• 文献检索
  • 文档翻译
  • 深度研究
  • 学术资讯
  • Suppr Zotero 插件Zotero 插件
  • 邀请有礼
  • 套餐&价格
  • 历史记录
应用&插件
Suppr Zotero 插件Zotero 插件浏览器插件Mac 客户端Windows 客户端微信小程序
定价
高级版会员购买积分包购买API积分包
服务
文献检索文档翻译深度研究API 文档MCP 服务
关于我们
关于 Suppr公司介绍联系我们用户协议隐私条款
关注我们

Suppr 超能文献

核心技术专利:CN118964589B侵权必究
粤ICP备2023148730 号-1Suppr @ 2026

文献检索

告别复杂PubMed语法,用中文像聊天一样搜索,搜遍4000万医学文献。AI智能推荐,让科研检索更轻松。

立即免费搜索

文件翻译

保留排版,准确专业,支持PDF/Word/PPT等文件格式,支持 12+语言互译。

免费翻译文档

深度研究

AI帮你快速写综述,25分钟生成高质量综述,智能提取关键信息,辅助科研写作。

立即免费体验

MP-AzeFlu可改善过敏性鼻炎患者的生活质量。

MP-AzeFlu Improves the Quality-of-Life of Patients with Allergic Rhinitis.

作者信息

van Weissenbruch Ranny, Klimek Ludger, Gálffy Gabriella, Emmeluth Melanie, Koltun Arkady, Kopietz Ferdinand, Nguyen Duc Tung, Kuhl Hans Christian, Pohl Wolfgang, Scadding Glenis K, Price David, Mullol Joaquim

机构信息

Department of ENT Head and Neck Surgery, Wilhelmina Ziekenhuis, Assen, the Netherlands.

Department of Otorhinolaryngology and Head and Neck Plastic Surgery, Zentrum für Rhinologie und Allergologie, Wiesbaden, Germany.

出版信息

J Asthma Allergy. 2020 Dec 2;13:633-645. doi: 10.2147/JAA.S277734. eCollection 2020.

DOI:10.2147/JAA.S277734
PMID:33293835
原文链接:https://pmc.ncbi.nlm.nih.gov/articles/PMC7719305/
Abstract

PURPOSE

Patients with poorly controlled allergic rhinitis (AR) experience nasal symptoms, sleep disturbances, activity impairment, and decreased quality-of-life (QoL). MP-AzeFlu is safe and effective for moderate-to-severe seasonal and perennial AR, but its impact on QoL requires investigation in the real-world, especially among phenotypes of immunoglobulin (Ig)E-mediated AR. This subanalysis of an observational study evaluated response to MP-AzeFlu via assessment of sleep quality and trouble with daily activities.

PATIENTS AND METHODS

This multicenter, prospective, non-interventional, real-life study included a convenience sample of patients with a history of moderate-to-severe AR presenting with acute AR symptoms (visual analog scale [VAS] ≥50 mm). Over approximately 14 days of treatment with MP-AzeFlu (137 µg azelastine HCL and 50 µg fluticasone propionate administered via single 0.137-mL spray in each nostril twice daily), changes in sleep quality and trouble with daily work, school, social, and outdoor activities were evaluated using a VAS for the entire study population and for four subgroups based on IgE response phenotype. VAS scores ranged from "not at all troubled" (0 mm) to "extremely troubled" (100 mm).

