Suppr超能文献

血浆基质金属蛋白酶及其组织抑制剂水平与肺结核患者不良治疗结局的相关性。

Association of Plasma Matrix Metalloproteinase and Tissue Inhibitors of Matrix Metalloproteinase Levels With Adverse Treatment Outcomes Among Patients With Pulmonary Tuberculosis.

机构信息

National Institutes of Health-National Institute for Research in Tuberculosis-International Center for Excellence in Research, Chennai, India.

National Institute for Research in Tuberculosis, Chennai, India.

出版信息

JAMA Netw Open. 2020 Dec 1;3(12):e2027754. doi: 10.1001/jamanetworkopen.2020.27754.

Abstract

IMPORTANCE

Identifying biomarkers of treatment response is an urgent need in the treatment of tuberculosis (TB). Matrix metalloproteinases (MMPs) and tissue inhibitors of matrix metalloproteinases (TIMPs) are potential diagnostic biomarkers in pulmonary TB (PTB).

OBJECTIVE

To assess whether baseline plasma levels of MMPs and TIMPs are also prognostic biomarkers for adverse treatment outcomes in patients with PTB.

DESIGN, SETTING, AND PARTICIPANTS: Two different cohorts (test and validation) of individuals with PTB were recruited from 2 different sets of primary care centers in Chennai, India, and were followed up for treatment outcomes. Participants were individuals with newly diagnosed TB that was sputum smear and culture positive and drug sensitive. A total of 68 cases and 133 controls were in the test cohort and 20 cases and 40 controls were in the validation cohort. A nested case-control study was performed by matching case patients to control participants in a 1:2 ratio for age, sex, and body mass index. Data for the test cohort was taken from a study performed from 2014 to 2019, and data for the validation cohort, from a study performed from 2008 to 2012. The data analysis was performed from November 2019 to May 2020.

INTERVENTIONS

Individuals with PTB were treated with antituberculosis chemotherapy for 6 months and followed up for 1 year after completion of treatment.

MAIN OUTCOMES AND MEASURES

Individuals with PTB with adverse outcomes (treatment failure, all-cause mortality, or recurrent TB) were defined as cases and those with favorable outcomes (recurrence-free cure) were defined as controls. Plasma levels of MMPs and TIMPs were measured before treatment as potential biomarkers.

RESULTS

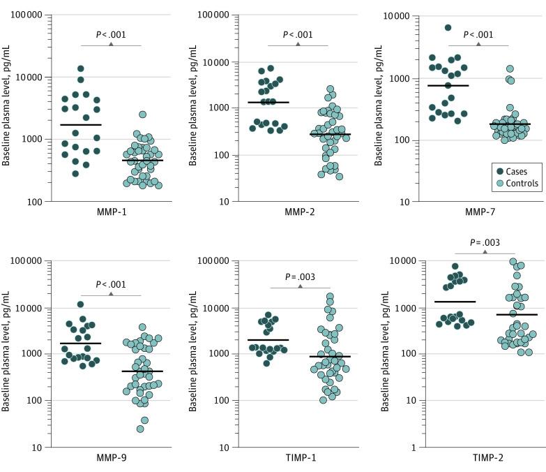
In all, 68 cases and 133 matched controls were enrolled in the study (170 [85%] males and 31 [15%] females; median age, 45 years [range, 23-73 years]) in the test cohort and 20 cases with 40 matched controls (51 [85%] males and 9 [15%] females; median age, 45 years [range, 19-61 years]) in the validation cohort. Baseline plasma levels of 5 MMPs and 2 TIMPs in the test cohort and 5 MMPs and all 4 TIMPS in the validation cohort were significantly higher in cases vs controls. In the test cohort, the geometric means (GMs), cases vs controls, were as follows: for MMP-1, 3680 vs 2484 pg/mL (P = .008); for MMP-2, 6523 vs 4762 pg/mL (P < .001); for MMP-7, 3346 vs 2100 pg/mL (P < .001); for MMP-8, 1915 vs 1066 pg/mL (P < .001); for MMP-9, 2774 vs 2336 pg/mL (P = .009); for TIMP-1, 4491 vs 2910 pg/mL (P < .001); and for TIMP-2, 3082 vs 2115 pg/mL (P < .001). In the validation cohort, the GMs, cases vs controls were as follows: for MMP-1, 3680 vs 2484 pg/mL (P < .001); for MMP-2, 6523 vs 4762 pg/mL (P < .001); for MMP-7, 3346 vs 2100 pg/mL (P < .001); for MMP-9, 1915 vs 1066 pg/mL (P < .001); for MMP-13, 2774 vs 2336 pg/mL (P < .001); for TIMP-1, 4491 vs 2910 pg/mL (P = .003); for TIMP-2, 3082 vs 2115 pg/mL (P = .003); for TIMP-3, 2066 vs 1020 pg/mL (P < .001); and for TIMP-4, 2130 vs 694 pg/mL (P < .001). Plasma levels of MMPs and TIMPs were associated with increased risk of adverse outcomes according to both univariate and multivariable analysis in the test cohort (eg, univariate analysis: odds ratio [OR] for MMP-8, 2.04; 95% CI, 1.33-3.14; P = .001; multivariable analysis: OR for MMP-8, 2.16; 95% CI, 1.34-3.47; P = .001). Combined receiver operating characteristic analysis revealed significant area under the curve (AUC), with high sensitivity and specificity in both cohorts (eg, for a combination of MMP-2, MMP-7, and TIMP-1 in the test cohort: sensitivity, 84%; specificity, 83%; and AUC, 0.886; for a combination of MMP-2, MMP-7, TIMP-1, and TIMP-2 in the validation cohort: sensitivity, 85%; specificity, 95%; and AUC, 0.944).

