Suppr超能文献

三氟咪唑作为新型独脚金内酯生物合成抑制剂的先导化合物。

Triflumizole as a Novel Lead Compound for Strigolactone Biosynthesis Inhibitor.

机构信息

Department of Bioscience, Tokyo University of Agriculture, Setagaya, Tokyo 156-8502, Japan.

Graduate School of Agricultural and Life Sciences, The University of Tokyo, Bunkyo, Tokyo 113-8657, Japan.

出版信息

Molecules. 2020 Nov 25;25(23):5525. doi: 10.3390/molecules25235525.

Abstract

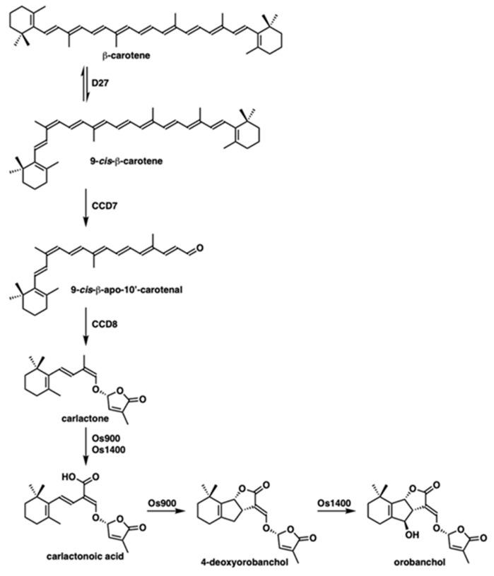
Strigolactones (SLs) are carotenoid-derived plant hormones involved in the development of various plants. SLs also stimulate seed germination of the root parasitic plants, spp. and spp., which reduce crop yield. Therefore, regulating SL biosynthesis may lessen the damage of root parasitic plants. Biosynthetic inhibitors effectively control biological processes by targeted regulation of biologically active compounds. In addition, biosynthetic inhibitors regulate endogenous levels in developmental stage- and tissue-specific manners. To date, although some chemicals have been found as SL biosynthesis inhibitor, these are derived from only three lead chemicals. In this study, to find a novel lead chemical for SL biosynthesis inhibitor, 27 nitrogen-containing heterocyclic derivatives were screened for inhibition of SL biosynthesis. Triflumizole most effectively reduced the levels of rice SL, 4-deoxyorobanchol (4DO), in root exudates. In addition, triflumizole inhibited endogenous 4DO biosynthesis in rice roots by inhibiting the enzymatic activity of Os900, a rice enzyme that converts the SL intermediate carlactone to 4DO. A germination assay revealed that triflumizole-treated rice displayed a reduced level of germination stimulation for . These results identify triflumizole as a novel lead compound for inhibition of SL biosynthesis.

摘要

独脚金内酯(SLs)是一种类胡萝卜素衍生的植物激素,参与多种植物的发育。SLs 还刺激根寄生植物独脚金和列当的种子发芽,从而降低作物产量。因此,调节 SL 生物合成可能会减轻根寄生植物的危害。生物合成抑制剂通过对生物活性化合物的靶向调节,有效地控制生物过程。此外,生物合成抑制剂以发育阶段和组织特异性的方式调节内源性水平。迄今为止,尽管已经发现了一些化学物质作为 SL 生物合成抑制剂,但这些抑制剂仅源自三种先导化学物质。在这项研究中,为了寻找 SL 生物合成抑制剂的新型先导化学物质,对 27 种含氮杂环衍生物进行了筛选,以抑制 SL 生物合成。三氟咪唑最有效地降低了水稻 SL、4-去氧独脚金醇(4DO)在根分泌物中的水平。此外,三氟咪唑通过抑制水稻中 Os900 的酶活性,抑制 SL 中间产物 carlactone 向 4DO 的转化,从而抑制内源 4DO 的生物合成。萌发试验表明,三氟咪唑处理的水稻对 萌发的刺激作用降低。这些结果表明三氟咪唑是抑制 SL 生物合成的新型先导化合物。

https://cdn.ncbi.nlm.nih.gov/pmc/blobs/b62a/7728069/b1555f214d84/molecules-25-05525-g001.jpg

文献AI研究员

20分钟写一篇综述,助力文献阅读效率提升50倍。

立即体验

用中文搜PubMed

大模型驱动的PubMed中文搜索引擎

马上搜索

文档翻译

学术文献翻译模型,支持多种主流文档格式。

立即体验