Anxiety.涂色书何时变得具有正念性?探索一种针对涂色书的新型正念指导方法在增强正念和减轻焦虑方面的有效性。
Front Psychol. 2018 Jan 30;9:56. doi: 10.3389/fpsyg.2018.00056. eCollection 2018.
8
Effectiveness of mindfulness-based coloring for university students' test anxiety.正念涂色对大学生考试焦虑的影响。
J Am Coll Health. 2020 Jul;68(5):518-527. doi: 10.1080/07448481.2019.1583239. Epub 2019 Mar 25.
9
The Effects of Mandala Coloring and Free Coloring on Mindfulness and the Score of Posttraumatic Stress Disorder in Veterans: A Randomized Controlled Trial.曼陀罗涂色和自由涂色对退伍军人正念及创伤后应激障碍评分的影响:一项随机对照试验
Holist Nurs Pract. 2024 Aug 5. doi: 10.1097/HNP.0000000000000680.
10
Spirituality and wellbeing in later life: a multidimensional approach.晚年的灵性与幸福感:多维视角。
Aging Ment Health. 2019 Aug;23(8):984-991. doi: 10.1080/13607863.2018.1460743. Epub 2018 Apr 18.

引用本文的文献

1
Discussion on the Application of Mindfulness Therapy in the Treatment of Diabetic Peripheral Neuropathy: A Narrative Review.正念疗法在糖尿病周围神经病变治疗中的应用探讨:一项叙述性综述
Psychol Res Behav Manag. 2025 Aug 12;18:1729-1747. doi: 10.2147/PRBM.S533200. eCollection 2025.
2
The role of FOMO and mindfulness in the relationship between mobile phone dependence and sleep quality among Chinese youth: a mediating and moderating analysis.错失恐惧和正念在中国青少年手机依赖与睡眠质量关系中的作用:中介与调节分析
Front Psychol. 2025 Jul 8;16:1632396. doi: 10.3389/fpsyg.2025.1632396. eCollection 2025.
3
The potential of arts therapies in Parkinson's disease rehabilitation: A comprehensive review.

