• 文献检索
  • 文档翻译
  • 深度研究
  • 学术资讯
  • Suppr Zotero 插件Zotero 插件
  • 邀请有礼
  • 套餐&价格
  • 历史记录
应用&插件
Suppr Zotero 插件Zotero 插件浏览器插件Mac 客户端Windows 客户端微信小程序
定价
高级版会员购买积分包购买API积分包
服务
文献检索文档翻译深度研究API 文档MCP 服务
关于我们
关于 Suppr公司介绍联系我们用户协议隐私条款
关注我们

Suppr 超能文献

核心技术专利:CN118964589B侵权必究
粤ICP备2023148730 号-1Suppr @ 2026

文献检索

告别复杂PubMed语法,用中文像聊天一样搜索,搜遍4000万医学文献。AI智能推荐,让科研检索更轻松。

立即免费搜索

文件翻译

保留排版,准确专业,支持PDF/Word/PPT等文件格式,支持 12+语言互译。

免费翻译文档

深度研究

AI帮你快速写综述,25分钟生成高质量综述,智能提取关键信息,辅助科研写作。

立即免费体验

大数据盲分离

Big Data Blind Separation.

作者信息

Syed Mujahid N

机构信息

Department of Systems Engineering, King Fahd University of Petroleum & Minerals, Dhahran 31261, Saudi Arabia.

出版信息

Entropy (Basel). 2018 Feb 27;20(3):150. doi: 10.3390/e20030150.

DOI:10.3390/e20030150
PMID:33265241
原文链接:https://pmc.ncbi.nlm.nih.gov/articles/PMC7512668/
Abstract

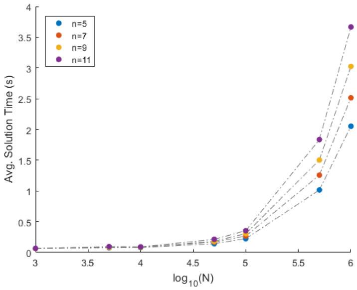
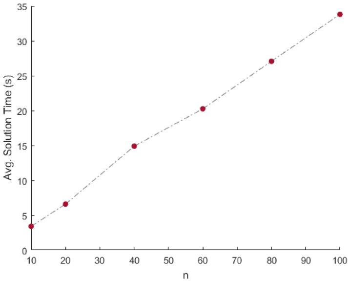
Data or signal separation is one of the critical areas of data analysis. In this work, the problem of non-negative data separation is considered. The problem can be briefly described as follows: given X ∈ R m × N , find A ∈ R m × n and S ∈ R + n × N such that X = A S . Specifically, the problem with sparse locally dominant sources is addressed in this work. Although the problem is well studied in the literature, a test to validate the locally dominant assumption is not yet available. In addition to that, the typical approaches available in the literature sequentially extract the elements of the mixing matrix. In this work, a mathematical modeling-based approach is presented that can simultaneously validate the assumption, and separate the given mixture data. In addition to that, a correntropy-based measure is proposed to reduce the model size. The approach presented in this paper is suitable for big data separation. Numerical experiments are conducted to illustrate the performance and validity of the proposed approach.

摘要

数据或信号分离是数据分析的关键领域之一。在这项工作中,考虑了非负数据分离问题。该问题可简要描述如下:给定(X\in\mathbb{R}^{m\times N}),找到(A\in\mathbb{R}^{m\times n})和(S\in\mathbb{R}_{+}^{n\times N}),使得(X = AS)。具体而言,这项工作解决了具有稀疏局部主导源的问题。尽管该问题在文献中已有充分研究,但尚未有验证局部主导假设的测试方法。除此之外,文献中现有的典型方法是依次提取混合矩阵的元素。在这项工作中,提出了一种基于数学建模的方法,该方法可以同时验证假设并分离给定的混合数据。此外,还提出了一种基于核相关熵的度量来减小模型规模。本文提出的方法适用于大数据分离。进行了数值实验以说明所提方法的性能和有效性。

