Mathur Akshat, Seddighi Mehdi, He Shuisheng
Department of Mechanical Engineering, University of Sheffield, Sheffield S1 3JD, UK.
Department of Maritime and Mechanical Engineering, Liverpool John Moores University, Liverpool L3 3AF, UK.
Entropy (Basel). 2018 May 17;20(5):375. doi: 10.3390/e20050375.
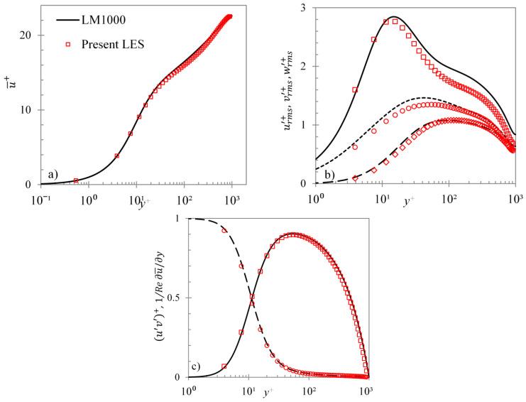
Large-eddy simulations of turbulent channel flow subjected to a step-like acceleration have been performed to investigate the effect of high Reynolds number ratios on the transient behaviour of turbulence. It is shown that the response of the flow exhibits the same fundamental characteristics described in He & Seddighi (J. Fluid Mech., vol. 715, 2013, pp. 60-102 and vol. 764, 2015, pp. 395-427)-a three-stage response resembling that of the bypass transition of boundary layer flows. The features of transition are seen to become more striking as the Re-ratio increases-the elongated streaks become stronger and longer, and the initial turbulent spot sites at the onset of transition become increasingly sparse. The critical Reynolds number of transition and the transition period Reynolds number for those cases are shown to deviate from the trends of He & Seddighi (2015). The high Re-ratio cases show double peaks in the transient response of streamwise fluctuation profiles shortly after the onset of transition. Conditionally-averaged turbulent statistics based on a λ_2-criterion are used to show that the two peaks in the fluctuation profiles are due to separate contributions of the active and inactive regions of turbulence generation. The peak closer to the wall is attributed to the generation of "new" turbulence in the active region, whereas the peak farther away from the wall is attributed to the elongated streaks in the inactive region. In the low Re-ratio cases, the peaks of these two regions are close to each other during the entire transient, resulting in a single peak in the domain-averaged profile.
为了研究高雷诺数比(Re-ratio)对湍流瞬态行为的影响,对受到阶跃式加速的湍流槽道流进行了大涡模拟。结果表明,流动的响应表现出与He和Seddighi(《流体力学杂志》,第715卷,2013年,第60 - 102页以及第764卷,2015年,第395 - 427页)所描述的相同基本特征——一种类似于边界层流动旁路转捩的三阶段响应。随着Re-比增加,转捩特征变得更加显著——拉长的条纹变得更强、更长,并且转捩开始时的初始湍流斑位置变得越来越稀疏。这些情况下的转捩临界雷诺数和转捩期雷诺数显示出与He和Seddighi(2015年)的趋势不同。高Re-比情况在转捩开始后不久的流向脉动剖面瞬态响应中出现双峰。基于λ_2准则的条件平均湍流统计量用于表明脉动剖面中的两个峰值分别归因于湍流生成的活跃区域和非活跃区域的贡献。更靠近壁面的峰值归因于活跃区域中“新”湍流的生成,而离壁面更远的峰值归因于非活跃区域中的拉长条纹。在低Re-比情况下,这两个区域的峰值在整个瞬态过程中彼此接近,导致域平均剖面中出现单峰。