• 文献检索
  • 文档翻译
  • 深度研究
  • 学术资讯
  • Suppr Zotero 插件Zotero 插件
  • 邀请有礼
  • 套餐&价格
  • 历史记录
应用&插件
Suppr Zotero 插件Zotero 插件浏览器插件Mac 客户端Windows 客户端微信小程序
定价
高级版会员购买积分包购买API积分包
服务
文献检索文档翻译深度研究API 文档MCP 服务
关于我们
关于 Suppr公司介绍联系我们用户协议隐私条款
关注我们

Suppr 超能文献

核心技术专利:CN118964589B侵权必究
粤ICP备2023148730 号-1Suppr @ 2026

文献检索

告别复杂PubMed语法,用中文像聊天一样搜索,搜遍4000万医学文献。AI智能推荐,让科研检索更轻松。

立即免费搜索

文件翻译

保留排版,准确专业,支持PDF/Word/PPT等文件格式,支持 12+语言互译。

免费翻译文档

深度研究

AI帮你快速写综述,25分钟生成高质量综述,智能提取关键信息,辅助科研写作。

立即免费体验

红景天苷通过影响肺上皮细胞外泌体 miRNA-146a 的分泌来调节肺泡巨噬细胞的炎症通路。

Salidroside regulates inflammatory pathway of alveolar macrophages by influencing the secretion of miRNA-146a exosomes by lung epithelial cells.

机构信息

Emergency Department, The First Affiliated Hospital of Zhejiang Chinese Medical University, Hangzhou City, 310006, Zhejiang Province, China.

Department of Cardiology, The First Affiliated Hospital of Zhejiang Chinese Medical University, Hangzhou City, 310006, Zhejiang Province, China.

出版信息

Sci Rep. 2020 Nov 27;10(1):20750. doi: 10.1038/s41598-020-77448-6.

DOI:10.1038/s41598-020-77448-6
PMID:33247202
原文链接:https://pmc.ncbi.nlm.nih.gov/articles/PMC7695860/
Abstract

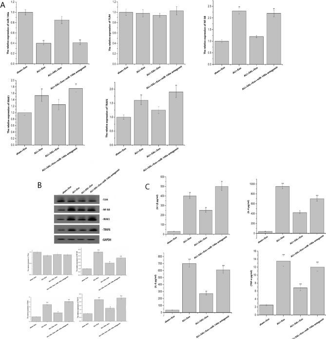
The purpose of this study was to explore the investigative mechanism of salidroside (SAL) on LPS-induced acute lung injury (ALI)/acute respiratory distress syndrome (ARDS). The exosomes from RLE-6TN are extracted and identified by transmission electron microscopy, particle size analysis and protein marker detection, and co-cultured with NR8383 cells. The ALI/ARDS model of SD rats was established by LPS (10 mg/kg) intratracheal instillation. Following a four-hour intratracheal instillation of LPS, 50 μl of RLE-6TN exosomes were injected through the tail vein. After that, SAL and miR-146a antagomir were injected into the tail vein for 72 h, respectively. As the changes of HE stain, body weight and ALI score are observed. The expression of miR-146a, TLR4, NF-kB, IRAK1, TRAF6 and their related proteins were detected by RT-PCR and Western blot, respectively. TNF-α, IL-6, IL-8 and IL-1 β inflammatory factors were detected by ELISA. The expression of miR-146a, NF-kB, IRAK, TRAF6 and related inflammatory factors in LPS-induced NR8383 was significantly higher than that in the control group, while SAL has greatly reduced the expression of TLR4 mediated NF-kB inflammatory pathway and related inflammatory factors. SAL can significantly improve the LPS-induced lung morphological abnormalities, slowed down the rate of weight loss in rats, and reducing the ALI score. The expression trend of NF-kB, IRAK, TRAF6 and related inflammatory factors in rats' lung tissues was consistent with that in NR8383 cells. SAL has a protective effect on ALI/ARDS caused by sepsis, which is likely to be developed to a potential treatment for the disease. To sum up, this study provides a new theoretical basis for the treatment of ALI/ARDS with SAL.

