• 文献检索
  • 文档翻译
  • 深度研究
  • 学术资讯
  • Suppr Zotero 插件Zotero 插件
  • 邀请有礼
  • 套餐&价格
  • 历史记录
应用&插件
Suppr Zotero 插件Zotero 插件浏览器插件Mac 客户端Windows 客户端微信小程序
定价
高级版会员购买积分包购买API积分包
服务
文献检索文档翻译深度研究API 文档MCP 服务
关于我们
关于 Suppr公司介绍联系我们用户协议隐私条款
关注我们

Suppr 超能文献

核心技术专利:CN118964589B侵权必究
粤ICP备2023148730 号-1Suppr @ 2026

文献检索

告别复杂PubMed语法,用中文像聊天一样搜索,搜遍4000万医学文献。AI智能推荐,让科研检索更轻松。

立即免费搜索

文件翻译

保留排版,准确专业,支持PDF/Word/PPT等文件格式,支持 12+语言互译。

免费翻译文档

深度研究

AI帮你快速写综述,25分钟生成高质量综述,智能提取关键信息,辅助科研写作。

立即免费体验

D-二聚体作为 COVID-19 疾病严重程度的潜在生物标志物。

D-Dimer as a potential biomarker for disease severity in COVID-19.

机构信息

Pamukkale University, Medical Faculty, Department of Emergency Medicine, 20070 Denizli, Turkey.

Pamukkale University, Medical Faculty, Department of Emergency Medicine, 20070 Denizli, Turkey.

出版信息

Am J Emerg Med. 2021 Feb;40:55-59. doi: 10.1016/j.ajem.2020.12.023. Epub 2020 Dec 14.

DOI:10.1016/j.ajem.2020.12.023
PMID:33348224
原文链接:https://pmc.ncbi.nlm.nih.gov/articles/PMC7837156/
Abstract

INTRODUCTION

This study seeks to determine the utility of D-dimer levels as a biomarker in determining disease severity and prognosis in COVID-19.

METHODS

Clinical, imaging and laboratory data of 120 patients whose COVID-19 diagnosis based on RT-PCR were evaluated retrospectively. Clinically, the severity of COVID-19 was classified as noncomplicated or mild or severe pneumonia. Radiologically, the area of affected lungs compatible with viral pneumonia in each patient's computed tomography was classified as either 0-30% or ≥ 31% of the total lung area. The D-dimer values and laboratory data of patients with COVID-19 were compared with inpatient status, duration of hospitalization, and lung involvement during treatment and follow-up. To assess the predictive value of D-dimer, receiver operating characteristic (ROC) analysis was conducted.

RESULTS

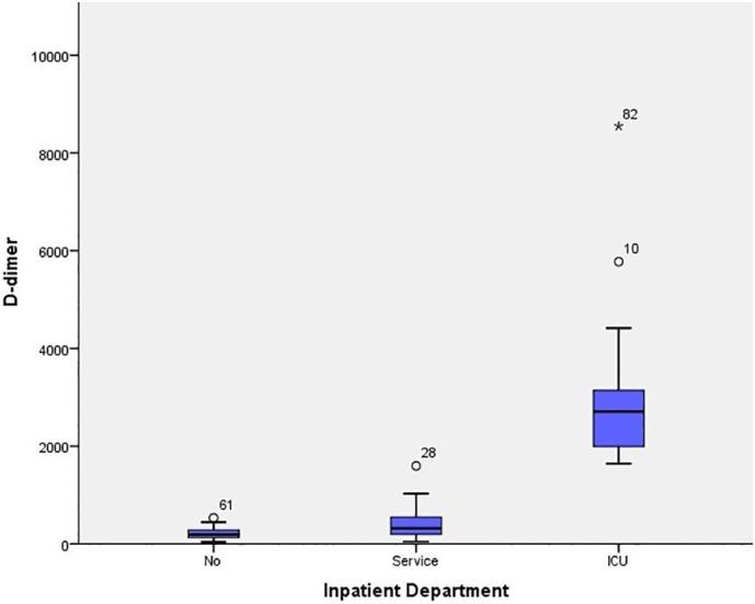
D-dimer elevation (> 243 ng/ml) was detected in 63.3% (76/120) of the patients. The mean D-dimer value was calculated as 3144.50 ± 1709.4 ng/ml (1643-8548) for inpatients with severe pneumonia in the intensive care unit. D-Dimer values showed positive correlations with age, duration of stay, lung involvement, fibrinogen, neutrophil count, neutrophil lymphocyte ratio (NLR) and platelet lymphocyte ratio (PLR). When the threshold D-dimer value was 370 ng/ml in the ROC analysis, this value was calculated to have 77% specificity and 74% sensitivity for lung involvement in patients with COVID-19.

