Suppr超能文献

瑞利-贝纳德对流中双稳性的热力学分析

Thermodynamic Analysis of Bistability in Rayleigh-Bénard Convection.

作者信息

Ban Takahiko

机构信息

Division of Chemical Engineering, Department of Materials Engineering Science, Graduate School of Engineering Science, Osaka University, Machikaneyamacho 1-3, Toyonaka City, Osaka 560-8531, Japan.

出版信息

Entropy (Basel). 2020 Jul 22;22(8):800. doi: 10.3390/e22080800.

Abstract

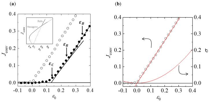
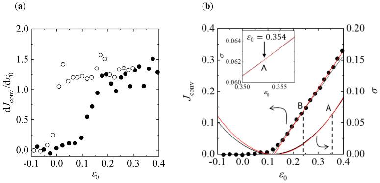
Bistability is often encountered in association with dissipative systems far from equilibrium, such as biological, physical, and chemical phenomena. There have been various attempts to theoretically analyze the bistabilities of dissipative systems. However, there is no universal theoretical approach to determine the development of a bistable system far from equilibrium. This study shows that thermodynamic analysis based on entropy production can be used to predict the transition point in the bistable region during Rayleigh-Bénard convection using the experimental relationship between the thermodynamic flux and driving force. The bistable region is characterized by two distinct features: the flux of the second state is higher than that of the first state, and the entropy production of the second state is lower than that of the first state. This thermodynamic interpretation provides new insights that can be used to predict bistable behaviors in various dissipative systems.

摘要

双稳性常常与远离平衡态的耗散系统相关联,比如生物、物理和化学现象。人们已经进行了各种尝试,从理论上分析耗散系统的双稳性。然而,对于确定远离平衡态的双稳系统的发展,尚无通用的理论方法。本研究表明,基于熵产生的热力学分析可用于预测瑞利 - 贝纳德对流过程中双稳区域的转变点,这是利用热力学通量与驱动力之间的实验关系实现的。双稳区域具有两个明显特征:第二状态的通量高于第一状态,且第二状态的熵产生低于第一状态。这种热力学解释提供了新的见解,可用于预测各种耗散系统中的双稳行为。

https://cdn.ncbi.nlm.nih.gov/pmc/blobs/91df/7517371/bed05c4468a0/entropy-22-00800-g001.jpg

文献检索

告别复杂PubMed语法,用中文像聊天一样搜索,搜遍4000万医学文献。AI智能推荐,让科研检索更轻松。

立即免费搜索

文件翻译

保留排版,准确专业,支持PDF/Word/PPT等文件格式,支持 12+语言互译。

免费翻译文档

深度研究

AI帮你快速写综述,25分钟生成高质量综述,智能提取关键信息,辅助科研写作。

立即免费体验