Suppr超能文献

无钩梅鲷先天免疫对副溶血弧菌感染的基因表达动力学。

Gene expression kinetics of Exaiptasia pallida innate immune response to Vibrio parahaemolyticus infection.

机构信息

Centre Scientifique de Monaco, 8 Quai Antoine 1er, 98000, Monaco, Monaco.

LIA ROPSE, Laboratoire International Associé Université Côte d'Azur - Centre Scientifique de Monaco, Monaco, Monaco.

出版信息

BMC Genomics. 2020 Nov 9;21(1):768. doi: 10.1186/s12864-020-07140-6.

Abstract

BACKGROUND

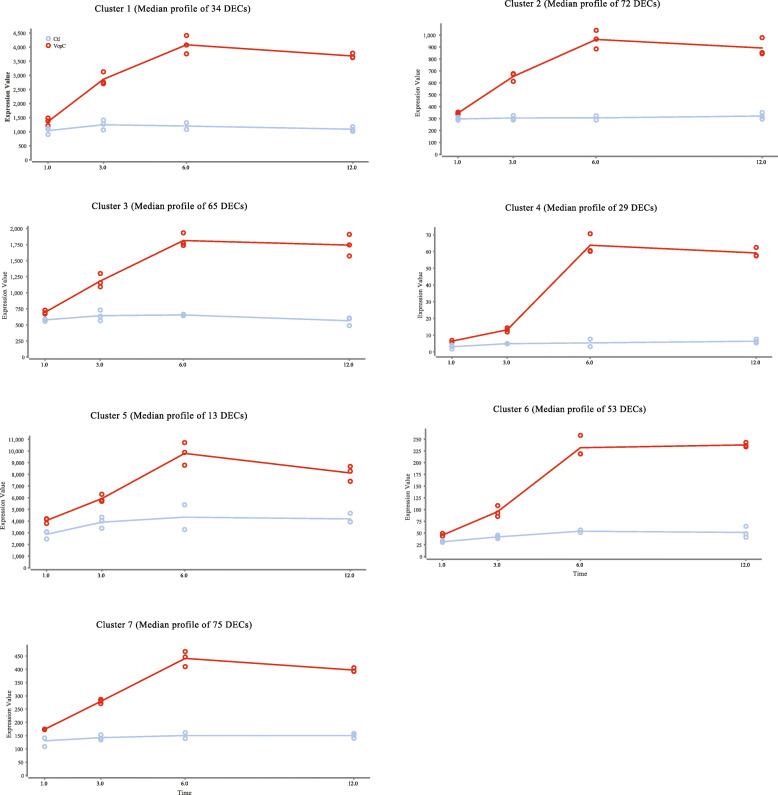
Recent sequencing projects on early-diverging metazoans such as cnidarians, have unveiled a rich innate immunity gene repertoire; however, little is known about immunity gene regulation in the host's early response against marine bacterial pathogens over time. Here, we used RNA-seq on the sea anemone Exaiptasia pallida (Ep) strain CC7 as a model to depict the innate immune response during the onset of infection with the marine pathogenic bacteria Vibrio parahaemolyticus (Vp) clinical strain O3:K6, and lipopolysaccharides (LPS) exposure. Pairwise and time series analyses identified the genes responsive to infection as well as the kinetics of innate immune genes over time. Comparisons between the responses to live Vp and purified LPS was then performed.

RESULTS

Gene expression and functional analyses detected hundreds to thousands of genes responsive to the Vp infection after 1, 3, 6 and 12 h, including a few shared with the response to LPS. Our results bring to light the first indications that non-canonical cytoplasmic pattern recognition receptors (PRRs) such as NOD-like and RIG-I-like receptor homologs take part in the immune response of Ep. Over-expression of several members of the lectin-complement pathways in parallel with novel transmembrane and Ig containing ficolins (CniFLs) suggest an active defense against the pathogen. Although lacking typical Toll-like receptors (TLRs), Ep activates a TLR-like pathway including the up-regulation of MyD88, TRAF6, NF-κB and AP-1 genes, which are not induced under LPS treatment and therefore suggest an alternative ligand-to-PRR trigger. Two cytokine-dependent pathways involving Tumor necrosis factor receptors (TNFRs) and several other potential downstream signaling genes likely lead to inflammation and/or apoptosis. Finally, both the extrinsic and intrinsic apoptotic pathways were strongly supported by over-expression of effector and executioner genes.

CONCLUSIONS

To our knowledge, this pioneering study is first to follow the kinetics of the innate immune response in a cnidarian during the onset of infection with a bacterial pathogen. Overall, our findings reveal the involvement of both novel immune gene candidates such as NLRs, RLRs and CniFLs, and previously identified TLR-like and apoptotic pathways in anthozoan innate immunity with a large amount of transcript-level evidence.

摘要

背景

最近对刺胞动物等早期分化的后生动物进行的测序项目揭示了丰富的固有免疫基因库;然而,对于宿主在海洋细菌病原体感染早期的时间过程中对免疫基因的调控知之甚少。在这里,我们使用海葵 Exaiptasia pallida(Ep)菌株 CC7 的 RNA-seq 作为模型,描述了在感染海洋致病性细菌副溶血弧菌(Vp)临床株 O3:K6 和脂多糖(LPS)暴露时的固有免疫反应。成对和时间序列分析确定了对感染有反应的基因以及随时间推移固有免疫基因的动力学。然后比较了对活 Vp 和纯化 LPS 的反应。

结果

基因表达和功能分析检测到数百到数千个对 Vp 感染有反应的基因,在 1、3、6 和 12 小时后,包括一些与 LPS 反应共享的基因。我们的结果首次表明,非经典细胞质模式识别受体(PRR),如 NOD 样和 RIG-I 样受体同源物,参与 Ep 的免疫反应。凝集素-补体途径的几个成员的过表达与新型跨膜和 Ig 包含的纤维胶凝蛋白(CniFLs)平行,表明对病原体的积极防御。尽管 Ep 缺乏典型的 Toll 样受体(TLR),但它激活了 TLR 样途径,包括 MyD88、TRAF6、NF-κB 和 AP-1 基因的上调,这些基因在 LPS 处理下不会被诱导,因此表明存在替代配体-PRR 触发。两条涉及肿瘤坏死因子受体(TNFRs)和其他几种潜在下游信号基因的细胞因子依赖性途径可能导致炎症和/或细胞凋亡。最后,外源性和内源性凋亡途径都得到了效应和执行基因过表达的强烈支持。

结论

据我们所知,这项开创性的研究是首次在刺胞动物中跟踪细菌病原体感染开始时固有免疫反应的动力学。总的来说,我们的研究结果表明,在珊瑚虫固有免疫中涉及新型免疫基因候选物,如 NLRs、RLRs 和 CniFLs,以及先前鉴定的 TLR 样和凋亡途径,具有大量转录水平的证据。

https://cdn.ncbi.nlm.nih.gov/pmc/blobs/c793/7654579/df8fdc64a361/12864_2020_7140_Fig1_HTML.jpg

文献AI研究员

20分钟写一篇综述,助力文献阅读效率提升50倍。

立即体验

用中文搜PubMed

大模型驱动的PubMed中文搜索引擎

马上搜索

文档翻译

学术文献翻译模型,支持多种主流文档格式。

立即体验