RESULTS

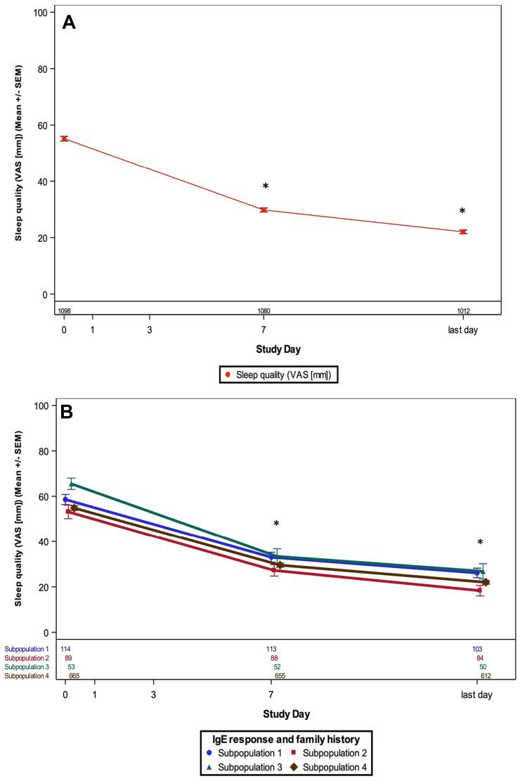
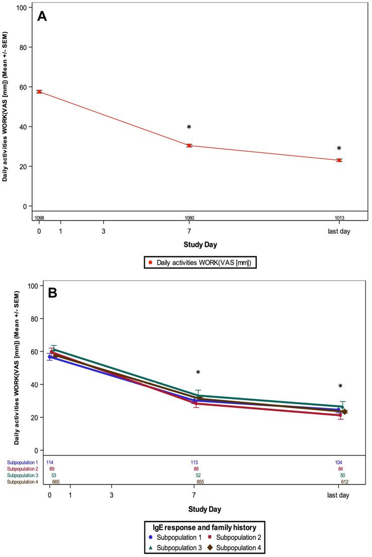
Following MP-AzeFlu treatment, mean VAS scores for sleep quality impairment and work or school impairment decreased from 55.2 mm at baseline to 22.1 mm and 57.6 mm at baseline to 23.0 mm, respectively, after ~14 days. Similar results were observed for mean VAS scores for impairment of social activity (55.1 mm to 22.4 mm) and impairment of outdoor activity (64.4 mm to 25.0 mm). For all VAS scores, results were similar across populations, regardless of phenotype of IgE-mediated disease, comorbidity, age, and sex.

CONCLUSION

MP-AzeFlu relieves symptoms and improves patient-reported QoL, illustrated by better sleep quality and less impairment of work, school, social, and outdoor activities after 14 days. The QoL benefits of MP-AzeFlu were consistent regardless of the phenotype of IgE-mediated disease.

REGISTRATION

Clinical Trial Registration (CTR) Number: EUPAS23075. Trial Register Date: March 12, 2018. First patient visit; Last patient visit: February 2018; April 2019.

摘要

目的

过敏性鼻炎(AR)控制不佳的患者会出现鼻部症状、睡眠障碍、活动受限以及生活质量(QoL)下降。MP-AzeFlu对中重度季节性和常年性AR安全有效,但其对生活质量的影响需要在现实世界中进行研究,尤其是在免疫球蛋白(Ig)E介导的AR表型中。这项观察性研究的亚分析通过评估睡眠质量和日常活动困扰来评估对MP-AzeFlu的反应。

患者与方法

这项多中心、前瞻性、非干预性的现实生活研究纳入了有中重度AR病史且出现急性AR症状(视觉模拟量表[VAS]≥50mm)的患者的便利样本。在使用MP-AzeFlu(137μg盐酸氮卓斯汀和50μg丙酸氟替卡松,通过每次在每个鼻孔喷入0.137mL单次剂量,每日两次)进行约14天的治疗期间,使用VAS对整个研究人群以及基于IgE反应表型的四个亚组评估睡眠质量和日常工作、学校、社交及户外活动困扰的变化。VAS评分范围从“完全无困扰”(0mm)到“极度困扰”(100mm)。

结果

MP-AzeFlu治疗后,睡眠质量受损和工作或学校活动受损的平均VAS评分分别从基线时的55.2mm降至约14天后的22.1mm,以及从基线时的57.6mm降至23.0mm。社交活动受损(从55.1mm降至22.4mm)和户外活动受损(从64.4mm降至25.0mm)的平均VAS评分也观察到类似结果。对于所有VAS评分,无论IgE介导疾病的表型、合并症、年龄和性别如何,各人群的结果相似。