CONCLUSIONS AND RELEVANCE

Baseline plasma MMP and TIMP levels may be correlates of risk and prognostic biomarkers for treatment failure, relapse, and death in individuals with PTB and merit further evaluation as predictive biomarkers for stratification of patients to shortened or intensified treatment regimens.

摘要

重要性:在结核病(TB)的治疗中,识别治疗反应的生物标志物是当务之急。基质金属蛋白酶(MMPs)和基质金属蛋白酶抑制剂(TIMPs)是肺结核(PTB)的潜在诊断生物标志物。

目的:评估 PTB 患者基线血浆 MMPs 和 TIMPs 水平是否也是不良治疗结局的预后生物标志物。

设计、地点和参与者:本研究为两个不同队列(测试和验证)的个体,均来自印度钦奈的两组不同初级保健中心,随访治疗结局。参与者为新诊断的痰涂片和培养阳性且药敏的 TB 患者。测试队列中共有 68 例病例和 133 例对照,验证队列中共有 20 例病例和 40 例对照。通过按年龄、性别和体重指数 1:2 匹配病例患者和对照参与者,进行嵌套病例对照研究。测试队列的数据来自于 2014 年至 2019 年进行的一项研究,验证队列的数据来自于 2008 年至 2012 年进行的一项研究。数据分析于 2019 年 11 月至 2020 年 5 月进行。

干预措施:PTB 患者接受抗结核化疗 6 个月,并在完成治疗后随访 1 年。

主要结果和措施:将 PTB 患者中治疗失败、全因死亡率或复发性 TB 的不良结局定义为病例,将无复发治愈的良好结局定义为对照。治疗前测量血浆 MMPs 和 TIMPs 水平作为潜在的生物标志物。

结果:共有 68 例病例和 133 例匹配对照(170 [85%] 为男性,31 [15%] 为女性;中位年龄为 45 岁[范围,23-73 岁])纳入测试队列,20 例病例和 40 例匹配对照(51 [85%] 为男性,9 [15%] 为女性;中位年龄为 45 岁[范围,19-61 岁])纳入验证队列。与对照组相比,测试队列中 MMP-1、MMP-2、MMP-7、MMP-8 和 MMP-9 的 5 种 MMPs 和 TIMP-1、TIMP-2、TIMP-3 和 TIMP-4 的 2 种 TIMPs 的基线血浆水平在病例中显著更高。在测试队列中,病例与对照组的几何平均值(GM)分别为:MMP-1,3680 比 2484 pg/mL(P = .008);MMP-2,6523 比 4762 pg/mL(P < .001);MMP-7,3346 比 2100 pg/mL(P < .001);MMP-8,1915 比 1066 pg/mL(P < .001);MMP-9,2774 比 2336 pg/mL(P = .009);TIMP-1,4491 比 2910 pg/mL(P < .001);和 TIMP-2,3082 比 2115 pg/mL(P < .001)。在验证队列中,病例与对照组的 GM 分别为:MMP-1,3680 比 2484 pg/mL(P < .001);MMP-2,6523 比 4762 pg/mL(P < .001);MMP-7,3346 比 2100 pg/mL(P < .001);MMP-9,1915 比 1066 pg/mL(P < .001);MMP-13,2774 比 2336 pg/mL(P < .001);TIMP-1,4491 比 2910 pg/mL(P = .003);TIMP-2,3082 比 2115 pg/mL(P = .003);TIMP-3,2066 比 1020 pg/mL(P < .001);和 TIMP-4,2130 比 694 pg/mL(P < .001)。MMPs 和 TIMPs 的血浆水平与不良结局的风险增加相关,这在测试队列中无论是单变量还是多变量分析均有体现(例如,单变量分析:MMP-8 的比值比[OR],2.04;95%置信区间[CI],1.33-3.14;P = .001;多变量分析:MMP-8 的 OR,2.16;95% CI,1.34-3.47;P = .001)。联合接受者操作特征(ROC)分析显示出显著的曲线下面积(AUC),在两个队列中均具有较高的敏感性和特异性(例如,测试队列中 MMP-2、MMP-7 和 TIMP-1 的组合:敏感性为 84%,特异性为 83%,AUC 为 0.886;验证队列中 MMP-2、MMP-7、TIMP-1 和 TIMP-2 的组合:敏感性为 85%,特异性为 95%,AUC 为 0.944)。

结论和相关性:PTB 患者基线血浆 MMP 和 TIMP 水平可能与治疗失败、复发和死亡的风险相关,是治疗结局的预后生物标志物,值得进一步评估作为患者分层的预测生物标志物,以缩短或强化治疗方案。

https://cdn.ncbi.nlm.nih.gov/pmc/blobs/4c41/7709089/8ed4b458bb7a/jamanetwopen-e2027754-g001.jpg

文献检索

告别复杂PubMed语法,用中文像聊天一样搜索,搜遍4000万医学文献。AI智能推荐,让科研检索更轻松。

立即免费搜索

文件翻译

保留排版,准确专业,支持PDF/Word/PPT等文件格式,支持 12+语言互译。

免费翻译文档

深度研究

AI帮你快速写综述,25分钟生成高质量综述,智能提取关键信息,辅助科研写作。

立即免费体验