Suppr超能文献

“GER - e - TEC”实验结果:该实验涉及使用自动化平台检测老年综合征的恶化情况。

Results of the "GER-e-TEC" Experiment Involving the Use of an Automated Platform to Detect the Exacerbation of Geriatric Syndromes.

作者信息

Zulfiqar Abrar-Ahmad, Vaudelle Orianne, Hajjam Mohamed, Geny Bernard, Talha Samy, Letourneau Dominique, Hajjam Jawad, Erve Sylvie, Hajjam El Hassani Amir, Andrès Emmanuel

机构信息

Service de Médecine Interne, Diabète et Maladies Métaboliques de la Clinique Médicale B, Hôpitaux Universitaires de Strasbourg et Equipe EA 3072 "Mitochondrie, Stress Oxydant et Protection Musculaire", Faculté de Médecine-Université de Strasbourg, 67000 Strasbourg, France.

Predimed Technology Society, 67300 Schiltigheim, France.

出版信息

J Clin Med. 2020 Nov 26;9(12):3836. doi: 10.3390/jcm9123836.

Abstract

INTRODUCTION

Telemedicine is believed to be helpful in managing patients suffering from chronic diseases, in particular elderly patients with numerous accompanying conditions. This was the basis for the "GERIATRICS and e-Technology (GER-e-TEC) study", which was an experiment involving the use of the smart MyPredi™ e-platform to automatically detect the exacerbation of geriatric syndromes.

METHODS

The MyPredi™ platform is connected to a medical analysis system that receives physiological data from medical sensors in real time and analyzes this data to generate (when necessary) alerts. These alerts are issued in the event that the health of a patient deteriorates due to an exacerbation of their chronic diseases. An experiment was conducted between 24 September 2019 and 24 November 2019 to test this alert system. During this time, the platform was used on patients being monitored in an internal medicine unit at the University Hospital of Strasbourg. The alerts were compiled and analyzed in terms of sensitivity, specificity, and positive and negative predictive values with respect to clinical data. The results of the experiment are provided below.

RESULTS

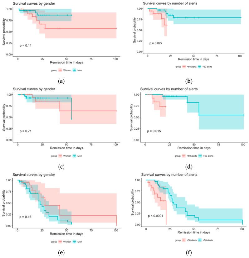
A total of 36 patients were monitored remotely, 21 of whom were male. The mean age of the patients was 81.4 years. The patients used the telemedicine solution for an average of 22.1 days. The telemedicine solution took a total of 147,703 measurements while monitoring the geriatric risks of the entire patient group. An average of 226 measurements were taken per patient per day. The telemedicine solution generated a total of 1611 alerts while assessing the geriatric risks of the entire patient group. For each geriatric risk, an average of 45 alerts were emitted per patient, with 16 of these alerts classified as "low", 12 classified as "medium", and 20 classified as "critical". In terms of sensitivity, the results were 100% for all geriatric risks and extremely satisfactory in terms of positive and negative predictive values. In terms of survival analysis, the number of alerts had an impact on the duration of hospitalization due to decompensated heart failure, a deterioration in the general condition, and other reasons.

CONCLUSION

The MyPredi™ telemedicine system allows the generation of automatic, non-intrusive alerts when the health of a patient deteriorates due to risks associated with geriatric syndromes.

摘要

引言

远程医疗被认为有助于管理慢性病患者,尤其是患有多种伴随疾病的老年患者。这是“老年医学与电子技术(GER-e-TEC)研究”的基础,该研究是一项涉及使用智能MyPredi™电子平台自动检测老年综合征恶化情况的实验。

方法

MyPredi™平台连接到一个医学分析系统,该系统实时接收来自医疗传感器的生理数据并对其进行分析,以便在必要时生成警报。当患者因慢性病恶化导致健康状况下降时,会发出这些警报。2019年9月24日至2019年11月24日进行了一项实验来测试此警报系统。在此期间,该平台用于斯特拉斯堡大学医院内科病房接受监测的患者。根据临床数据,对警报进行了敏感性、特异性以及阳性和阴性预测值方面的汇总和分析。实验结果如下。

结果

总共对36名患者进行了远程监测,其中21名男性。患者的平均年龄为81.4岁。患者平均使用远程医疗解决方案22.1天。在监测整个患者群体的老年风险时,远程医疗解决方案总共进行了147,703次测量。每位患者每天平均进行226次测量。在评估整个患者群体的老年风险时,远程医疗解决方案总共生成了1611次警报。对于每种老年风险,每位患者平均发出45次警报,其中16次警报被分类为“低”,12次分类为“中”,20次分类为“危急”。在敏感性方面,所有老年风险的结果均为100%,在阳性和阴性预测值方面非常令人满意。在生存分析方面,警报数量对因失代偿性心力衰竭、一般状况恶化及其他原因导致的住院时间有影响。

结论

MyPredi™远程医疗系统能够在患者因老年综合征相关风险导致健康状况恶化时生成自动、非侵入性警报。

https://cdn.ncbi.nlm.nih.gov/pmc/blobs/5857/7761279/0f176b70a00f/jcm-09-03836-g001.jpg

文献AI研究员

20分钟写一篇综述,助力文献阅读效率提升50倍。

立即体验

用中文搜PubMed

大模型驱动的PubMed中文搜索引擎

马上搜索

文档翻译

学术文献翻译模型,支持多种主流文档格式。

立即体验