Suppr超能文献

CAM-ICU-7 和 ICDSC 作为评估危重症成年患者谵妄严重程度的工具。

The CAM-ICU-7 and ICDSC as measures of delirium severity in critically ill adult patients.

机构信息

Department of Critical Care Medicine, Cumming School of Medicine, University of Calgary, Calgary, Canada.

Department of Community Health Sciences and O'Brien Institute for Public Health, Cumming School of Medicine, University of Calgary, Calgary, AB, Canada.

出版信息

PLoS One. 2020 Nov 16;15(11):e0242378. doi: 10.1371/journal.pone.0242378. eCollection 2020.

Abstract

BACKGROUND

In clinical practice, a dichotomous approach to delirium identification may no longer be relevant when existing delirium screening tools measure a range of scores. The objective of this study was to compare the Confusion Assessment Method for the Intensive Care Unit 7-item (CAM-ICU-7) and the Intensive Care Delirium Screening Checklist (ICDSC) as measures of the spectrum of delirium severity in critically ill adult patients.

METHODS

In this cross-sectional study, 218 patients underwent 641 paired assessments by bedside nurses (ICDSC, as per usual care) and trained research assistants (CAM-ICU-7). Correlation between the CAM-ICU-7 and ICDSC scores was evaluated. Logistic regression was used to explore associations between CAM-ICU-7 or ICDSC score and length of ICU stay and mechanical ventilation (receipt, ≥96 hours).

RESULTS

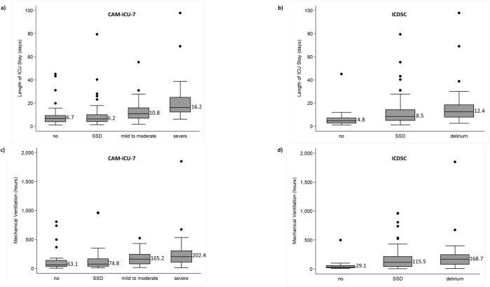
Delirium prevalence evaluated by the CAM-ICU-7 and ICDSC were 46.3% (95% CI:39.7-53.0) and 34.4% (95% CI:28.3-41.0). Prevalence of less than clinical threshold symptoms of delirium evaluated by the CAM-ICU-7 (score: 1-2) and ICDSC (score: 1-3) were 30.3% (95%CI:24.5-36.7) and 50.9% (95%CI:44.3-57.6). The CAM-ICU-7 and ICDSC had significant positive correlation (0.58, p<0.001). Agreement between the tools as measures of delirium was moderate (kappa = 0.51) and as measures of less than clinical threshold symptoms of delirium was fair (kappa = 0.21). Less than clinical threshold symptoms of delirium identified by the ICDSC, not CAM-ICU-7, were associated with prolonged length of ICU stay (≥7 days) in patients <65 years of age [Odds Ratio (OR) 9.2, 95% CI:2.5-34.0] and mechanical ventilation (receipt: OR 2.8, 95% CI:1.3-6.4; ≥96 hours: OR 6.6, 95% CI:1.9-22.9), when compared to patients with no delirium.

CONCLUSIONS

The CAM-ICU-7 and ICDSC are measures of the spectrum of delirium severity that are closely correlated. Less than clinical threshold symptoms of delirium measure by the ICDSC is a better predictor of outcomes, when compared with the CAM-ICU-7.

摘要

背景

在临床实践中,当现有的谵妄筛查工具测量一系列分数时,对谵妄的二分法识别可能不再相关。本研究的目的是比较意识模糊评估法-重症监护病房 7 项(CAM-ICU-7)和重症监护谵妄筛查检查表(ICDSC)在评估危重症成年患者谵妄严重程度谱方面的作用。

方法

在这项横断面研究中,218 名患者接受了 641 次由床边护士(根据常规护理进行的 ICDSC)和经过培训的研究助理(CAM-ICU-7)进行的配对评估。评估了 CAM-ICU-7 和 ICDSC 评分之间的相关性。使用逻辑回归来探讨 CAM-ICU-7 或 ICDSC 评分与 ICU 住院时间和机械通气(接受,≥96 小时)之间的关联。

结果

CAM-ICU-7 和 ICDSC 评估的谵妄患病率分别为 46.3%(95%CI:39.7-53.0)和 34.4%(95%CI:28.3-41.0)。CAM-ICU-7(评分:1-2)和 ICDSC(评分:1-3)评估的轻度谵妄症状患病率分别为 30.3%(95%CI:24.5-36.7)和 50.9%(95%CI:44.3-57.6)。CAM-ICU-7 和 ICDSC 呈显著正相关(0.58,p<0.001)。两种工具作为谵妄评估工具的一致性为中度(kappa=0.51),作为轻度谵妄症状评估工具的一致性为轻度(kappa=0.21)。与无谵妄的患者相比,ICDSC 而非 CAM-ICU-7 识别的轻度谵妄症状与<65 岁患者 ICU 住院时间延长(≥7 天)(优势比(OR)9.2,95%CI:2.5-34.0)和机械通气(接受:OR 2.8,95%CI:1.3-6.4;≥96 小时:OR 6.6,95%CI:1.9-22.9)相关。

结论

CAM-ICU-7 和 ICDSC 是评估谵妄严重程度谱的工具,两者密切相关。与 CAM-ICU-7 相比,ICDSC 测量的轻度谵妄症状是预测结果的更好指标。

https://cdn.ncbi.nlm.nih.gov/pmc/blobs/6672/7668609/c435d399ab29/pone.0242378.g001.jpg

文献检索

告别复杂PubMed语法,用中文像聊天一样搜索,搜遍4000万医学文献。AI智能推荐,让科研检索更轻松。

立即免费搜索

文件翻译

保留排版,准确专业,支持PDF/Word/PPT等文件格式,支持 12+语言互译。

免费翻译文档

深度研究

AI帮你快速写综述,25分钟生成高质量综述,智能提取关键信息,辅助科研写作。

立即免费体验