Department of Medicine, University of Padova, Via Giustiniani 2, Padua, 35128, Italy.
Cardiovasc Diabetol. 2020 Nov 10;19(1):190. doi: 10.1186/s12933-020-01164-8.
The well-established benefit of Low-Dense-Lipoprotein-cholesterol (LDL-c) lowering treatments (LLTs) has led clinical guidelines to lower the cardiovascular prevention targets. Despite this, there is a surprising scarcity of real-world studies (RWS) evaluating whether recommendations are applied in the routine clinical management of patients with type 2 diabetes (T2D). We therefore evaluated, in a large RWS, the pattern of LLTs use and the achievement of LDL-c targets in patients with T2D in Italian diabetes specialist clinics.
We collected data from 46 diabetes outpatient clinics (following 281,381 subjects), including 104,726 T2D patients, for whom use of LLTs between 2015 and 2016 was ascertained. We used the 2016 and 2019 European Atherosclerosis Society and European Society of Cardiology (EAS-ESC) guidelines to define cardiovascular risk categories, LDL-c targets, and the expected LDL-c reduction and cardiovascular benefit achievable with LLT intensification.
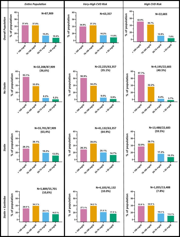
63,861 patients (61.0%) were on statin therapy, 9.2% of whom were also on ezetimibe. Almost all subjects were at high (29.3%) or very high (70.4%) cardiovascular risk, including 17% being in secondary prevention. Among very high-risk patients, 35% were not on statin despite half of them had LDL-c > 2.6 mmol/l, and only 15% of those on statins had LDL-c < 1.4 mmol/l. 83% of subjects in secondary prevention were on a statin, but half of them had LDL-c > 1.8 mmol/l. Overall, 35% and 14% of subjects achieved the LDL-c targets as suggested by 2016 and 2019 EAS-ESC Guidelines, respectively. Based on anticipated response to treatment, we estimated that 38% of the entire population would require high-intensity-statin (HI-statin), 27% a combination of HI-statin plus ezetimibe, and 27% the addition of proprotein-convertase-subtilisin/kexin-9 (PCSK9) inhibitors. These LLT intensifications would reduce the incidence of cardiovascular events by 32%, from 23.511 to 16.022 events per 100.000 patients/10-years (incidence-rate-ratio 0.68; 95% C.I 0.67-0.70, p < 0.001).
Despite the increase in use of LLT in T2D over the last decades, a large proportion of subjects with T2D did not achieve their LDL-c targets. Given the very high cardiovascular risk of these patients, improving LLT is expected to have a dramatic impact on cardiovascular event prevention.
降低低密脂蛋白胆固醇(LDL-c)水平的治疗(LLT)已被充分证实有益,因此临床指南降低了心血管预防目标。尽管如此,在 2 型糖尿病(T2D)患者的常规临床管理中,评估建议是否得到应用的真实世界研究(RWS)却少之又少。因此,我们在一项大型 RWS 中评估了意大利糖尿病专科诊所中 T2D 患者 LLT 使用情况和 LDL-c 目标达标率。
我们从 46 家糖尿病门诊(共随访 281381 例患者)中收集了数据,其中包括 104726 例 T2D 患者,确定他们在 2015 年至 2016 年期间使用 LLT 的情况。我们使用 2016 年和 2019 年欧洲动脉粥样硬化学会和欧洲心脏病学会(EAS-ESC)指南来定义心血管风险类别、LDL-c 目标以及通过强化 LLT 可实现的 LDL-c 降低和心血管获益。
63861 例患者(61.0%)正在接受他汀类药物治疗,其中 9.2%还同时服用依折麦布。几乎所有患者均处于高(29.3%)或极高(70.4%)心血管风险状态,包括 17%处于二级预防。在极高危患者中,尽管有一半患者 LDL-c>2.6mmol/L,但仍有 35%未使用他汀类药物,只有 15%使用他汀类药物的患者 LDL-c<1.4mmol/L。83%处于二级预防的患者正在使用他汀类药物,但其中一半患者 LDL-c>1.8mmol/L。总体而言,分别有 35%和 14%的患者达到了 2016 年和 2019 年 EAS-ESC 指南建议的 LDL-c 目标。基于预期的治疗反应,我们估计整个人群中有 38%需要高强度他汀类药物(HI-他汀类药物),27%需要 HI-他汀类药物加依折麦布,27%需要添加前蛋白转化酶枯草溶菌素 9(PCSK9)抑制剂。这些 LLT 强化措施将使心血管事件发生率降低 32%,从每 100000 名患者/10 年 23511 例减少至 16022 例(发生率比值 0.68;95%置信区间 0.67-0.70,p<0.001)。
尽管在过去几十年中 T2D 患者使用 LLT 的比例有所增加,但仍有很大一部分 T2D 患者未达到 LDL-c 目标。鉴于这些患者的心血管风险极高,改善 LLT 有望对心血管事件预防产生重大影响。