本文引用的文献

1
The Effect of Loving-Kindness Meditation on Flight Attendants' Spirituality, Mindfulness and Subjective Well-Being.慈心禅对空乘人员精神性、正念和主观幸福感的影响。
Healthcare (Basel). 2020 Jun 16;8(2):174. doi: 10.3390/healthcare8020174.
2
How Leaders' Psychological Capital Influence Their Followers' Psychological Capital: Social Exchange or Emotional Contagion.领导者的心理资本如何影响其追随者的心理资本:社会交换还是情绪感染
Front Psychol. 2019 Jul 12;10:1578. doi: 10.3389/fpsyg.2019.01578. eCollection 2019.
3
The Relationship Between Satisfaction With Life and Depression Symptoms by Gender.
艺术疗法在帕金森病康复中的潜力:一项综述
Heliyon. 2024 Aug 3;10(16):e35765. doi: 10.1016/j.heliyon.2024.e35765. eCollection 2024 Aug 30.
4
The effect of mandala coloring on anxiety and quality of life of women in the climacteric period: a randomized controlled study.曼陀罗涂色对更年期女性焦虑及生活质量的影响:一项随机对照研究。
Rev Assoc Med Bras (1992). 2024 Jul 19;70(6):e20240059. doi: 10.1590/1806-9282.20240059. eCollection 2024.
5
The effect of mandala coloring and free coloring on the happiness in veterans with post-traumatic stress disorder in the Covid-19 pandemic: a randomized clinical trial.曼陀罗彩绘和自由彩绘对新冠疫情期间创伤后应激障碍退伍军人幸福感的影响:一项随机临床试验。
BMC Psychiatry. 2024 Jun 25;24(1):467. doi: 10.1186/s12888-024-05886-x.
6
Collectivism, face concern and Chinese-style lurking among university students: the moderating role of trait mindfulness.大学生中的集体主义、面子关注与中国式潜伏:特质正念的调节作用
Front Psychol. 2024 Feb 21;15:1298357. doi: 10.3389/fpsyg.2024.1298357. eCollection 2024.
7
How flow and mindfulness interact with each other in mindfulness-based augmented reality mandala coloring activities.在基于正念的增强现实曼陀罗填色活动中,心流与正念是如何相互作用的。
Front Psychol. 2024 Jan 8;14:1301531. doi: 10.3389/fpsyg.2023.1301531. eCollection 2023.
8
Arts therapies for mental disorders in COVID-19 patients: a comprehensive review.新冠疫情期间针对精神障碍患者的艺术治疗:全面综述。
Front Public Health. 2023 Dec 4;11:1289545. doi: 10.3389/fpubh.2023.1289545. eCollection 2023.
9
A study on the relationship between mindfulness and work performance of web editors: Based on the chain mediating effect of workplace spirituality and digital competencies.网络编辑正念与工作绩效的关系研究:基于职场精神与数字能力的链式中介效应
Front Psychol. 2023 Jan 18;13:1068735. doi: 10.3389/fpsyg.2022.1068735. eCollection 2022.
10
The effect of employee mindfulness in the new media industry on innovative behavior: The chain mediating role of positive emotion and work engagement.新媒体行业员工正念对创新行为的影响:积极情绪与工作投入的链式中介作用。
Front Psychol. 2022 Nov 14;13:976504. doi: 10.3389/fpsyg.2022.976504. eCollection 2022.
按性别划分的生活满意度与抑郁症状之间的关系。
Front Psychiatry. 2019 Jun 14;10:419. doi: 10.3389/fpsyt.2019.00419. eCollection 2019.
4
Week-long visuomotor coordination and relaxation trainings do not increase sensorimotor rhythms (SMR) based brain-computer interface performance.为期一周的视动协调和放松训练不会提高基于感觉运动节律(SMR)的脑机接口性能。
Behav Brain Res. 2019 Oct 17;372:111993. doi: 10.1016/j.bbr.2019.111993. Epub 2019 Jun 1.
5
Mindfulness and wellbeing in older adults' survivors of herdsmen attack. The mediating effect of positive reappraisal.老年人牧民袭击幸存者的正念和幸福感。积极重评的中介作用。
Aging Ment Health. 2020 Jul;24(7):1132-1140. doi: 10.1080/13607863.2019.1602592. Epub 2019 Apr 24.
6
Effectiveness of mindfulness-based coloring for university students' test anxiety.正念涂色对大学生考试焦虑的影响。
J Am Coll Health. 2020 Jul;68(5):518-527. doi: 10.1080/07448481.2019.1583239. Epub 2019 Mar 25.
7
Self-Compassion and Subjective Well-Being Mediate the Impact of Mindfulness on Balanced Time Perspective in Chinese College Students.自我同情与主观幸福感在正念对中国大学生平衡时间观的影响中起中介作用。
Front Psychol. 2019 Feb 22;10:367. doi: 10.3389/fpsyg.2019.00367. eCollection 2019.
8
Effect of a nurse-led intervention programme on professional quality of life and post-traumatic growth in oncology nurses.护士主导的干预计划对肿瘤护理人员职业生活质量和创伤后成长的影响。
Int J Nurs Pract. 2018 Dec;24(6):e12687. doi: 10.1111/ijn.12687. Epub 2018 Aug 5.
9
Unmet social support needs among college students: Relations between social support discrepancy and depressive and anxiety symptoms.大学生未满足的社会支持需求:社会支持差距与抑郁和焦虑症状的关系。
J Couns Psychol. 2018 Jul;65(4):474-489. doi: 10.1037/cou0000269.
10
Spirituality and wellbeing in later life: a multidimensional approach.晚年的灵性与幸福感:多维视角。
Aging Ment Health. 2019 Aug;23(8):984-991. doi: 10.1080/13607863.2018.1460743. Epub 2018 Apr 18.