结论

MP-AzeFlu可缓解症状并改善患者报告的生活质量,表现为14天后睡眠质量更好,工作、学校、社交和户外活动的受限更少。无论IgE介导疾病的表型如何,MP-AzeFlu对生活质量的益处都是一致的。

注册信息

临床试验注册号(CTR):EUPAS23075。试验注册日期:2018年3月12日。首例患者就诊时间;末例患者就诊时间:2018年2月;2019年4月。

https://cdn.ncbi.nlm.nih.gov/pmc/blobs/a845/7719305/96922797ae62/JAA-13-633-g0005.jpg
https://cdn.ncbi.nlm.nih.gov/pmc/blobs/a845/7719305/88e5e8fe15e1/JAA-13-633-g0001.jpg
https://cdn.ncbi.nlm.nih.gov/pmc/blobs/a845/7719305/6f6b81ed513b/JAA-13-633-g0002.jpg
https://cdn.ncbi.nlm.nih.gov/pmc/blobs/a845/7719305/4f02cce1dd78/JAA-13-633-g0003.jpg
https://cdn.ncbi.nlm.nih.gov/pmc/blobs/a845/7719305/f6eb8d6926c3/JAA-13-633-g0004.jpg
https://cdn.ncbi.nlm.nih.gov/pmc/blobs/a845/7719305/96922797ae62/JAA-13-633-g0005.jpg
https://cdn.ncbi.nlm.nih.gov/pmc/blobs/a845/7719305/88e5e8fe15e1/JAA-13-633-g0001.jpg
https://cdn.ncbi.nlm.nih.gov/pmc/blobs/a845/7719305/6f6b81ed513b/JAA-13-633-g0002.jpg
https://cdn.ncbi.nlm.nih.gov/pmc/blobs/a845/7719305/4f02cce1dd78/JAA-13-633-g0003.jpg
https://cdn.ncbi.nlm.nih.gov/pmc/blobs/a845/7719305/f6eb8d6926c3/JAA-13-633-g0004.jpg
https://cdn.ncbi.nlm.nih.gov/pmc/blobs/a845/7719305/96922797ae62/JAA-13-633-g0005.jpg

