Suppr超能文献

日本新生儿研究网络中极低出生体重儿的神经发育结局:新生儿重症监护病房出院后随访的重要性

Neurodevelopmental outcomes of very low birth weight infants in the Neonatal Research Network of Japan: importance of neonatal intensive care unit graduate follow-up.

作者信息

Kono Yumi

机构信息

Department of Pediatrics, Jichi Medical University, Shimotsuke Tochigi, Japan.

出版信息

Clin Exp Pediatr. 2021 Jul;64(7):313-321. doi: 10.3345/cep.2020.01312. Epub 2020 Nov 9.

Abstract

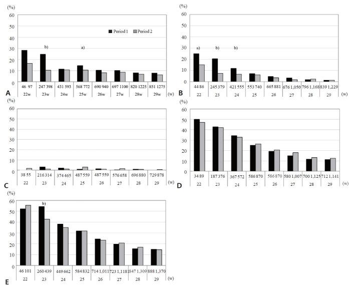
Here we describe the neurodevelopmental outcomes of very low birth weight (VLBW) infants (birth weight ≤1,500 g) at 3 years of age in the Neonatal Research Network of Japan (NRNJ) database in the past decade and review the methodological issues identified in follow-up studies. The follow-up protocol for children at 3 years of chronological age in the NRNJ consists of physical and comprehensive neurodevelopmental assessments in each participating center. Neurodevelopmental impairment (NDI)-moderate to severe neurological disability-is defined as cerebral palsy (CP) with a Gross Motor Function Classification System score ≥2, visual impairment such as uni- or bilateral blindness, hearing impairment requiring hearing amplification, or cognitive impairment with a developmental quotient (DQ) of Kyoto Scale of Psychological Development score <70 or judgment as delayed by pediatricians. We used death or NDI as an unfavorable outcome in all study subjects and NDI in survivors using number of assessed infants as the denominator. Follow-up data were collected from 49% of survivors in the database. Infants with follow-up data had lower birth weights and were of younger gestational age than those without followup data. Mortality rates of 40,728 VLBW infants born between 2003 and 2012 were 8.2% before discharge and 0.7% after discharge. The impairment rates in the assessed infants were 7.1% for CP, 1.8% for blindness, 0.9% for hearing impairment, 15.9% for a DQ <70, and 19.1% for NDI. The mortality or NDI rate in all study subjects, including infants without followup data, was 17.4%, while that in the subjects with outcome data was 32.5%. The NRNJ follow-up study results suggested that children born with a VLBW remained at high risk of NDI in early childhood. It is important to establish a network followup protocol and complete assessments with fewer dropouts to enable clarification of the outcomes of registered infants.

摘要

在此,我们描述了日本新生儿研究网络(NRNJ)数据库中过去十年出生体重极低(VLBW,出生体重≤1500克)的婴儿在3岁时的神经发育结局,并回顾了随访研究中发现的方法学问题。NRNJ中3岁实足年龄儿童的随访方案包括各参与中心的体格和全面神经发育评估。神经发育障碍(NDI,中度至重度神经残疾)定义为粗大运动功能分类系统评分≥2的脑瘫(CP)、单眼或双眼失明等视力障碍、需要听力放大的听力障碍,或心理发展京都量表发育商(DQ)评分<70或被儿科医生判定为发育迟缓的认知障碍。在所有研究对象中,我们将死亡或NDI作为不良结局,在幸存者中将NDI作为不良结局,分母为评估婴儿数量。从数据库中49%的幸存者处收集了随访数据。有随访数据的婴儿出生体重更低,胎龄也比没有随访数据的婴儿更小。2003年至2012年出生的40728例VLBW婴儿的死亡率在出院前为8.2%,出院后为0.7%。评估婴儿中的损伤率为:CP为7.1%,失明为1.8%,听力障碍为0.9%,DQ<70为15.9%,NDI为19.1%。所有研究对象(包括没有随访数据的婴儿)的死亡率或NDI率为17.4%,而有结局数据的对象的死亡率或NDI率为32.5%。NRNJ随访研究结果表明,出生体重极低的儿童在幼儿期仍有较高的NDI风险。建立网络随访方案并进行更少失访的完整评估,对于明确登记婴儿的结局很重要。

https://cdn.ncbi.nlm.nih.gov/pmc/blobs/79f5/8255508/601de748a0ef/cep-2020-01312f1.jpg

文献AI研究员

20分钟写一篇综述,助力文献阅读效率提升50倍。

立即体验

用中文搜PubMed

大模型驱动的PubMed中文搜索引擎

马上搜索

文档翻译

学术文献翻译模型,支持多种主流文档格式。

立即体验