• 文献检索
  • 文档翻译
  • 深度研究
  • 学术资讯
  • Suppr Zotero 插件Zotero 插件
  • 邀请有礼
  • 套餐&价格
  • 历史记录
应用&插件
Suppr Zotero 插件Zotero 插件浏览器插件Mac 客户端Windows 客户端微信小程序
定价
高级版会员购买积分包购买API积分包
服务
文献检索文档翻译深度研究API 文档MCP 服务
关于我们
关于 Suppr公司介绍联系我们用户协议隐私条款
关注我们

Suppr 超能文献

核心技术专利:CN118964589B侵权必究
粤ICP备2023148730 号-1Suppr @ 2026

文献检索

告别复杂PubMed语法,用中文像聊天一样搜索,搜遍4000万医学文献。AI智能推荐,让科研检索更轻松。

立即免费搜索

文件翻译

保留排版,准确专业,支持PDF/Word/PPT等文件格式,支持 12+语言互译。

免费翻译文档

深度研究

AI帮你快速写综述,25分钟生成高质量综述,智能提取关键信息,辅助科研写作。

立即免费体验

发热期较高的血浆病毒血症与不良登革热结局相关,而与感染血清型或宿主免疫状态无关:对 5642 例越南病例的分析。

Higher Plasma Viremia in the Febrile Phase Is Associated With Adverse Dengue Outcomes Irrespective of Infecting Serotype or Host Immune Status: An Analysis of 5642 Vietnamese Cases.

机构信息

Oxford University Clinical Research Unit, Hospital for Tropical Diseases, Ho Chi Minh City, Vietnam.

University of Medicine and Pharmacy at Ho Chi Minh City, Ho Chi Minh City, Vietnam.

出版信息

Clin Infect Dis. 2021 Jun 15;72(12):e1074-e1083. doi: 10.1093/cid/ciaa1840.

DOI:10.1093/cid/ciaa1840
PMID:33340040
原文链接:https://pmc.ncbi.nlm.nih.gov/articles/PMC8204785/
Abstract

BACKGROUND

One of the generally accepted constructs of dengue pathogenesis is that clinical disease severity is at least partially dependent upon plasma viremia, yet data on plasma viremia in primary versus secondary infections and in relation to clinically relevant endpoints remain limited and contradictory.

METHODS

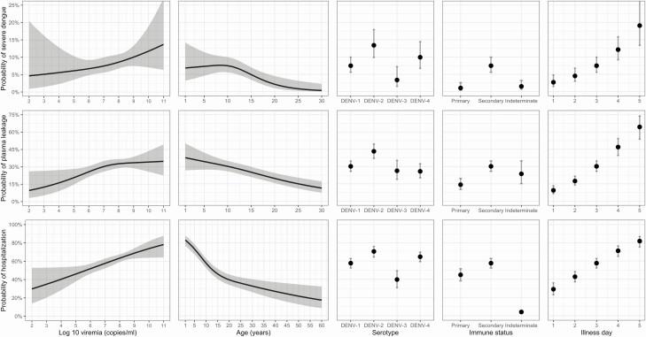
Using a large database comprising detailed clinical and laboratory characterization of Vietnamese participants enrolled in a series of research studies executed over a 15-year period, we explored relationships between plasma viremia measured by reverse transcription-polymerase chain reaction and 3 clinically relevant endpoints-severe dengue, plasma leakage, and hospitalization-in the dengue-confirmed cases. All 4 dengue serotypes and both primary and secondary infections were well represented. In our logistic regression models we allowed for a nonlinear effect of viremia and for associations between viremia and outcome to differ by age, serotype, host immune status, and illness day at study enrollment.

RESULTS

Among 5642 dengue-confirmed cases we identified 259 (4.6%) severe dengue cases, 701 (12.4%) patients with plasma leakage, and 1441 of 4008 (40.0%) patients recruited in outpatient settings who were subsequently hospitalized. From the early febrile phase onwards, higher viremia increased the risk of developing all 3 endpoints, but effect sizes were modest (ORs ranging from 1.12-1.27 per 1-log increase) compared with the effects of a secondary immune response (ORs, 1.67-7.76). The associations were consistent across age, serotype, and immune status groups, and in the various sensitivity and subgroup analyses we undertook.