CONCLUSION

D-Dimer levels in patients with COVID-19 correlate with outcome, but further studies are needed to see how useful they are in determining prognosis.

摘要

简介

本研究旨在确定 D-二聚体水平作为 COVID-19 疾病严重程度和预后的生物标志物的效用。

方法

回顾性评估了 120 名基于 RT-PCR 诊断为 COVID-19 的患者的临床、影像学和实验室数据。临床上,将 COVID-19 的严重程度分为非复杂性或轻度或重度肺炎。影像学上,将每位患者 CT 扫描中与病毒性肺炎相符的受影响肺部区域分为总肺面积的 0-30%或≥31%。将 COVID-19 患者的 D-二聚体值和实验室数据与住院状态、住院时间以及治疗和随访期间的肺部受累情况进行比较。为了评估 D-二聚体的预测价值,进行了接收者操作特征(ROC)分析。

结果

在 63.3%(76/120)的患者中检测到 D-二聚体升高(> 243 ng/ml)。在重症监护病房中患有严重肺炎的住院患者中,平均 D-二聚体值计算为 3144.50 ± 1709.4 ng/ml(1643-8548)。D-二聚体值与年龄、住院时间、肺部受累、纤维蛋白原、中性粒细胞计数、中性粒细胞淋巴细胞比(NLR)和血小板淋巴细胞比(PLR)呈正相关。当 ROC 分析中的阈值 D-二聚体值为 370 ng/ml 时,该值计算出对 COVID-19 患者肺部受累的特异性为 77%,敏感性为 74%。

结论

COVID-19 患者的 D-二聚体水平与结局相关,但需要进一步研究以确定其在确定预后方面的有用性。

https://cdn.ncbi.nlm.nih.gov/pmc/blobs/6b07/7837156/476f150ef6de/gr4_lrg.jpg
https://cdn.ncbi.nlm.nih.gov/pmc/blobs/6b07/7837156/d74fd05dc7c9/gr1_lrg.jpg
https://cdn.ncbi.nlm.nih.gov/pmc/blobs/6b07/7837156/a52336c3a056/gr2_lrg.jpg
https://cdn.ncbi.nlm.nih.gov/pmc/blobs/6b07/7837156/bbaf3a3b5216/gr3_lrg.jpg
https://cdn.ncbi.nlm.nih.gov/pmc/blobs/6b07/7837156/476f150ef6de/gr4_lrg.jpg
https://cdn.ncbi.nlm.nih.gov/pmc/blobs/6b07/7837156/d74fd05dc7c9/gr1_lrg.jpg
https://cdn.ncbi.nlm.nih.gov/pmc/blobs/6b07/7837156/a52336c3a056/gr2_lrg.jpg
https://cdn.ncbi.nlm.nih.gov/pmc/blobs/6b07/7837156/bbaf3a3b5216/gr3_lrg.jpg
https://cdn.ncbi.nlm.nih.gov/pmc/blobs/6b07/7837156/476f150ef6de/gr4_lrg.jpg

