Suppr超能文献

不同二氧化碳(CO2)流量对诱蚊诱卵器(BG 诱捕器)在浙江省野外诱捕白纹伊蚊效果的影响。

Effect of different carbon dioxide (CO2) flows on trapping Aedes albopictus with BG traps in the field in Zhejiang Province, China.

机构信息

Zhejiang Provincial Center for Disease Control and Prevention, Hangzhou City, Zhejiang Province, China.

出版信息

PLoS One. 2020 Dec 1;15(12):e0243061. doi: 10.1371/journal.pone.0243061. eCollection 2020.

Abstract

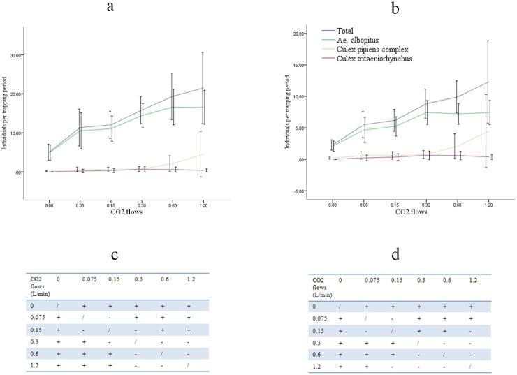
Carbon dioxide (CO2) attracts host-seeking adult mosquitoes; this fact is exploited for mosquito monitoring, which is important for evaluating the effects of mosquito-control operations. A field experiment was designed to explore the relationship between the CO2 flow rate and the trapping effect of BG traps. The aim was to select an appropriate flow rate for monitoring Aedes albopictus. Six sampling sites were selected for field experiments in Hangzhou city, Zhejiang Province, China. A total of six CO2 flow rates (0.00 L/min, 0.075 L/min, 0.15 L/min, 0.30 L/min, 0.60 L/min and 1.20 L/min) were tested to compare their effects on mosquito trapping. The catches were performed in six trapping periods between 15:30 and 18:30, and each catch period lasted 0.5 h. A total of 3068 adult mosquitoes were captured at six sampling sites in six days using BG traps (with BG-Sweetscent), among which 86.96% were Ae. albopictus. The total number of Ae. albopictus (males and females) captured at a flow rate of 0.00 L/min was significantly lower than the numbers captured at 0.075 L/min, 0.15 L/min, 0.30 L/min, 0.60 L/min and 1.20 L/min (P<0.001, P<0.001, P<0.001, P<0.001, and P<0.001 respectively). The total number of Ae. albopictus captured and the number of Ae. albopictus females captured increased with increasing CO2 flow and peaked at 0.3 L/min, above which these capture numbers did not increase significantly. In conclusion, the appropriate CO2 flow rate for monitoring Ae. albopictus with BG traps was 0.3 L/min.

摘要

二氧化碳(CO2)吸引寻找宿主的成年蚊子;这一事实被用于监测蚊子,这对于评估蚊子控制操作的效果非常重要。本研究设计了一项野外实验,以探索 CO2 流量与 BG 诱蚊器诱蚊效果之间的关系。目的是选择合适的流量来监测白纹伊蚊。在浙江省杭州市选择了 6 个采样点进行野外实验。共测试了 6 种 CO2 流量(0.00 L/min、0.075 L/min、0.15 L/min、0.30 L/min、0.60 L/min 和 1.20 L/min),以比较它们对诱蚊的影响。在 15:30 至 18:30 之间的 6 个诱捕期内进行了诱捕,每个诱捕期持续 0.5 小时。在 6 天内,使用 BG 诱蚊器(带有 BG-Sweetscent)在 6 个采样点共捕获了 3068 只成年蚊子,其中 86.96%为白纹伊蚊。在 0.00 L/min 流量下捕获的白纹伊蚊(雌雄)总数明显低于在 0.075 L/min、0.15 L/min、0.30 L/min、0.60 L/min 和 1.20 L/min 流量下捕获的数量(P<0.001,P<0.001,P<0.001,P<0.001 和 P<0.001)。随着 CO2 流量的增加,白纹伊蚊的总捕获数量和白纹伊蚊雌蚊的捕获数量增加,并在 0.3 L/min 时达到峰值,之后这些捕获数量没有显著增加。总之,使用 BG 诱蚊器监测白纹伊蚊的合适 CO2 流量为 0.3 L/min。

https://cdn.ncbi.nlm.nih.gov/pmc/blobs/30fc/7707600/25c32e345a47/pone.0243061.g001.jpg

文献AI研究员

20分钟写一篇综述,助力文献阅读效率提升50倍。

立即体验

用中文搜PubMed

大模型驱动的PubMed中文搜索引擎

马上搜索

文档翻译

学术文献翻译模型,支持多种主流文档格式。

立即体验