Suppr超能文献

采用协作多跳传输的底层认知无线电网络在有无硬件损伤情况下的保密性能增强

Secrecy Performance Enhancement for Underlay Cognitive Radio Networks Employing Cooperative Multi-Hop Transmission with and without Presence of Hardware Impairments.

作者信息

Tran Tin Phu, The Hung Dang, Nguyen Tan N, Duy Tran Trung, Voznak Miroslav

机构信息

VSB-Technical University of Ostrava, 17. listopadu 15/2172, 708 33 Ostrava, Poruba, Czech Republic.

Faculty of Electronics Technology, Industrial University of Ho Chi Minh City, Ho Chi Minh City 71408, Vietnam.

出版信息

Entropy (Basel). 2019 Feb 24;21(2):217. doi: 10.3390/e21020217.

Abstract

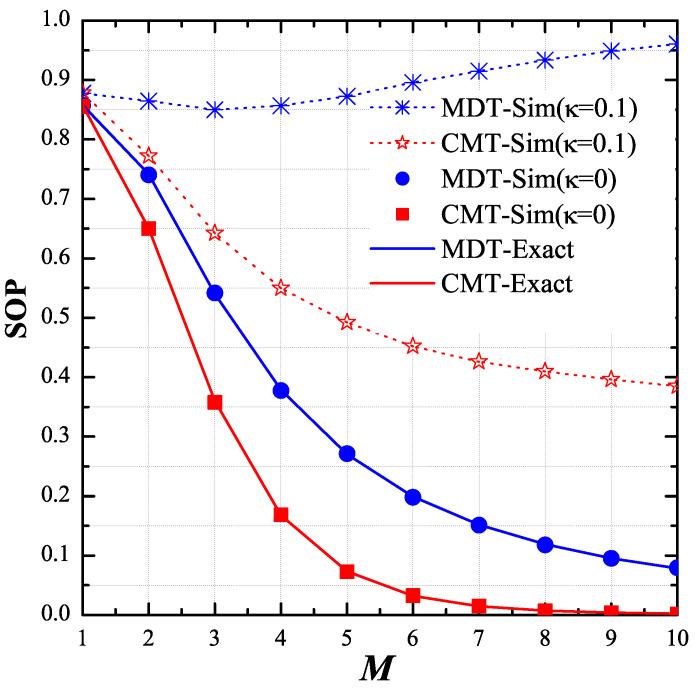
In this paper, we consider a cooperative multi-hop secured transmission protocol to underlay cognitive radio networks. In the proposed protocol, a secondary source attempts to transmit its data to a secondary destination with the assistance of multiple secondary relays. In addition, there exists a secondary eavesdropper who tries to overhear the source data. Under a maximum interference level required by a primary user, the secondary source and relay nodes must adjust their transmit power. We first formulate effective signal-to-interference-plus-noise ratio (SINR) as well as secrecy capacity under the constraints of the maximum transmit power, the interference threshold and the hardware impairment level. Furthermore, when the hardware impairment level is relaxed, we derive exact and asymptotic expressions of end-to-end secrecy outage probability over Rayleigh fading channels by using the recursive method. The derived expressions were verified by simulations, in which the proposed scheme outperformed the conventional multi-hop direct transmission protocol.

摘要

在本文中,我们考虑一种协作多跳安全传输协议以支持认知无线电网络。在所提出的协议中,一个次要源尝试在多个次要中继的协助下将其数据传输到一个次要目的地。此外,存在一个次要窃听者试图窃听源数据。在主要用户要求的最大干扰水平下,次要源和中继节点必须调整它们的发射功率。我们首先在最大发射功率、干扰阈值和硬件损伤水平的约束下,制定有效信干噪比(SINR)以及保密容量。此外,当硬件损伤水平放宽时,我们通过使用递归方法推导瑞利衰落信道上的端到端保密中断概率的精确和渐近表达式。所推导的表达式通过仿真得到验证,其中所提出的方案优于传统的多跳直接传输协议。

https://cdn.ncbi.nlm.nih.gov/pmc/blobs/9972/7514698/6d4d46ec7966/entropy-21-00217-g001.jpg

文献检索

告别复杂PubMed语法,用中文像聊天一样搜索,搜遍4000万医学文献。AI智能推荐,让科研检索更轻松。

立即免费搜索

文件翻译

保留排版,准确专业,支持PDF/Word/PPT等文件格式,支持 12+语言互译。

免费翻译文档

深度研究

AI帮你快速写综述,25分钟生成高质量综述,智能提取关键信息,辅助科研写作。

立即免费体验