相似文献

1
D-Dimer as a potential biomarker for disease severity in COVID-19.D-二聚体作为 COVID-19 疾病严重程度的潜在生物标志物。
Am J Emerg Med. 2021 Feb;40:55-59. doi: 10.1016/j.ajem.2020.12.023. Epub 2020 Dec 14.
2
The clinical implication of dynamic neutrophil to lymphocyte ratio and D-dimer in COVID-19: A retrospective study in Suzhou China.新冠肺炎患者中性粒细胞与淋巴细胞比值和 D-二聚体的临床意义:中国苏州的一项回顾性研究。
Thromb Res. 2020 Aug;192:3-8. doi: 10.1016/j.thromres.2020.05.006. Epub 2020 May 6.
3
Dynamic changes of D-dimer and neutrophil-lymphocyte count ratio as prognostic biomarkers in COVID-19.新冠肺炎患者 D-二聚体和中性粒细胞-淋巴细胞比值的动态变化作为预后生物标志物。
Respir Res. 2020 Jul 3;21(1):169. doi: 10.1186/s12931-020-01428-7.
4
D-dimer as a biomarker for assessment of COVID-19 prognosis: D-dimer levels on admission and its role in predicting disease outcome in hospitalized patients with COVID-19.D-二聚体作为评估 COVID-19 预后的生物标志物:入院时的 D-二聚体水平及其在预测 COVID-19 住院患者疾病结局中的作用。
PLoS One. 2021 Aug 26;16(8):e0256744. doi: 10.1371/journal.pone.0256744. eCollection 2021.
5
Biomarkers for the prediction of venous thromboembolism in critically ill COVID-19 patients.用于预测危重症 COVID-19 患者静脉血栓栓塞症的生物标志物。
Thromb Res. 2020 Dec;196:308-312. doi: 10.1016/j.thromres.2020.09.017. Epub 2020 Sep 15.
6
Utility of inflammatory biomarkers in patients with COVID-19 infections: Bahrain experience.炎症生物标志物在 COVID-19 感染患者中的应用:巴林经验。
Biomark Med. 2021 Jun;15(8):541-549. doi: 10.2217/bmm-2020-0422. Epub 2021 May 14.
7
Calculated plasma osmolality at hospital admission correlates well with eGFR and D-Dimer, a simple outcome predictor and guiding tool for management of severe COVID-19 patients.入院时计算的血浆渗透压与 eGFR 和 D-二聚体密切相关,是严重 COVID-19 患者管理的简单预后预测指标和指导工具。
Diabetes Metab Syndr. 2021 Sep-Oct;15(5):102240. doi: 10.1016/j.dsx.2021.102240. Epub 2021 Aug 10.
8
Wells Score to Predict Pulmonary Embolism in Patients with Coronavirus Disease 2019.Wells 评分预测 2019 冠状病毒病患者的肺栓塞。
Am J Med. 2021 May;134(5):688-690. doi: 10.1016/j.amjmed.2020.10.044. Epub 2020 Dec 11.
9
Neutrophil-to-lymphocyte ratio, a critical predictor for assessment of disease severity in patients with COVID-19.中性粒细胞与淋巴细胞比值,新冠肺炎患者疾病严重程度评估的关键预测指标。
Int J Lab Hematol. 2021 Apr;43(2):329-335. doi: 10.1111/ijlh.13374. Epub 2020 Oct 25.
10
The value of clinical parameters in predicting the severity of COVID-19.临床参数在预测 COVID-19 严重程度中的价值。
J Med Virol. 2020 Oct;92(10):2188-2192. doi: 10.1002/jmv.26031. Epub 2020 Jun 2.

引用本文的文献

1
Determination of both the expression and serum levels of epidermal growth factor and transforming growth factor β1 genes in COVID-19.新型冠状病毒肺炎中表皮生长因子和转化生长因子β1基因的表达及血清水平测定
Sci Rep. 2025 Mar 21;15(1):9771. doi: 10.1038/s41598-025-92304-1.
2
A Review on Risk Factors, Traditional Diagnostic Techniques, and Biomarkers for Pneumonia Prognostication and Management in Diabetic Patients.糖尿病患者肺炎预后与管理的危险因素、传统诊断技术及生物标志物综述
Diseases. 2024 Dec 2;12(12):310. doi: 10.3390/diseases12120310.
3
Impact of Immune Abnormalities on COVID-19 Vaccine Effectiveness in Infected Patients.