CONCLUSIONS

Higher plasma viremia is associated with increased dengue severity, regardless of serotype or immune status.

摘要

背景

登革热发病机制的公认构建之一是临床疾病严重程度至少部分取决于血浆病毒血症,但关于原发性和继发性感染以及与临床相关终点的血浆病毒血症的数据仍然有限且相互矛盾。

方法

利用一个大型数据库,该数据库包含了在过去 15 年期间进行的一系列研究中登记的越南参与者的详细临床和实验室特征,我们探讨了通过逆转录-聚合酶链反应测量的血浆病毒血症与 3 个临床相关终点(重症登革热、血浆渗漏和住院)之间的关系,在确诊的登革热病例中。所有 4 种登革热血清型和原发性及继发性感染均有很好的代表性。在我们的逻辑回归模型中,我们允许病毒血症的非线性效应,并允许病毒血症与结局之间的关联因年龄、血清型、宿主免疫状态和研究入组时的疾病日而有所不同。

结果

在 5642 例确诊的登革热病例中,我们确定了 259 例(4.6%)重症登革热病例、701 例(12.4%)血浆渗漏患者和 4008 例(40.0%)在门诊招募的患者中随后住院的患者。从发热早期开始,更高的病毒血症增加了发生所有 3 个终点的风险,但与二次免疫反应的影响相比,影响程度较小(每增加 1 个对数增加 1.12-1.27 的 OR)。这些关联在年龄、血清型和免疫状态组以及我们进行的各种敏感性和亚组分析中是一致的。

结论

无论血清型或免疫状态如何,较高的血浆病毒血症与登革热严重程度的增加相关。

https://cdn.ncbi.nlm.nih.gov/pmc/blobs/fcd7/8204785/261643f696d1/ciaa1840f0004.jpg
https://cdn.ncbi.nlm.nih.gov/pmc/blobs/fcd7/8204785/e4d3ee11a327/ciaa1840f0001.jpg
https://cdn.ncbi.nlm.nih.gov/pmc/blobs/fcd7/8204785/2480e8b5ab1b/ciaa1840f0002.jpg
https://cdn.ncbi.nlm.nih.gov/pmc/blobs/fcd7/8204785/b2c1da5c68f2/ciaa1840f0003.jpg
https://cdn.ncbi.nlm.nih.gov/pmc/blobs/fcd7/8204785/261643f696d1/ciaa1840f0004.jpg
https://cdn.ncbi.nlm.nih.gov/pmc/blobs/fcd7/8204785/e4d3ee11a327/ciaa1840f0001.jpg
https://cdn.ncbi.nlm.nih.gov/pmc/blobs/fcd7/8204785/2480e8b5ab1b/ciaa1840f0002.jpg
https://cdn.ncbi.nlm.nih.gov/pmc/blobs/fcd7/8204785/b2c1da5c68f2/ciaa1840f0003.jpg
https://cdn.ncbi.nlm.nih.gov/pmc/blobs/fcd7/8204785/261643f696d1/ciaa1840f0004.jpg

