Suppr超能文献

使用自适应设备对有行走障碍的多发性硬化症患者进行高强度间歇训练的可行性和初步疗效:单组可行性试验研究方案。

Feasibility and initial efficacy of a high-intensity interval training program using adaptive equipment in persons with multiple sclerosis who have walking disability: study protocol for a single-group, feasibility trial.

机构信息

Department of Kinesiology, Berry College, Mount Berry, GA, USA.

Department of Physical Therapy, University of Alabama at Birmingham, Birmingham, AL, USA.

出版信息

Trials. 2020 Nov 25;21(1):972. doi: 10.1186/s13063-020-04887-x.

Abstract

BACKGROUND

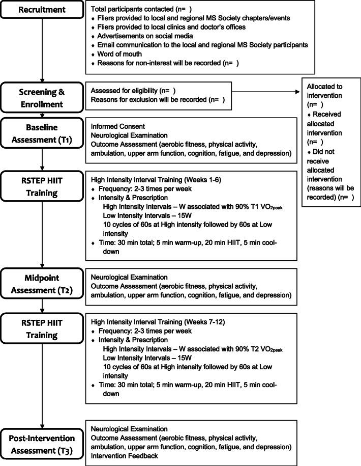
There is considerable evidence for the efficacy of moderate-intensity continuous exercise benefitting clinically relevant outcomes in persons with multiple sclerosis (MS). However, persons with MS who have walking disability (pwMS-wd) are severely deconditioned and may achieve superior benefits by engaging in high-intensity interval training (HIIT), especially while utilizing adaptive equipment, such as recumbent arm/leg stepping (RSTEP). The proposed study will assess the feasibility of a 12-week, RSTEP HIIT program in pwMS-wd. The secondary aim will examine changes in aerobic fitness, physical activity, ambulation, upper arm function, cognition, fatigue, and depression as clinically relevant efficacy outcomes following the 12-week, RSTEP HIIT intervention.

METHODS

The study will recruit 15 pwMS-wd. Feasibility will be measured via process, resource, management, and scientific outcomes throughout the entirety of the research study. The secondary, clinically relevant outcomes will consist of a neurological exam, aerobic capacity, physical activity, ambulation, cognition, upper arm function, fatigue, and depression. Outcomes will be assessed at baseline (T1), midpoint (T2, following 6 weeks), and post-intervention (T3, following 12 weeks). The intervention will involve 12 weeks of supervised, individualized HIIT sessions two to three times per week. The individual HIIT sessions will each involve 10 cycles of 60-s intervals at the wattage associated with 90% VO followed by 60 s of active recovery intervals at 15 W, totaling 20 min in length plus 5-min warm-up and cool-down periods.

DISCUSSION

The feasibility design of the proposed study will provide experience and preliminary data for advancing towards a proof-of-concept study comparing HIIT to moderate-intensity continuous RSTEP for improving clinically relevant outcomes in a randomized control trial design. The results will be disseminated via manuscripts for publication and a report for distribution among the National Multiple Sclerosis Society.

TRIAL REGISTRATION

ClinicalTrials.gov NCT04416243 . Retrospectively registered on June 4, 2020.

摘要

背景

有相当多的证据表明,中等强度的连续运动有益于多发性硬化症(MS)患者的临床相关结果。然而,有行走障碍(pwMS-wd)的 MS 患者身体状况严重下降,通过进行高强度间歇训练(HIIT),尤其是在使用诸如卧式手臂/腿部踏步(RSTEP)等适应性设备时,可能会获得更好的效果。拟议的研究将评估在 pwMS-wd 中进行 12 周 RSTEP HIIT 计划的可行性。次要目标将检查在 12 周 RSTEP HIIT 干预后,有氧健身、身体活动、行走、上臂功能、认知、疲劳和抑郁等作为临床相关疗效结果的变化。

方法

该研究将招募 15 名 pwMS-wd。在整个研究过程中,通过过程、资源、管理和科学结果来衡量可行性。次要的临床相关结果将包括神经学检查、有氧能力、身体活动、行走、认知、上臂功能、疲劳和抑郁。在基线(T1)、中点(T2,在 6 周后)和干预后(T3,在 12 周后)进行评估。干预将包括 12 周的监督、个体化的 HIIT 课程,每周两到三次。每次个体 HIIT 课程将包括 10 个 60 秒的间隔周期,功率为 90% VO2 最大值,然后进行 60 秒的主动恢复期,功率为 15 W,总时长为 20 分钟,加上 5 分钟的热身和冷却期。

讨论

拟议研究的可行性设计将为推进一项比较 HIIT 与中强度连续 RSTEP 改善随机对照试验设计中临床相关结果的概念验证研究提供经验和初步数据。结果将通过论文发表和向国家多发性硬化症协会分发报告进行传播。

试验注册

ClinicalTrials.gov NCT04416243。于 2020 年 6 月 4 日回顾性注册。

https://cdn.ncbi.nlm.nih.gov/pmc/blobs/cc01/7687792/9b09485cb23c/13063_2020_4887_Fig1_HTML.jpg

文献检索

告别复杂PubMed语法,用中文像聊天一样搜索,搜遍4000万医学文献。AI智能推荐,让科研检索更轻松。

立即免费搜索

文件翻译

保留排版,准确专业,支持PDF/Word/PPT等文件格式,支持 12+语言互译。

免费翻译文档

深度研究

AI帮你快速写综述,25分钟生成高质量综述,智能提取关键信息,辅助科研写作。

立即免费体验