Department of Anesthesiology, Changhua Christian Hospital, Changhua 500, Taiwan.
Institute of Medicine, Chung Shan Medical University, Taichung 402, Taiwan.
Medicina (Kaunas). 2020 Dec 10;56(12):681. doi: 10.3390/medicina56120681.
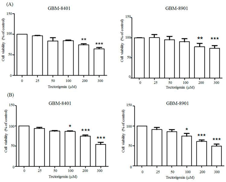
Glioblastoma is one of the leading cancer-related causes of death of the brain region and has an average 5-year survival rate of less than 5%. The aim of this study was to investigate the effectiveness of tectorigenin, a naturally occurring flavonoid compound with anti-inflammatory, anti-oxidant, and anti-tumor properties, as a treatment for glioblastoma. A further goal was to use in vitro models to determine the underlying molecular mechanisms. Exposure to tectorigenin for 24 h dose-dependently reduced the viability of glioblastoma cells. Significant cell cycle arrest at G0/G1 phase occurred in the presence of 200 and 300 µM tectorigenin. Treatment with tectorigenin clearly reduced the levels of phosphorylated retinoblastoma protein (p-RB) and decreased the expression of cyclin-dependent protein 4 (CDK4). Tectorigenin treatment also significantly enhanced the expression of p21, a CDK4 inhibitor. Collectively, our findings indicated that tectorigenin inhibited the proliferation of glioblastoma cells by cell cycle arrest at the G0/G1 phase.
胶质母细胞瘤是导致大脑区域死亡的主要癌症原因之一,其平均 5 年生存率不足 5%。本研究旨在探讨具有抗炎、抗氧化和抗肿瘤特性的天然类黄酮化合物水黄皮素作为胶质母细胞瘤治疗方法的有效性。另一个目标是使用体外模型来确定潜在的分子机制。暴露于水黄皮素 24 小时可呈剂量依赖性降低胶质母细胞瘤细胞的活力。在存在 200 和 300 µM 水黄皮素的情况下,细胞周期明显在 G0/G1 期停滞。水黄皮素处理还明显降低了磷酸化视网膜母细胞瘤蛋白 (p-RB) 的水平,并降低了周期蛋白依赖性蛋白 4 (CDK4) 的表达。水黄皮素处理还显著增强了 CDK4 抑制剂 p21 的表达。总的来说,我们的研究结果表明,水黄皮素通过细胞周期在 G0/G1 期停滞来抑制胶质母细胞瘤细胞的增殖。