Suppr超能文献

改良口咽气道在使用纤维支气管镜和视频探条进行气管插管中的效用:一项使用人体模型的随机交叉试验。

Utility of a Modified Oropharyngeal Airway for Performing Tracheal Intubation Using a Fiberoptic Bronchoscope and Video Stylet: A Randomized Crossover Trial Using a Manikin.

作者信息

Lee Jang Hee, Na Ji Ung, Shin Dong Hyuk, Choi Pil Cho, Park Sang O, Kim Won Jae, Han Sang Kuk

机构信息

Department of Emergency Medicine, Kangbuk Samsung Hospital, Sungkyunkwan University School of Medicine, Seoul, Republic of Korea.

Department of Emergency Medicine, School of Medicine, Konkuk University, Konkuk University Medical Centre, Seoul, Republic of Korea.

出版信息

Emerg Med Int. 2020 Oct 29;2020:3017297. doi: 10.1155/2020/3017297. eCollection 2020.

Abstract

PURPOSE

The purpose of this study was to assess if a modified airway (MA), developed by the authors, would act as a guide and improve the performance of intubation when used with a video stylet (VS) or fiberoptic bronchoscope (FOB) for endotracheal intubation.

METHODS

This randomized crossover simulation study using manikins was conducted with 36 novice operators. Time to complete intubation, time to see the glottis, and success rate of intubation of each device were measured and compared with or without use of MA.

RESULTS

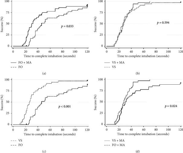
For intubation using FOB with MA, the median time to complete intubation significantly reduced from 46 to 31 seconds with a medium effect size (=0.004,  = 0.483), and the median time to see the glottis significantly reduced from 7 to 5 seconds with a medium effect size (=0.032,  = 0.357). The overall success rate was not statistically different between FOB with MA (33/36, 91.7%) and FOB alone (31/36, 86.1%); however, the cumulative success rate over time for FOB with MA was higher than that for FOB alone (=0.333). For intubation using VS, there were no differences in the time to see the glottis and time to complete intubation between VS with MA and VS alone (=0.065 and =0.926, respectively), and the cumulative success rate was not statistically significant (=0.594).

CONCLUSION

Adjunct use of MA helped reduce time to complete intubation in FOB, but not in VS. If an inexperienced operator uses FOB, it would be helpful to use MA as an adjunct device.

摘要

目的

本研究旨在评估作者研发的改良气道(MA)与视频喉镜(VS)或纤维支气管镜(FOB)联合用于气管插管时,是否能起到引导作用并提高插管操作的成功率。

方法

本研究采用随机交叉模拟研究,使用人体模型,纳入36名新手操作者。测量并比较了使用或不使用MA时,每种设备完成插管的时间、看到声门的时间以及插管成功率。

结果

对于使用带有MA的FOB进行插管,完成插管的中位时间从46秒显著缩短至31秒,效应量中等(=0.004,=0.483),看到声门的中位时间从7秒显著缩短至5秒,效应量中等(=0.032,=0.357)。使用带有MA的FOB时的总体成功率(33/36,91.7%)与单独使用FOB时(31/36,86.1%)在统计学上无显著差异;然而,使用带有MA的FOB随时间推移的累积成功率高于单独使用FOB(=0.333)。对于使用VS进行插管,使用带有MA的VS和单独使用VS时看到声门的时间以及完成插管的时间无差异(分别为=0.065和=0.926),累积成功率在统计学上无显著差异(=0.594)。

结论

辅助使用MA有助于缩短使用FOB时完成插管的时间,但对VS无此作用。如果经验不足的操作者使用FOB,将MA作为辅助设备会有所帮助。

https://cdn.ncbi.nlm.nih.gov/pmc/blobs/80b0/7644329/ebeea41f257b/EMI2020-3017297.001.jpg

文献检索

告别复杂PubMed语法,用中文像聊天一样搜索,搜遍4000万医学文献。AI智能推荐,让科研检索更轻松。

立即免费搜索

文件翻译

保留排版,准确专业,支持PDF/Word/PPT等文件格式,支持 12+语言互译。

免费翻译文档

深度研究

AI帮你快速写综述,25分钟生成高质量综述,智能提取关键信息,辅助科研写作。

立即免费体验