相似文献

1
MP-AzeFlu Improves the Quality-of-Life of Patients with Allergic Rhinitis.MP-AzeFlu可改善过敏性鼻炎患者的生活质量。
J Asthma Allergy. 2020 Dec 2;13:633-645. doi: 10.2147/JAA.S277734. eCollection 2020.
2
Allergic rhinitis and asthma symptoms in a real-life study of MP-AzeFlu to treat multimorbid allergic rhinitis and asthma.MP-AzeFlu治疗合并过敏性鼻炎和哮喘的现实生活研究中的过敏性鼻炎和哮喘症状
Clin Mol Allergy. 2020 Aug 6;18:15. doi: 10.1186/s12948-020-00130-9. eCollection 2020.
3
Effect of Specific Immunoglobulin E Response and Comorbidities on Effectiveness of MP-AzeFlu in a Real-Life Study.特定免疫球蛋白 E 反应和合并症对真实研究中 MP-AzeFlu 疗效的影响。
Int Arch Allergy Immunol. 2020;181(10):754-764. doi: 10.1159/000508749. Epub 2020 Aug 21.
4
Real-Life Effectiveness of MP-AzeFlu (Dymista) in Swedish Patients with Persistent Allergic Rhinitis, Assessed by the Visual Analogue Scale.通过视觉模拟量表评估MP-氮卓斯汀氟替卡松(Dymista)在瑞典持续性变应性鼻炎患者中的实际疗效。
Pragmat Obs Res. 2023 Jan 4;14:1-11. doi: 10.2147/POR.S375403. eCollection 2023.
5
MP-AzeFlu provides rapid and effective allergic rhinitis control: results of a non-interventional study in Denmark.MP-AzeFlu 可快速有效控制过敏性鼻炎:丹麦一项非干预性研究结果。
Int Forum Allergy Rhinol. 2019 Apr;9(4):388-395. doi: 10.1002/alr.22258. Epub 2019 Jan 19.
6
Real-life effectiveness of MP-AzeFlu in Irish patients with persistent allergic rhinitis, assessed by visual analogue scale and endoscopy.爱尔兰持续性变应性鼻炎患者的真实生活中 MP-AzeFlu 的疗效评估,通过视觉模拟评分和内镜检查。
Immun Inflamm Dis. 2018 Dec;6(4):456-464. doi: 10.1002/iid3.237. Epub 2018 Oct 11.
7
Multicentre, non-interventional study to assess the profile of patients with uncontrolled rhinitis prescribed a novel formulation of azelastine hydrochloride and fluticasone propionate in a single spray in routine clinical practice in the UK.一项多中心、非干预性研究,旨在评估在英国常规临床实践中,接受一种新型盐酸氮卓斯汀和丙酸氟替卡松单喷雾制剂治疗的未控制鼻炎患者的情况。
BMJ Open. 2017 Apr 24;7(4):e014777. doi: 10.1136/bmjopen-2016-014777.
8
A multicenter, prospective, noninterventional study in a Norwegian cohort of patients with moderate-to-severe allergic rhinitis treated with MP-AzeFlu.一项在挪威队列中对接受MP-AzeFlu治疗的中重度过敏性鼻炎患者进行的多中心、前瞻性、非干预性研究。
Allergy Rhinol (Providence). 2017 Oct 1;8(3):148-156. doi: 10.2500/ar.2017.8.0216.
9
Efficacy of a Novel Intranasal Formulation of Azelastine Hydrochloride and Fluticasone Propionate, Delivered in a Single Spray, for the Treatment of Seasonal Allergic Rhinitis: Results from Russia.一种新型单喷式盐酸氮卓斯汀和丙酸氟替卡松鼻内制剂治疗季节性变应性鼻炎的疗效:来自俄罗斯的结果
Int Arch Allergy Immunol. 2019;178(3):255-263. doi: 10.1159/000494507. Epub 2019 Jan 24.
10
A Clinical Study to Assess the Efficacy and Safety of MP-AzeFlu Nasal Spray in Comparison to Commercially Available Azelastine Hydrochloride and Fluticasone Propionate Nasal Sprays in Chinese Volunteers with Allergic Rhinitis.一项在中国变应性鼻炎志愿者中评估MP-氮卓斯汀氟替卡松鼻喷雾剂与市售盐酸氮卓斯汀和丙酸氟替卡松鼻喷雾剂相比的疗效和安全性的临床研究。
Pulm Ther. 2023 Sep;9(3):411-427. doi: 10.1007/s41030-023-00238-8. Epub 2023 Aug 14.

引用本文的文献

1
A Clinical Study to Assess the Efficacy and Safety of MP-AzeFlu Nasal Spray in Comparison to Commercially Available Azelastine Hydrochloride and Fluticasone Propionate Nasal Sprays in Chinese Volunteers with Allergic Rhinitis.一项在中国变应性鼻炎志愿者中评估MP-氮卓斯汀氟替卡松鼻喷雾剂与市售盐酸氮卓斯汀和丙酸氟替卡松鼻喷雾剂相比的疗效和安全性的临床研究。
Pulm Ther. 2023 Sep;9(3):411-427. doi: 10.1007/s41030-023-00238-8. Epub 2023 Aug 14.