摘要

本研究旨在探讨红景天苷(SAL)对脂多糖(LPS)诱导的急性肺损伤(ALI)/急性呼吸窘迫综合征(ARDS)的作用机制。通过透射电子显微镜、粒径分析和蛋白标志物检测提取并鉴定 RLE-6TN 细胞来源的外泌体,并与 NR8383 细胞共培养。通过 LPS(10mg/kg)气管内滴注建立 SD 大鼠 ALI/ARDS 模型。LPS 气管内滴注 4 小时后,经尾静脉注入 50μl RLE-6TN 外泌体。随后,尾静脉分别注入 SAL 和 miR-146a 拮抗剂,共 72 小时。观察 HE 染色、体重和 ALI 评分的变化。采用 RT-PCR 和 Western blot 分别检测 miR-146a、TLR4、NF-κB、IRAK1、TRAF6 及其相关蛋白的表达。ELISA 法检测 TNF-α、IL-6、IL-8 和 IL-1β炎症因子。与对照组相比,LPS 诱导的 NR8383 中 miR-146a、NF-κB、IRAK、TRAF6 及其相关炎症因子的表达明显升高,而 SAL 则大大降低了 TLR4 介导的 NF-κB 炎症通路及其相关炎症因子的表达。SAL 能明显改善 LPS 诱导的肺形态学异常,减缓大鼠体重减轻率,降低 ALI 评分。大鼠肺组织中 NF-κB、IRAK、TRAF6 及相关炎症因子的表达趋势与 NR8383 细胞一致。SAL 对脓毒症引起的 ALI/ARDS 具有保护作用,可能为该疾病的治疗提供新的理论依据。综上所述,本研究为 SAL 治疗 ALI/ARDS 提供了新的理论依据。

https://cdn.ncbi.nlm.nih.gov/pmc/blobs/bef0/7695860/bf243605377f/41598_2020_77448_Fig4_HTML.jpg
https://cdn.ncbi.nlm.nih.gov/pmc/blobs/bef0/7695860/bc5ac47c0e5d/41598_2020_77448_Fig1_HTML.jpg
https://cdn.ncbi.nlm.nih.gov/pmc/blobs/bef0/7695860/d641a3c7e7e7/41598_2020_77448_Fig2_HTML.jpg
https://cdn.ncbi.nlm.nih.gov/pmc/blobs/bef0/7695860/a8ab85bfdf92/41598_2020_77448_Fig3_HTML.jpg
https://cdn.ncbi.nlm.nih.gov/pmc/blobs/bef0/7695860/bf243605377f/41598_2020_77448_Fig4_HTML.jpg
https://cdn.ncbi.nlm.nih.gov/pmc/blobs/bef0/7695860/bc5ac47c0e5d/41598_2020_77448_Fig1_HTML.jpg
https://cdn.ncbi.nlm.nih.gov/pmc/blobs/bef0/7695860/d641a3c7e7e7/41598_2020_77448_Fig2_HTML.jpg
https://cdn.ncbi.nlm.nih.gov/pmc/blobs/bef0/7695860/a8ab85bfdf92/41598_2020_77448_Fig3_HTML.jpg
https://cdn.ncbi.nlm.nih.gov/pmc/blobs/bef0/7695860/bf243605377f/41598_2020_77448_Fig4_HTML.jpg