https://cdn.ncbi.nlm.nih.gov/pmc/blobs/0e79/7512668/819b28bb93e8/entropy-20-00150-g010.jpg
https://cdn.ncbi.nlm.nih.gov/pmc/blobs/0e79/7512668/17667d539910/entropy-20-00150-g001.jpg
https://cdn.ncbi.nlm.nih.gov/pmc/blobs/0e79/7512668/c83a9e721b18/entropy-20-00150-g002.jpg
https://cdn.ncbi.nlm.nih.gov/pmc/blobs/0e79/7512668/9058d6a08a9f/entropy-20-00150-g003.jpg
https://cdn.ncbi.nlm.nih.gov/pmc/blobs/0e79/7512668/8ed55a6e87a5/entropy-20-00150-g004.jpg
https://cdn.ncbi.nlm.nih.gov/pmc/blobs/0e79/7512668/8d0dbf8b86fb/entropy-20-00150-g005.jpg
https://cdn.ncbi.nlm.nih.gov/pmc/blobs/0e79/7512668/c16c04fecd70/entropy-20-00150-g006.jpg
https://cdn.ncbi.nlm.nih.gov/pmc/blobs/0e79/7512668/89f4d7dd17ea/entropy-20-00150-g007.jpg
https://cdn.ncbi.nlm.nih.gov/pmc/blobs/0e79/7512668/69b2d49af46c/entropy-20-00150-g008.jpg
https://cdn.ncbi.nlm.nih.gov/pmc/blobs/0e79/7512668/86eb6bce13c6/entropy-20-00150-g009.jpg
https://cdn.ncbi.nlm.nih.gov/pmc/blobs/0e79/7512668/819b28bb93e8/entropy-20-00150-g010.jpg
https://cdn.ncbi.nlm.nih.gov/pmc/blobs/0e79/7512668/17667d539910/entropy-20-00150-g001.jpg
https://cdn.ncbi.nlm.nih.gov/pmc/blobs/0e79/7512668/c83a9e721b18/entropy-20-00150-g002.jpg
https://cdn.ncbi.nlm.nih.gov/pmc/blobs/0e79/7512668/9058d6a08a9f/entropy-20-00150-g003.jpg
https://cdn.ncbi.nlm.nih.gov/pmc/blobs/0e79/7512668/8ed55a6e87a5/entropy-20-00150-g004.jpg
https://cdn.ncbi.nlm.nih.gov/pmc/blobs/0e79/7512668/8d0dbf8b86fb/entropy-20-00150-g005.jpg
https://cdn.ncbi.nlm.nih.gov/pmc/blobs/0e79/7512668/c16c04fecd70/entropy-20-00150-g006.jpg
https://cdn.ncbi.nlm.nih.gov/pmc/blobs/0e79/7512668/89f4d7dd17ea/entropy-20-00150-g007.jpg
https://cdn.ncbi.nlm.nih.gov/pmc/blobs/0e79/7512668/69b2d49af46c/entropy-20-00150-g008.jpg
https://cdn.ncbi.nlm.nih.gov/pmc/blobs/0e79/7512668/86eb6bce13c6/entropy-20-00150-g009.jpg
https://cdn.ncbi.nlm.nih.gov/pmc/blobs/0e79/7512668/819b28bb93e8/entropy-20-00150-g010.jpg

相似文献

1
Big Data Blind Separation.大数据盲分离
Entropy (Basel). 2018 Feb 27;20(3):150. doi: 10.3390/e20030150.
2
Nonnegative blind source separation by sparse component analysis based on determinant measure.基于行列式测度的稀疏成分分析的非负盲源分离。
IEEE Trans Neural Netw Learn Syst. 2012 Oct;23(10):1601-10. doi: 10.1109/TNNLS.2012.2208476.
3
Time-frequency approach to underdetermined blind source separation.时频方法在欠定盲源分离中的应用。
IEEE Trans Neural Netw Learn Syst. 2012 Feb;23(2):306-16. doi: 10.1109/TNNLS.2011.2177475.
4
A Convex Geometry-Based Blind Source Separation Method for Separating Nonnegative Sources.基于凸几何的盲源分离方法用于分离非负源。
IEEE Trans Neural Netw Learn Syst. 2015 Aug;26(8):1635-44. doi: 10.1109/TNNLS.2014.2350026. Epub 2014 Sep 5.
5
Underdetermined Blind Source Separation Using Sparse Coding.基于稀疏编码的欠定盲源分离。
IEEE Trans Neural Netw Learn Syst. 2017 Dec;28(12):3102-3108. doi: 10.1109/TNNLS.2016.2610960. Epub 2016 Oct 5.
6
Blind source separation by sparse decomposition in a signal dictionary.基于信号字典中稀疏分解的盲源分离
Neural Comput. 2001 Apr;13(4):863-82. doi: 10.1162/089976601300014385.
7
A Novel Signal Separation Method Based on Improved Sparse Non-Negative Matrix Factorization.一种基于改进稀疏非负矩阵分解的新型信号分离方法。
Entropy (Basel). 2019 Apr 28;21(5):445. doi: 10.3390/e21050445.
8
Multivariate slow feature analysis and decorrelation filtering for blind source separation.多元慢特征分析和去相关滤波在盲源分离中的应用。
IEEE Trans Image Process. 2013 Jul;22(7):2737-50. doi: 10.1109/TIP.2013.2257808. Epub 2013 Apr 12.
9
A spectral clustering approach to underdetermined postnonlinear blind source separation of sparse sources.一种用于稀疏源欠定后非线性盲源分离的谱聚类方法。
IEEE Trans Neural Netw. 2006 May;17(3):811-4. doi: 10.1109/TNN.2006.872358.
10
Human Motion Segmentation via Robust Kernel Sparse Subspace Clustering.基于鲁棒核稀疏子空间聚类的人体运动分割。
IEEE Trans Image Process. 2018;27(1):135-150. doi: 10.1109/TIP.2017.2738562.

