• 文献检索
  • 文档翻译
  • 深度研究
  • 学术资讯
  • Suppr Zotero 插件Zotero 插件
  • 邀请有礼
  • 套餐&价格
  • 历史记录
应用&插件
Suppr Zotero 插件Zotero 插件浏览器插件Mac 客户端Windows 客户端微信小程序
定价
高级版会员购买积分包购买API积分包
服务
文献检索文档翻译深度研究API 文档MCP 服务
关于我们
关于 Suppr公司介绍联系我们用户协议隐私条款
关注我们

Suppr 超能文献

核心技术专利:CN118964589B侵权必究
粤ICP备2023148730 号-1Suppr @ 2026

文献检索

告别复杂PubMed语法,用中文像聊天一样搜索,搜遍4000万医学文献。AI智能推荐,让科研检索更轻松。

立即免费搜索

文件翻译

保留排版,准确专业,支持PDF/Word/PPT等文件格式,支持 12+语言互译。

免费翻译文档

深度研究

AI帮你快速写综述,25分钟生成高质量综述,智能提取关键信息,辅助科研写作。

立即免费体验

在米字旗(中心正方形)晶格上具有三重态相互作用的混合自旋伊辛模型的强普适和弱普适临界行为。

Strong- and Weak-Universal Critical Behaviour of a Mixed-Spin Ising Model with Triplet Interactions on the Union Jack (Centered Square) Lattice.

作者信息

Strečka Jozef

机构信息

Department of Theoretical Physics and Astrophysics, Institute of Physics, Faculty of Science, P. J. Šafárik University, Park Angelinum 9, 040 01 Košice, Slovak Republic.

出版信息

Entropy (Basel). 2018 Jan 29;20(2):91. doi: 10.3390/e20020091.

DOI:10.3390/e20020091
PMID:33265182
原文链接:https://pmc.ncbi.nlm.nih.gov/articles/PMC7512654/
Abstract

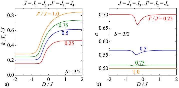
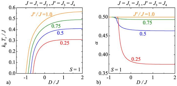
The mixed spin-1/2 and spin- Ising model on the Union Jack (centered square) lattice with four different three-spin (triplet) interactions and the uniaxial single-ion anisotropy is exactly solved by establishing a rigorous mapping equivalence with the corresponding zero-field (symmetric) eight-vertex model on a dual square lattice. A rigorous proof of the aforementioned exact mapping equivalence is provided by two independent approaches exploiting either a graph-theoretical or spin representation of the zero-field eight-vertex model. An influence of the interaction anisotropy as well as the uniaxial single-ion anisotropy on phase transitions and critical phenomena is examined in particular. It is shown that the considered model exhibits a strong-universal critical behaviour with constant critical exponents when considering the isotropic model with four equal triplet interactions or the anisotropic model with one triplet interaction differing from the other three. The anisotropic models with two different triplet interactions, which are pairwise equal to each other, contrarily exhibit a weak-universal critical behaviour with critical exponents continuously varying with a relative strength of the triplet interactions as well as the uniaxial single-ion anisotropy. It is evidenced that the variations of critical exponents of the mixed-spin Ising models with the integer-valued spins differ basically from their counterparts with the half-odd-integer spins .

摘要

通过在对偶正方形晶格上与相应的零场(对称)八顶点模型建立严格的映射等价关系,精确求解了具有四种不同三自旋(三重态)相互作用和单轴单离子各向异性的联合杰克(中心正方形)晶格上的混合自旋 - 1/2和自旋 - 1伊辛模型。利用零场八顶点模型的图论或自旋表示这两种独立方法,对上述精确映射等价性进行了严格证明。特别研究了相互作用各向异性以及单轴单离子各向异性对相变和临界现象的影响。结果表明,当考虑具有四个相等三重态相互作用的各向同性模型或具有一个与其他三个不同的三重态相互作用的各向异性模型时,所考虑的模型表现出具有恒定临界指数的强普适临界行为。相反,具有两个彼此成对相等的不同三重态相互作用的各向异性模型表现出弱普适临界行为,其临界指数随三重态相互作用以及单轴单离子各向异性的相对强度连续变化。证明了具有整数值自旋的混合自旋伊辛模型的临界指数变化与具有半奇数整数自旋的对应模型基本不同。