相似文献

1
Salidroside regulates inflammatory pathway of alveolar macrophages by influencing the secretion of miRNA-146a exosomes by lung epithelial cells.红景天苷通过影响肺上皮细胞外泌体 miRNA-146a 的分泌来调节肺泡巨噬细胞的炎症通路。
Sci Rep. 2020 Nov 27;10(1):20750. doi: 10.1038/s41598-020-77448-6.
2
[Effects of salidroside on the secretion of inflammatory mediators induced by lipopolysaccharide in the co-culture of rat alveolar macrophages and type II alveolar epithelial cells].红景天苷对脂多糖诱导的大鼠肺泡巨噬细胞与Ⅱ型肺泡上皮细胞共培养体系中炎症介质分泌的影响
Sheng Li Xue Bao. 2019 Aug 25;71(4):575-580.
3
Knockdown of LncRNA MALAT1 contributes to the suppression of inflammatory responses by up-regulating miR-146a in LPS-induced acute lung injury.敲低长链非编码 RNA MALAT1 通过上调 LPS 诱导的急性肺损伤中的 miR-146a 来抑制炎症反应。
Connect Tissue Res. 2018 Nov;59(6):581-592. doi: 10.1080/03008207.2018.1439480. Epub 2018 Apr 13.
4
Upregulation of miR-146a contributes to the suppression of inflammatory responses in LPS-induced acute lung injury.miR-146a的上调有助于抑制脂多糖诱导的急性肺损伤中的炎症反应。
Exp Lung Res. 2013 Sep;39(7):275-82. doi: 10.3109/01902148.2013.808285. Epub 2013 Jul 12.
5
Exosomes Derived From Alveolar Epithelial Cells Promote Alveolar Macrophage Activation Mediated by miR-92a-3p in Sepsis-Induced Acute Lung Injury.肺泡上皮细胞来源的外泌体通过miR-92a-3p介导促进脓毒症诱导的急性肺损伤中肺泡巨噬细胞的激活。
Front Cell Infect Microbiol. 2021 May 10;11:646546. doi: 10.3389/fcimb.2021.646546. eCollection 2021.
6
Niaodukang mixture inhibits micro-inflammation in CKD rats by enhancing MiR-146a levels in enterogenous exosomes.尿毒康合剂通过增强肠源性外泌体 miR-146a 水平抑制 CKD 大鼠的微炎症反应。
J Ethnopharmacol. 2024 Oct 5;332:118318. doi: 10.1016/j.jep.2024.118318. Epub 2024 May 14.
7
BMSC-Derived Exosomes Ameliorate LPS-Induced Acute Lung Injury by miR-384-5p-Controlled Alveolar Macrophage Autophagy.骨髓间充质干细胞来源的外泌体通过 miR-384-5p 调控肺泡巨噬细胞自噬改善脂多糖诱导的急性肺损伤。
Oxid Med Cell Longev. 2021 Jun 13;2021:9973457. doi: 10.1155/2021/9973457. eCollection 2021.
8
Lung epithelial cell-derived IL-25 negatively regulates LPS-induced exosome release from macrophages.肺上皮细胞衍生的白细胞介素 25 负调控脂多糖诱导的巨噬细胞外泌体释放。
Mil Med Res. 2018 Jul 30;5(1):24. doi: 10.1186/s40779-018-0173-6.
9
Circ-phkb promotes cell apoptosis and inflammation in LPS-induced alveolar macrophages via the TLR4/MyD88/NF-kB/CCL2 axis.环状磷酸化组蛋白 B 通过 TLR4/MyD88/NF-kB/CCL2 轴促进脂多糖诱导的肺泡巨噬细胞细胞凋亡和炎症反应。
Respir Res. 2024 Jan 29;25(1):62. doi: 10.1186/s12931-024-02677-6.
10
[Protective effect of synthetic salidroside on acute lung injury in rats].[合成红景天苷对大鼠急性肺损伤的保护作用]
Sheng Li Xue Bao. 2017 Jun 25;69(3):291-297.

引用本文的文献

1
Emodin Alleviates Acute Pancreatitis-Associated Acute Lung Injury by Inhibiting Serum Exosomal miRNA-21-3p-Induced M1 Alveolar Macrophage Polarisation.大黄素通过抑制血清外泌体miRNA-21-3p诱导的M1型肺泡巨噬细胞极化减轻急性胰腺炎相关的急性肺损伤。
J Cell Mol Med. 2025 Aug;29(16):e70758. doi: 10.1111/jcmm.70758.
2
Advances in anti-inflammatory treatment of sepsis-associated acute respiratory distress syndrome.脓毒症相关急性呼吸窘迫综合征抗炎治疗的进展
Inflamm Res. 2025 Apr 29;74(1):74. doi: 10.1007/s00011-025-02043-2.
3
Macrophages in sepsis-induced acute lung injury: exosomal modulation and therapeutic potential.