相似文献

1
Higher Plasma Viremia in the Febrile Phase Is Associated With Adverse Dengue Outcomes Irrespective of Infecting Serotype or Host Immune Status: An Analysis of 5642 Vietnamese Cases.发热期较高的血浆病毒血症与不良登革热结局相关,而与感染血清型或宿主免疫状态无关:对 5642 例越南病例的分析。
Clin Infect Dis. 2021 Jun 15;72(12):e1074-e1083. doi: 10.1093/cid/ciaa1840.
2
Dengue viremia kinetics and effects on platelet count and clinical outcomes: An analysis of 2340 patients from Vietnam.登革热病毒血症动力学及其对血小板计数和临床结局的影响:来自越南 2340 例患者的分析。
Elife. 2024 Jun 21;13:RP92606. doi: 10.7554/eLife.92606.
3
Dengue and dengue hemorrhagic fever among adults: clinical outcomes related to viremia, serotypes, and antibody response.成人中的登革热和登革出血热:与病毒血症、血清型及抗体反应相关的临床结局
J Infect Dis. 2008 Mar 15;197(6):817-24. doi: 10.1086/528805.
4
Kinetics of viremia and NS1 antigenemia are shaped by immune status and virus serotype in adults with dengue.登革热患者的病毒血症和 NS1 抗原血症动力学受免疫状态和病毒血清型的影响。
PLoS Negl Trop Dis. 2011 Sep;5(9):e1309. doi: 10.1371/journal.pntd.0001309. Epub 2011 Sep 6.
5
Correction to: Higher Plasma Viremia in the Febrile Phase Is Associated With Adverse Dengue Outcomes Irrespective of Infecting Serotype or Host Immune Status: An Analysis of 5642 Vietnamese Cases.对《发热期较高的血浆病毒血症与登革热不良结局相关,与感染血清型或宿主免疫状态无关:5642例越南病例分析》的更正
Clin Infect Dis. 2023 Apr 17;76(8):1531. doi: 10.1093/cid/ciad081.
6
Kinetics of plasma viremia and soluble nonstructural protein 1 concentrations in dengue: differential effects according to serotype and immune status.登革热患者血浆病毒血症和可溶性非结构蛋白 1 浓度动力学:血清型和免疫状态的不同影响。
J Infect Dis. 2011 May 1;203(9):1292-300. doi: 10.1093/infdis/jir014. Epub 2011 Feb 18.
7
The association between dengue viremia kinetics and dengue severity: A systemic review and meta-analysis.登革热病毒血症动力学与登革热严重程度之间的关系:系统评价和荟萃分析。
Rev Med Virol. 2020 Nov;30(6):1-10. doi: 10.1002/rmv.2121. Epub 2020 Aug 28.
8
Dengue viremia titer, antibody response pattern, and virus serotype correlate with disease severity.登革病毒血症滴度、抗体反应模式和病毒血清型与疾病严重程度相关。
J Infect Dis. 2000 Jan;181(1):2-9. doi: 10.1086/315215.
9
Kinetics of dengue viremia and its association with disease severity: an ambispective study.登革病毒血症的动力学及其与疾病严重程度的关联:一项回顾性队列研究
Virusdisease. 2024 Jun;35(2):250-259. doi: 10.1007/s13337-024-00872-z. Epub 2024 Jun 29.
10
Predominant secondary dengue infection among Vietnamese adults mostly without warning signs and severe disease.越南成年人中以无明显预警症状和无重症为主的主要次要登革热感染。
Int J Infect Dis. 2020 Nov;100:316-323. doi: 10.1016/j.ijid.2020.08.082. Epub 2020 Sep 5.

引用本文的文献

1
Early NK-cell and T-cell dysfunction marks progression to severe dengue in patients with obesity and healthy weight.早期自然杀伤细胞和T细胞功能障碍标志着肥胖和体重正常的登革热患者病情进展为重症登革热。
Nat Commun. 2025 Jul 1;16(1):5569. doi: 10.1038/s41467-025-60941-9.
2
Emergence of a Novel Dengue Virus Serotype-2 Genotype IV Lineage III Strain and Displacement of Dengue Virus Serotype-1 in Central India (2019-2023).印度中部新型登革病毒2型基因型IV谱系III毒株的出现及登革病毒1型的取代(2019 - 2023年)
Viruses. 2025 Jan 23;17(2):144. doi: 10.3390/v17020144.
3
Are viral loads in the febrile phase a predictive factor of dengue disease severity?