https://cdn.ncbi.nlm.nih.gov/pmc/blobs/561a/7512654/c594916a590b/entropy-20-00091-g010.jpg
https://cdn.ncbi.nlm.nih.gov/pmc/blobs/561a/7512654/44c695e83f3e/entropy-20-00091-g001.jpg
https://cdn.ncbi.nlm.nih.gov/pmc/blobs/561a/7512654/f23b5f42956f/entropy-20-00091-g002.jpg
https://cdn.ncbi.nlm.nih.gov/pmc/blobs/561a/7512654/f8b2cc8b025c/entropy-20-00091-g003.jpg
https://cdn.ncbi.nlm.nih.gov/pmc/blobs/561a/7512654/3c135e483990/entropy-20-00091-g004.jpg
https://cdn.ncbi.nlm.nih.gov/pmc/blobs/561a/7512654/033941f2cbc7/entropy-20-00091-g005.jpg
https://cdn.ncbi.nlm.nih.gov/pmc/blobs/561a/7512654/7936f390ff36/entropy-20-00091-g006.jpg
https://cdn.ncbi.nlm.nih.gov/pmc/blobs/561a/7512654/dd9d3704ec33/entropy-20-00091-g007.jpg
https://cdn.ncbi.nlm.nih.gov/pmc/blobs/561a/7512654/fde8a37101dc/entropy-20-00091-g008.jpg
https://cdn.ncbi.nlm.nih.gov/pmc/blobs/561a/7512654/0e55db49b58d/entropy-20-00091-g009.jpg
https://cdn.ncbi.nlm.nih.gov/pmc/blobs/561a/7512654/c594916a590b/entropy-20-00091-g010.jpg
https://cdn.ncbi.nlm.nih.gov/pmc/blobs/561a/7512654/44c695e83f3e/entropy-20-00091-g001.jpg
https://cdn.ncbi.nlm.nih.gov/pmc/blobs/561a/7512654/f23b5f42956f/entropy-20-00091-g002.jpg
https://cdn.ncbi.nlm.nih.gov/pmc/blobs/561a/7512654/f8b2cc8b025c/entropy-20-00091-g003.jpg
https://cdn.ncbi.nlm.nih.gov/pmc/blobs/561a/7512654/3c135e483990/entropy-20-00091-g004.jpg
https://cdn.ncbi.nlm.nih.gov/pmc/blobs/561a/7512654/033941f2cbc7/entropy-20-00091-g005.jpg
https://cdn.ncbi.nlm.nih.gov/pmc/blobs/561a/7512654/7936f390ff36/entropy-20-00091-g006.jpg
https://cdn.ncbi.nlm.nih.gov/pmc/blobs/561a/7512654/dd9d3704ec33/entropy-20-00091-g007.jpg
https://cdn.ncbi.nlm.nih.gov/pmc/blobs/561a/7512654/fde8a37101dc/entropy-20-00091-g008.jpg
https://cdn.ncbi.nlm.nih.gov/pmc/blobs/561a/7512654/0e55db49b58d/entropy-20-00091-g009.jpg
https://cdn.ncbi.nlm.nih.gov/pmc/blobs/561a/7512654/c594916a590b/entropy-20-00091-g010.jpg

