Suppr超能文献

跨文化调适与法国版 Gilles de la Tourette 综合征生活质量量表(GTS-QOL)的心理计量学评估。

Cross-cultural adaptation and psychometric evaluation of the French version of the Gilles de la Tourette Syndrome Quality of Life Scale (GTS-QOL).

机构信息

Centre de Compétence Gilles de la Tourette, Service de Psychiatrie de l'Adulte A et Psychologie Médicale, CHU Clermont-Ferrand, Université Clermont Auvergne, Clermont-Ferrand, France.

Service de Neurologie, CHU Clermont-Ferrand, Clermont-Ferrand, France.

出版信息

PLoS One. 2020 Dec 22;15(12):e0243912. doi: 10.1371/journal.pone.0243912. eCollection 2020.

Abstract

INTRODUCTION

The Gilles de la Tourette Syndrome-Quality of Life Scale (GTS-QOL) is a self-rated disease-specific questionnaire to assess health-related quality of life of subjects with GTS. Our aim was to perform the cross-cultural adaptation of the GTS-QOL into French and to assess its psychometric properties.

METHODS

The GTS-QOL was cross-culturally adapted by conducting forward and backward translations, following international guidelines. The psychometric properties of the GTS-QOL-French were assessed in 109 participants aged 16 years and above with regard to factor structure, internal consistency, reliability and convergent validity with the MOVES (Motor tic, Obsessions and compulsions, Vocal tic Evaluation Survey) and the WHOQOL-BREF (World Health Organization Quality of Life Brief).

RESULTS

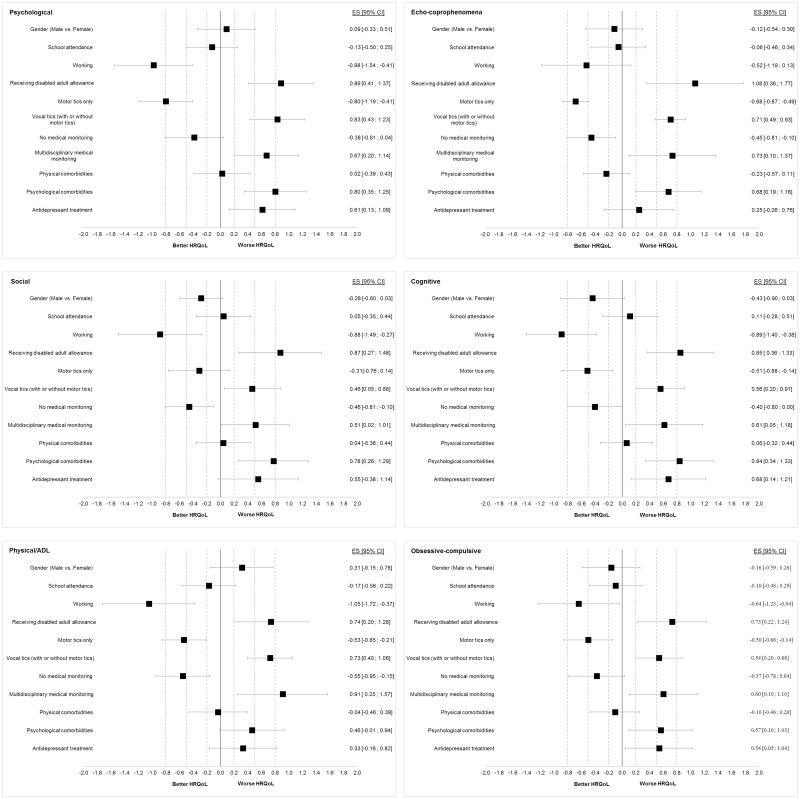
Exploratory factor analysis of the GTS-QOL-French resulted in a 6-factor solution and did not replicate the original structure in four subscales. The results showed good acceptability (missing values per subscale ranging from 0% to 0.9%), good internal consistency (Cronbach's alpha ranging from 0.68 to 0.94) and good test-retest reliability (intraclass correlation coefficients ranging from 0.70 to 0.81). Convergent validity with the MOVES and WHOQOL-BREF scales showed high correlations.

DISCUSSION

Our study provides evidence of the good psychometric properties of the GTS-QOL-French. The cross-cultural adaptation and validation of this specific instrument will make it possible to assess health-related quality of life in French-speaking subjects with GTS. The GTS-QOL-French could be recommended for use in future research.

摘要

简介

Gilles de la Tourette 综合征生活质量量表(GTS-QOL)是一种自评式疾病特异性问卷,用于评估 Gilles de la Tourette 综合征患者的健康相关生活质量。我们的目的是将 GTS-QOL 进行跨文化适应性改编为法语,并评估其心理测量特性。

方法

GTS-QOL 通过正向和反向翻译进行跨文化适应性改编,遵循国际指南。在 109 名年龄在 16 岁及以上的参与者中,评估了 GTS-QOL-French 的心理测量特性,包括因子结构、内部一致性、可靠性以及与 MOVES(运动性抽搐、强迫观念和强迫行为、发声性抽搐评估调查)和 WHOQOL-BREF(世界卫生组织生活质量简要调查)的收敛效度。

结果

GTS-QOL-French 的探索性因子分析产生了 6 个因子解决方案,并未在 4 个分量表中复制原始结构。结果显示,该量表具有良好的可接受性(每个分量表的缺失值范围为 0%至 0.9%)、良好的内部一致性(Cronbach's alpha 范围为 0.68 至 0.94)和良好的重测信度(组内相关系数范围为 0.70 至 0.81)。与 MOVES 和 WHOQOL-BREF 量表的收敛效度显示出高度相关性。

讨论

我们的研究提供了 GTS-QOL-French 良好心理测量特性的证据。该特定工具的跨文化适应性和验证将使其能够评估讲法语的 Gilles de la Tourette 综合征患者的健康相关生活质量。GTS-QOL-French 可推荐用于未来的研究。

https://cdn.ncbi.nlm.nih.gov/pmc/blobs/f2e7/7755204/e5decb258305/pone.0243912.g001.jpg

文献AI研究员

20分钟写一篇综述,助力文献阅读效率提升50倍。

立即体验

用中文搜PubMed

大模型驱动的PubMed中文搜索引擎

马上搜索

文档翻译

学术文献翻译模型,支持多种主流文档格式。

立即体验