本文引用的文献

1
D-dimer as a biomarker for disease severity and mortality in COVID-19 patients: a case control study.D-二聚体作为COVID-19患者疾病严重程度和死亡率的生物标志物:一项病例对照研究。
J Intensive Care. 2020 Jul 10;8:49. doi: 10.1186/s40560-020-00466-z. eCollection 2020.
2
Evaluation of variation in D-dimer levels among COVID-19 and bacterial pneumonia: a retrospective analysis.评估 COVID-19 和细菌性肺炎患者 D-二聚体水平的变化:一项回顾性分析。
J Thromb Thrombolysis. 2020 Oct;50(3):548-557. doi: 10.1007/s11239-020-02171-y.
3
Clinical features, laboratory characteristics, and outcomes of patients hospitalized with coronavirus disease 2019 (COVID-19): Early report from the United States.
免疫异常对感染患者新冠疫苗有效性的影响。
Cureus. 2024 Nov 21;16(11):e74182. doi: 10.7759/cureus.74182. eCollection 2024 Nov.
4
CT pulmonary angiography in the inpatients: A 5-year retrospective view at the end of COVID-19 public health emergency.住院患者的 CT 肺动脉造影:COVID-19 公共卫生紧急事件结束后的 5 年回顾性观察。
Medicine (Baltimore). 2024 Nov 8;103(45):e40351. doi: 10.1097/MD.0000000000040351.
5
Association Between Coagulation Fibrinolysis Markers and Severity in Patients with COVID-19.凝血纤溶标志物与 COVID-19 患者严重程度的关系。
Clin Appl Thromb Hemost. 2024 Jan-Dec;30:10760296241298233. doi: 10.1177/10760296241298233.
6
CT pulmonary angiography in the emergency department: utilization and positivity rates during various phases of the COVID-19 pandemic.急诊科 CT 肺动脉造影:COVID-19 大流行不同阶段的使用情况和阳性率。
Emerg Radiol. 2024 Jun;31(3):293-301. doi: 10.1007/s10140-024-02218-0. Epub 2024 Mar 23.
7
Changes in the Fibrinolytic System of Patients Infected with Severe Acute Respiratory Syndrome Coronavirus 2.感染严重急性呼吸综合征冠状病毒2型患者纤溶系统的变化
J Clin Med. 2023 Aug 10;12(16):5223. doi: 10.3390/jcm12165223.
8
Statins and Hemostasis: Therapeutic Potential Based on Clinical Evidence.他汀类药物与止血:基于临床证据的治疗潜力。
Adv Exp Med Biol. 2023;1408:25-47. doi: 10.1007/978-3-031-26163-3_2.
9
Value of Laboratory Indicators in Predicting Pneumonia in Symptomatic COVID-19 Patients Infected with the SARS-CoV-2 Omicron Variant.实验室指标在预测感染严重急性呼吸综合征冠状病毒2(SARS-CoV-2)奥密克戎变异株的有症状2019冠状病毒病(COVID-19)患者发生肺炎中的价值
Infect Drug Resist. 2023 Feb 28;16:1159-1170. doi: 10.2147/IDR.S397231. eCollection 2023.
10
Evaluation of both expression and serum protein levels of caspase-8 and mitogen-activated protein kinase 1 genes in patients with different severities of COVID-19 infection.评估 COVID-19 感染不同严重程度患者中 caspase-8 和丝裂原活化蛋白激酶 1 基因的表达和血清蛋白水平。
Mol Biol Rep. 2023 Apr;50(4):3241-3248. doi: 10.1007/s11033-023-08244-4. Epub 2023 Jan 28.
2019年冠状病毒病(COVID-19)住院患者的临床特征、实验室检查结果及预后:来自美国的早期报告
Diagnosis (Berl). 2020 May 26;7(2):91-96. doi: 10.1515/dx-2020-0046.
4
Platelet-to-lymphocyte ratio is associated with prognosis in patients with coronavirus disease-19.血小板与淋巴细胞比值与新型冠状病毒肺炎患者预后相关。
J Med Virol. 2020 Sep;92(9):1533-1541. doi: 10.1002/jmv.25767. Epub 2020 Mar 26.
5
Coronavirus Disease 2019 (COVID-19): A Systematic Review of Imaging Findings in 919 Patients.新型冠状病毒病 2019(COVID-19):919 例患者影像学表现的系统评价。
AJR Am J Roentgenol. 2020 Jul;215(1):87-93. doi: 10.2214/AJR.20.23034. Epub 2020 Mar 14.
6
Clinical course and risk factors for mortality of adult inpatients with COVID-19 in Wuhan, China: a retrospective cohort study.中国武汉成人 COVID-19 住院患者的临床病程和死亡危险因素:一项回顾性队列研究。
Lancet. 2020 Mar 28;395(10229):1054-1062. doi: 10.1016/S0140-6736(20)30566-3. Epub 2020 Mar 11.
7
Dysregulation of Immune Response in Patients With Coronavirus 2019 (COVID-19) in Wuhan, China.中国武汉 2019 年冠状病毒病(COVID-19)患者免疫反应失调。
Clin Infect Dis. 2020 Jul 28;71(15):762-768. doi: 10.1093/cid/ciaa248.
8
Laboratory abnormalities in patients with COVID-2019 infection.2019冠状病毒病感染患者的实验室异常情况。
Clin Chem Lab Med. 2020 Jun 25;58(7):1131-1134. doi: 10.1515/cclm-2020-0198.
9
Pathological findings of COVID-19 associated with acute respiratory distress syndrome.与急性呼吸窘迫综合征相关的新型冠状病毒肺炎的病理表现
Lancet Respir Med. 2020 Apr;8(4):420-422. doi: 10.1016/S2213-2600(20)30076-X. Epub 2020 Feb 18.
10
Abnormal coagulation parameters are associated with poor prognosis in patients with novel coronavirus pneumonia.异常的凝血参数与新型冠状病毒肺炎患者的预后不良有关。
J Thromb Haemost. 2020 Apr;18(4):844-847. doi: 10.1111/jth.14768. Epub 2020 Mar 13.