Suppr超能文献

急性早幼粒细胞白血病后的第二原发性恶性肿瘤:一项基于人群的研究。

Second Primary Malignancy after Acute Promyelocytic Leukemia: A Population-Based Study.

作者信息

Lenzi Luana, Lee-Jones Lisa, Mostofa Maruf A, de Andrade Diancarlos P, Ribeiro Raul C, Figueiredo Bonald C

机构信息

Departamento de Análises Clínicas, Universidade Federal do Paraná, Curitiba, Paraná 80210-170, Brazil.

Life Sciences Department, Manchester Metropolitan University, Manchester M1 5GD, UK.

出版信息

Cancers (Basel). 2020 Dec 3;12(12):3610. doi: 10.3390/cancers12123610.

Abstract

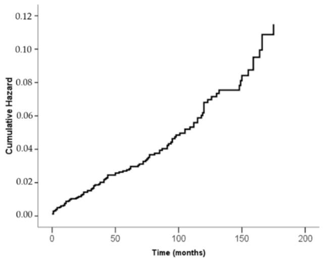
Acute promyelocytic leukemia (APL), is now highly curable with treatment approaches that include all-trans retinoic acid (ATRA). The high incidence of APL in the Hispanics suggests an association with genetic variants in this population. Information on second primary malignancies (SPMs) in patients with APL is limited. The Surveillance, Epidemiology, and End Results (SEER) database was used to interrogate whether the rate of SPMs in patients with APL was associated with ethnicity and/or ATRA treatment. Between 2000 and 2016, 116 cases of SPM were diagnosed among 4019 patients with APL. The mean age at diagnosis of primary APL was 53.9 years (±15.7 years), and the mean age at diagnosis of SPMs was 59.0 years (±14.5 years). Comparisons with 3774 APL survivors who did not develop SPMs revealed that age ≥40 years at diagnosis of APL ( < 0.001) and non-Hispanic white ethnicity ( = 0.025) were associated with SPMs in APL survivors. Salivary gland, liver, and soft tissue malignancies were significantly more common in patients with primary APL than in individuals with non-APL malignancies. A risk analysis comparing patients who had APL with patients who had non-APL AML suggests that SPMs after APL is associated with ATRA treatment. Therefore, patient follow-up after APL should focus on early diagnosis of SPMs.

摘要

急性早幼粒细胞白血病(APL)现在通过包括全反式维甲酸(ATRA)在内的治疗方法已具有很高的治愈率。西班牙裔人群中APL的高发病率表明该人群与基因变异有关。关于APL患者继发性原发性恶性肿瘤(SPM)的信息有限。利用监测、流行病学和最终结果(SEER)数据库来探究APL患者中SPM的发生率是否与种族和/或ATRA治疗有关。在2000年至2016年期间,4019例APL患者中诊断出116例SPM。原发性APL诊断时的平均年龄为53.9岁(±15.7岁),SPM诊断时的平均年龄为59.0岁(±14.5岁)。与3774例未发生SPM的APL幸存者进行比较发现,APL诊断时年龄≥40岁(<0.001)和非西班牙裔白人种族(=0.025)与APL幸存者发生SPM有关。原发性APL患者中唾液腺、肝脏和软组织恶性肿瘤明显比非APL恶性肿瘤患者更常见。一项将APL患者与非APL急性髓系白血病患者进行比较的风险分析表明,APL后的SPM与ATRA治疗有关。因此,APL患者的随访应侧重于SPM的早期诊断。

https://cdn.ncbi.nlm.nih.gov/pmc/blobs/639e/7761603/154c1b29aae3/cancers-12-03610-g001.jpg

文献检索

告别复杂PubMed语法,用中文像聊天一样搜索,搜遍4000万医学文献。AI智能推荐,让科研检索更轻松。

立即免费搜索

文件翻译

保留排版,准确专业,支持PDF/Word/PPT等文件格式,支持 12+语言互译。

免费翻译文档

深度研究

AI帮你快速写综述,25分钟生成高质量综述,智能提取关键信息,辅助科研写作。

立即免费体验