本文引用的文献

1
Allergic rhinitis and asthma symptoms in a real-life study of MP-AzeFlu to treat multimorbid allergic rhinitis and asthma.MP-AzeFlu治疗合并过敏性鼻炎和哮喘的现实生活研究中的过敏性鼻炎和哮喘症状
Clin Mol Allergy. 2020 Aug 6;18:15. doi: 10.1186/s12948-020-00130-9. eCollection 2020.
2
Next-generation Allergic Rhinitis and Its Impact on Asthma (ARIA) guidelines for allergic rhinitis based on Grading of Recommendations Assessment, Development and Evaluation (GRADE) and real-world evidence.基于推荐评估、制定与评价(GRADE)分级和真实世界证据的新一代变应性鼻炎及其对哮喘(ARIA)指南:变应性鼻炎。
J Allergy Clin Immunol. 2020 Jan;145(1):70-80.e3. doi: 10.1016/j.jaci.2019.06.049. Epub 2019 Oct 15.
3
Quality of Life and Work Productivity Impairment of Patients with Allergic Occupational Rhinitis.
过敏性职业性鼻炎患者的生活质量和工作效率损害
Tanaffos. 2019 Jan;18(1):58-65.
4
Real-life effectiveness of MP-AzeFlu in Irish patients with persistent allergic rhinitis, assessed by visual analogue scale and endoscopy.爱尔兰持续性变应性鼻炎患者的真实生活中 MP-AzeFlu 的疗效评估,通过视觉模拟评分和内镜检查。
Immun Inflamm Dis. 2018 Dec;6(4):456-464. doi: 10.1002/iid3.237. Epub 2018 Oct 11.
5
Association of Asthma and Allergic Rhinitis With Sleep-Disordered Breathing in Childhood.儿童哮喘和变应性鼻炎与睡眠呼吸障碍的关联
Front Pediatr. 2018 Sep 11;6:250. doi: 10.3389/fped.2018.00250. eCollection 2018.
6
Impact of Rhinitis on Work Productivity: A Systematic Review.鼻炎对工作生产力的影响:系统评价。
J Allergy Clin Immunol Pract. 2018 Jul-Aug;6(4):1274-1286.e9. doi: 10.1016/j.jaip.2017.09.002. Epub 2017 Oct 7.
7
Nasal obstructive disorders impair health-related quality of life in adolescents with persistent allergic rhinitis: A real-life study.鼻腔阻塞性疾病会损害持续性变应性鼻炎青少年的健康相关生活质量:一项真实研究。
Pediatr Allergy Immunol. 2017 Aug;28(5):438-445. doi: 10.1111/pai.12724. Epub 2017 Jun 19.
8
Visual analogue scales (VAS): Measuring instruments for the documentation of symptoms and therapy monitoring in cases of allergic rhinitis in everyday health care: Position Paper of the German Society of Allergology (AeDA) and the German Society of Allergy and Clinical Immunology (DGAKI), ENT Section, in collaboration with the working group on Clinical Immunology, Allergology and Environmental Medicine of the German Society of Otorhinolaryngology, Head and Neck Surgery (DGHNOKHC).视觉模拟量表(VAS):用于日常医疗中过敏性鼻炎症状记录和治疗监测的测量工具:德国变态反应学会(AeDA)和德国变态反应与临床免疫学会(DGAKI)耳鼻喉科分会与德国耳鼻咽喉头颈外科学会(DGHNOKHC)临床免疫学、变态反应学和环境医学工作组合作发表的立场文件
Allergo J Int. 2017;26(1):16-24. doi: 10.1007/s40629-016-0006-7. Epub 2017 Jan 19.
9
Allergic rhinitis severity can be assessed using a visual analogue scale in mild, moderate and severe.变应性鼻炎的严重程度可使用视觉模拟量表评估为轻度、中度和重度。
Rhinology. 2017 Mar 1;55(1):34-38. doi: 10.4193/Rhin16.025.
10
Olfaction in patients with allergic rhinitis: an indicator of successful MP-AzeFlu therapy.变应性鼻炎患者的嗅觉:MP-AzeFlu治疗成功的一项指标。
Int Forum Allergy Rhinol. 2017 Mar;7(3):287-292. doi: 10.1002/alr.21877. Epub 2016 Nov 26.