相似文献

1
Strong- and Weak-Universal Critical Behaviour of a Mixed-Spin Ising Model with Triplet Interactions on the Union Jack (Centered Square) Lattice.在米字旗(中心正方形)晶格上具有三重态相互作用的混合自旋伊辛模型的强普适和弱普适临界行为。
Entropy (Basel). 2018 Jan 29;20(2):91. doi: 10.3390/e20020091.
2
Spin-1/2 Ising-Heisenberg model with the pair XYZ Heisenberg interaction and quartic Ising interactions as the exactly soluble zero-field eight-vertex model.具有对XYZ海森堡相互作用和四次伊辛相互作用的自旋-1/2伊辛-海森堡模型作为精确可解的零场八顶点模型。
Phys Rev E Stat Nonlin Soft Matter Phys. 2009 May;79(5 Pt 1):051103. doi: 10.1103/PhysRevE.79.051103. Epub 2009 May 6.
3
Two-dimensional XXZ -Ising model on a square-hexagon lattice.方形 - 六边形晶格上的二维XXZ - 伊辛模型
Phys Rev E Stat Nonlin Soft Matter Phys. 2009 Apr;79(4 Pt 1):041101. doi: 10.1103/PhysRevE.79.041101. Epub 2009 Apr 1.
4
Weak Singularities of the Isothermal Entropy Change as the Smoking Gun Evidence of Phase Transitions of Mixed-Spin Ising Model on a Decorated Square Lattice in Transverse Field.作为装饰正方形晶格上混合自旋伊辛模型在横向场中相变的确凿证据的等温熵变的弱奇点
Entropy (Basel). 2021 Nov 18;23(11):1533. doi: 10.3390/e23111533.
5
Original electric-vertex formulation of the symmetric eight-vertex model on the square lattice is fully nonuniversal.原始方格晶格上对称八顶点模型的电顶点公式是完全非普适的。
Phys Rev E. 2018 Jan;97(1-1):012108. doi: 10.1103/PhysRevE.97.012108.
6
Unconventional Thermal and Magnetic-Field-Driven Changes of a Bipartite Entanglement of a Mixed Spin-(1/2,) Heisenberg Dimer with an Uniaxial Single-Ion Anisotropy.具有单轴单离子各向异性的混合自旋-(1/2)海森堡二聚体的二分纠缠的非常规热驱动和磁场驱动变化
Nanomaterials (Basel). 2021 Nov 16;11(11):3096. doi: 10.3390/nano11113096.
7
Two-dimensional XXZ-Ising model with quartic interactions.具有四次相互作用的二维XXZ伊辛模型
Phys Rev E Stat Nonlin Soft Matter Phys. 2012 May;85(5 Pt 1):051135. doi: 10.1103/PhysRevE.85.051135. Epub 2012 May 25.
8
Nature of intermediate magnetization plateaus of a spin-1/2 Ising-Heisenberg model on a triangulated Husimi lattice resembling a triangulated kagome lattice.在类似于三角化 Kagome 晶格的三角化 Husimi 晶格上的自旋 1/2 Ising - Heisenberg 模型的中间磁化平台的性质。
Phys Rev E. 2020 Jul;102(1-1):012132. doi: 10.1103/PhysRevE.102.012132.
9
Magnetic behavior of a ferroferrimagnetic ternary alloy AB_{ρ}C_{1-ρ} with a selective site disorder: Case study of a mixed-spin Ising model on a honeycomb lattice.具有选择性位点无序的铁铁磁三元合金ABₚC₁₋ₚ的磁行为:蜂窝晶格上混合自旋伊辛模型的案例研究
Phys Rev E. 2020 Mar;101(3-1):032104. doi: 10.1103/PhysRevE.101.032104.
10
Critical properties of short-range Ising spin glasses on a Wheatstone-bridge hierarchical lattice.惠斯通电桥分层晶格上短程伊辛自旋玻璃的临界性质
Phys Rev E Stat Nonlin Soft Matter Phys. 2015 Aug;92(2):022102. doi: 10.1103/PhysRevE.92.022102. Epub 2015 Aug 3.

引用本文的文献

1
New Trends in Statistical Physics of Complex Systems.复杂系统统计物理学的新趋势。
Entropy (Basel). 2018 Nov 27;20(12):906. doi: 10.3390/e20120906.