本文引用的文献

1
Mapping global variation in dengue transmission intensity.绘制登革热传播强度的全球变化图。
Sci Transl Med. 2020 Jan 29;12(528). doi: 10.1126/scitranslmed.aax4144.
2
Dengue.登革热。
Lancet. 2019 Jan 26;393(10169):350-363. doi: 10.1016/S0140-6736(18)32560-1.
3
Development of standard clinical endpoints for use in dengue interventional trials.制定用于登革热干预试验的标准临床终点。
发热期病毒载量是否为登革热疾病严重程度的预测因素?
BMC Infect Dis. 2024 Nov 5;24(1):1248. doi: 10.1186/s12879-024-10152-2.
4
Estimating the force of infection of four dengue serotypes from serological studies in two regions of Vietnam.估算越南两个地区血清学研究中四种登革热血清型的感染力度。
PLoS Negl Trop Dis. 2024 Oct 7;18(10):e0012568. doi: 10.1371/journal.pntd.0012568. eCollection 2024 Oct.
5
Dengue in Pune city, India (2017-2019): a comprehensive analysis.印度浦那市的登革热(2017-2019 年):综合分析。
Front Public Health. 2024 Sep 20;12:1354510. doi: 10.3389/fpubh.2024.1354510. eCollection 2024.
6
Immunologic Crosstalk and Host-Specific Immune Signature Associated with Dengue.与登革热相关的免疫串扰和宿主特异性免疫特征
ACS Omega. 2024 Aug 20;9(36):37418-37429. doi: 10.1021/acsomega.4c02506. eCollection 2024 Sep 10.
7
Are viral loads in the febrile phase a predictive factor of dengue disease severity?发热期的病毒载量是登革热疾病严重程度的预测因素吗?
Res Sq. 2024 Aug 26:rs.3.rs-4771323. doi: 10.21203/rs.3.rs-4771323/v1.
8
Larval crowding enhances dengue virus loads in Aedes aegypti, a relationship that might increase transmission in urban environments.幼虫拥挤会增加埃及伊蚊中的登革热病毒载量,这种关系可能会增加城市环境中的传播。
PLoS Negl Trop Dis. 2024 Sep 10;18(9):e0012482. doi: 10.1371/journal.pntd.0012482. eCollection 2024 Sep.
9
Dengue viremia kinetics and effects on platelet count and clinical outcomes: An analysis of 2340 patients from Vietnam.登革热病毒血症动力学及其对血小板计数和临床结局的影响:来自越南 2340 例患者的分析。
Elife. 2024 Jun 21;13:RP92606. doi: 10.7554/eLife.92606.
10
Markers of prolonged hospitalisation in severe dengue.严重登革热患者延长住院时间的标志物。
PLoS Negl Trop Dis. 2024 Jan 30;18(1):e0011922. doi: 10.1371/journal.pntd.0011922. eCollection 2024 Jan.
PLoS Negl Trop Dis. 2018 Oct 4;12(10):e0006497. doi: 10.1371/journal.pntd.0006497. eCollection 2018 Oct.
4
Clinical manifestations of dengue in relation to dengue serotype and genotype in Malaysia: A retrospective observational study.马来西亚登革热血清型和基因型与临床表现的关系:一项回顾性观察研究。
PLoS Negl Trop Dis. 2018 Sep 18;12(9):e0006817. doi: 10.1371/journal.pntd.0006817. eCollection 2018 Sep.
5
The Good, the Bad, and the Shocking: The Multiple Roles of Dengue Virus Nonstructural Protein 1 in Protection and Pathogenesis.好、坏、惊:登革病毒非结构蛋白 1 在保护和发病机制中的多重作用。
Annu Rev Virol. 2018 Sep 29;5(1):227-253. doi: 10.1146/annurev-virology-101416-041848. Epub 2018 Jul 25.
6
Antibody-dependent enhancement of severe dengue disease in humans.抗体依赖增强作用在人类严重登革热疾病中的表现
Science. 2017 Nov 17;358(6365):929-932. doi: 10.1126/science.aan6836. Epub 2017 Nov 2.
7
Pathogenesis of vascular leak in dengue virus infection.登革病毒感染中血管渗漏的发病机制。
Immunology. 2017 Jul;151(3):261-269. doi: 10.1111/imm.12748. Epub 2017 May 24.
8
Magnitude of viremia, antigenemia and infection of circulating monocytes in children with mild and severe dengue.轻度和重度登革热患儿的病毒血症、抗原血症程度及循环单核细胞感染情况
Acta Trop. 2017 Mar;167:1-8. doi: 10.1016/j.actatropica.2016.12.011. Epub 2016 Dec 13.
9
Dengue Virus NS1 Disrupts the Endothelial Glycocalyx, Leading to Hyperpermeability.登革病毒非结构蛋白1破坏内皮糖萼,导致通透性增加。
PLoS Pathog. 2016 Jul 14;12(7):e1005738. doi: 10.1371/journal.ppat.1005738. eCollection 2016 Jul.
10
Immune Response to Dengue Virus Infection in Pediatric Patients in New Delhi, India--Association of Viremia, Inflammatory Mediators and Monocytes with Disease Severity.印度新德里儿科患者对登革热病毒感染的免疫反应——病毒血症、炎症介质和单核细胞与疾病严重程度的关联
PLoS Negl Trop Dis. 2016 Mar 16;10(3):e0004497. doi: 10.1371/journal.pntd.0004497. eCollection 2016 Mar.