本文引用的文献

1
Concurrent white matter bundles and grey matter networks using independent component analysis.基于独立成分分析的白质束和灰质网络的并发研究。
Neuroimage. 2018 Apr 15;170:296-306. doi: 10.1016/j.neuroimage.2017.05.012. Epub 2017 May 14.
2
Latent constructs underlying sensory subtypes in children with autism: A preliminary study.自闭症儿童感觉亚型背后的潜在结构:一项初步研究。
Autism Res. 2017 Aug;10(8):1364-1371. doi: 10.1002/aur.1787. Epub 2017 Apr 1.
3
Underdetermined Blind Source Separation Using Sparse Coding.基于稀疏编码的欠定盲源分离。
IEEE Trans Neural Netw Learn Syst. 2017 Dec;28(12):3102-3108. doi: 10.1109/TNNLS.2016.2610960. Epub 2016 Oct 5.
4
Increase of posterior connectivity in aging within the Ventral Attention Network: A functional connectivity analysis using independent component analysis.腹侧注意网络中衰老过程中后部连接性的增加:一项使用独立成分分析的功能连接性分析。
Brain Res. 2017 Feb 15;1657:288-296. doi: 10.1016/j.brainres.2016.12.017. Epub 2016 Dec 21.
5
Blind Hyperspectral Unmixing Using an Extended Linear Mixing Model to Address Spectral Variability.基于扩展线性混合模型的盲高光谱解混以解决光谱可变性问题
IEEE Trans Image Process. 2016 Aug;25(8):3890-905. doi: 10.1109/TIP.2016.2579259. Epub 2016 Jun 9.
6
Driver Fatigue Classification With Independent Component by Entropy Rate Bound Minimization Analysis in an EEG-Based System.基于脑电图系统中通过熵率界最小化分析的独立成分进行驾驶员疲劳分类
IEEE J Biomed Health Inform. 2017 May;21(3):715-724. doi: 10.1109/JBHI.2016.2532354. Epub 2016 Feb 19.
7
Transradial Amputee Gesture Classification Using an Optimal Number of sEMG Sensors: An Approach Using ICA Clustering.使用最佳数量的表面肌电传感器进行经桡骨截肢者手势分类:一种基于独立成分分析聚类的方法
IEEE Trans Neural Syst Rehabil Eng. 2016 Aug;24(8):837-46. doi: 10.1109/TNSRE.2015.2478138. Epub 2015 Sep 17.
8
Dependence Independence Measure for Posterior and Anterior EMG Sensors Used in Simple and Complex Finger Flexion Movements: Evaluation Using SDICA.用于简单和复杂手指弯曲运动的后肌和前肌 EMG 传感器的依赖独立性测量:使用 SDICA 的评估。
IEEE J Biomed Health Inform. 2015 Sep;19(5):1689-1696. doi: 10.1109/JBHI.2014.2340397. Epub 2014 Jul 17.
9
Dictionary learning algorithms for sparse representation.用于稀疏表示的字典学习算法。
Neural Comput. 2003 Feb;15(2):349-96. doi: 10.1162/089976603762552951.
10
An information-maximization approach to blind separation and blind deconvolution.一种用于盲分离和盲反卷积的信息最大化方法。
Neural Comput. 1995 Nov;7(6):1129-59. doi: 10.1162/neco.1995.7.6.1129.