本文引用的文献

1
[Effects of salidroside on the secretion of inflammatory mediators induced by lipopolysaccharide in the co-culture of rat alveolar macrophages and type II alveolar epithelial cells].红景天苷对脂多糖诱导的大鼠肺泡巨噬细胞与Ⅱ型肺泡上皮细胞共培养体系中炎症介质分泌的影响
Sheng Li Xue Bao. 2019 Aug 25;71(4):575-580.
2
The chemokine receptor CCR1 is identified in mast cell-derived exosomes.趋化因子受体CCR1在肥大细胞衍生的外泌体中被鉴定出来。
Am J Transl Res. 2018 Feb 15;10(2):352-367. eCollection 2018.
3
Lung Epithelial Cell-Derived Microvesicles Regulate Macrophage Migration via MicroRNA-17/221-Induced Integrin β Recycling.
脓毒症诱导的急性肺损伤中的巨噬细胞:外泌体调节作用及治疗潜力
Front Immunol. 2025 Jan 7;15:1518008. doi: 10.3389/fimmu.2024.1518008. eCollection 2024.
4
Macrophage‑driven pathogenesis in acute lung injury/acute respiratory disease syndrome: Harnessing natural products for therapeutic interventions (Review).巨噬细胞驱动的急性肺损伤/急性呼吸窘迫综合征发病机制:利用天然产物进行治疗干预(综述)。
Mol Med Rep. 2025 Jan;31(1). doi: 10.3892/mmr.2024.13381. Epub 2024 Nov 8.
5
Macrophage plasticity: signaling pathways, tissue repair, and regeneration.巨噬细胞可塑性:信号通路、组织修复与再生
MedComm (2020). 2024 Aug 1;5(8):e658. doi: 10.1002/mco2.658. eCollection 2024 Aug.
6
miR-141-3p attenuates inflammation and oxidative stress-induced pulmonary fibrosis in ARDS via the Keap1/Nrf2/ARE signaling pathway.miR-141-3p 通过 Keap1/Nrf2/ARE 信号通路减轻 ARDS 中炎症和氧化应激诱导的肺纤维化。
Immunol Res. 2024 Oct;72(5):1003-1017. doi: 10.1007/s12026-024-09503-7. Epub 2024 Jun 12.
7
Exosomal MicroRNAs: An Emerging Important Regulator in Acute Lung Injury.外泌体微小RNA:急性肺损伤中一种新兴的重要调节因子。
ACS Omega. 2023 Sep 22;8(39):35523-35537. doi: 10.1021/acsomega.3c04955. eCollection 2023 Oct 3.
8
Hepatocyte-derived exosomal miR-146a-5p inhibits hepatic stellate cell EMT process: a crosstalk between hepatocytes and hepatic stellate cells.肝细胞衍生的外泌体miR-146a-5p抑制肝星状细胞上皮-间质转化过程:肝细胞与肝星状细胞之间的相互作用
Cell Death Discov. 2023 Aug 19;9(1):304. doi: 10.1038/s41420-023-01602-y.
9
Mechanisms of Qingyi Decoction in Severe Acute Pancreatitis-Associated Acute Lung Injury via Gut Microbiota: Targeting the Short-Chain Fatty Acids-Mediated AMPK/NF-κB/NLRP3 Pathway. Qingyi decoction 在重症急性胰腺炎相关性急性肺损伤中的作用机制:靶向短链脂肪酸介导的 AMPK/NF-κB/NLRP3 通路。
Microbiol Spectr. 2023 Aug 17;11(4):e0366422. doi: 10.1128/spectrum.03664-22. Epub 2023 Jun 20.
10
Traditional Chinese medicine for treatment of sepsis and related multi-organ injury.用于治疗脓毒症及相关多器官损伤的中药。
Front Pharmacol. 2023 Jan 19;14:1003658. doi: 10.3389/fphar.2023.1003658. eCollection 2023.
肺上皮细胞衍生的微泡通过微小RNA-17/221诱导的整合素β再循环调节巨噬细胞迁移。
J Immunol. 2017 Aug 15;199(4):1453-1464. doi: 10.4049/jimmunol.1700165. Epub 2017 Jul 3.
4
[Effects of salidroside on the secretion of inflammatory mediators induced by lipopolysaccharide in murine macrophage cell line J774.1].红景天苷对脂多糖诱导小鼠巨噬细胞系J774.1分泌炎性介质的影响
Sheng Li Xue Bao. 2017 Feb 25;69(1):41-46.
5
Exosomes: What Do We Love So Much About Them?外泌体:我们为何如此钟爱它们?
Circ Res. 2016 Dec 9;119(12):1280-1282. doi: 10.1161/CIRCRESAHA.116.309942.
6
Epithelial cell-derived microvesicles activate macrophages and promote inflammation via microvesicle-containing microRNAs.上皮细胞衍生的微泡通过含微泡的微小RNA激活巨噬细胞并促进炎症反应。
Sci Rep. 2016 Oct 12;6:35250. doi: 10.1038/srep35250.
7
Exosomes bind to autotaxin and act as a physiological delivery mechanism to stimulate LPA receptor signalling in cells.外泌体与自分泌运动因子结合,并作为一种生理传递机制来刺激细胞中的溶血磷脂酸(LPA)受体信号传导。
J Cell Sci. 2016 Oct 15;129(20):3948-3957. doi: 10.1242/jcs.184424. Epub 2016 Aug 24.
8
Epidermal Growth Factor Receptor in Prostate Cancer Derived Exosomes.前列腺癌衍生外泌体中的表皮生长因子受体
PLoS One. 2016 May 6;11(5):e0154967. doi: 10.1371/journal.pone.0154967. eCollection 2016.
9
Interferon Regulatory Factor-1 Mediates Alveolar Macrophage Pyroptosis During LPS-Induced Acute Lung Injury in Mice.干扰素调节因子-1在小鼠脂多糖诱导的急性肺损伤中介导肺泡巨噬细胞焦亡
Shock. 2016 Sep;46(3):329-38. doi: 10.1097/SHK.0000000000000595.
10
Lung epithelial cell-derived extracellular vesicles activate macrophage-mediated inflammatory responses via ROCK1 pathway.肺上皮细胞衍生的细胞外囊泡通过ROCK1途径激活巨噬细胞介导的炎症反应。
Cell Death Dis. 2015 Dec 10;6(12):e2016. doi: 10.1038/cddis.2015.282.