• 文献检索
  • 文档翻译
  • 深度研究
  • 学术资讯
  • Suppr Zotero 插件Zotero 插件
  • 邀请有礼
  • 套餐&价格
  • 历史记录
应用&插件
Suppr Zotero 插件Zotero 插件浏览器插件Mac 客户端Windows 客户端微信小程序
定价
高级版会员购买积分包购买API积分包
服务
文献检索文档翻译深度研究API 文档MCP 服务
关于我们
关于 Suppr公司介绍联系我们用户协议隐私条款
关注我们

Suppr 超能文献

核心技术专利:CN118964589B侵权必究
粤ICP备2023148730 号-1Suppr @ 2026

文献检索

告别复杂PubMed语法,用中文像聊天一样搜索,搜遍4000万医学文献。AI智能推荐,让科研检索更轻松。

立即免费搜索

文件翻译

保留排版,准确专业,支持PDF/Word/PPT等文件格式,支持 12+语言互译。

免费翻译文档

深度研究

AI帮你快速写综述,25分钟生成高质量综述,智能提取关键信息,辅助科研写作。

立即免费体验

广义几何布朗运动:理论及其在期权定价中的应用

Generalised Geometric Brownian Motion: Theory and Applications to Option Pricing.

作者信息

Stojkoski Viktor, Sandev Trifce, Basnarkov Lasko, Kocarev Ljupco, Metzler Ralf

机构信息

Faculty of Economics, Ss. Cyril and Methodius University, 1000 Skopje, Macedonia.

Research Centre for Computer Science and Information Technologies, Macedonian Academy of Sciences and Arts, Bul. Krste Misirkov 2, 1000 Skopje, Macedonia.

出版信息

Entropy (Basel). 2020 Dec 18;22(12):1432. doi: 10.3390/e22121432.

DOI:10.3390/e22121432
PMID:33353060
原文链接:https://pmc.ncbi.nlm.nih.gov/articles/PMC7766185/
Abstract

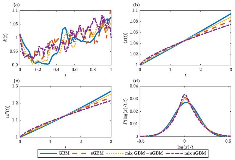
Classical option pricing schemes assume that the value of a financial asset follows a geometric Brownian motion (GBM). However, a growing body of studies suggest that a simple GBM trajectory is not an adequate representation for asset dynamics, due to irregularities found when comparing its properties with empirical distributions. As a solution, we investigate a generalisation of GBM where the introduction of a memory kernel critically determines the behaviour of the stochastic process. We find the general expressions for the moments, log-moments, and the expectation of the periodic log returns, and then obtain the corresponding probability density functions using the subordination approach. Particularly, we consider subdiffusive GBM (sGBM), tempered sGBM, a mix of GBM and sGBM, and a mix of sGBMs. We utilise the resulting generalised GBM (gGBM) in order to examine the empirical performance of a selected group of kernels in the pricing of European call options. Our results indicate that the performance of a kernel ultimately depends on the maturity of the option and its moneyness.

摘要

经典期权定价方案假设金融资产的价值遵循几何布朗运动(GBM)。然而,越来越多的研究表明,简单的GBM轨迹不足以代表资产动态,因为将其性质与经验分布进行比较时发现了不规则性。作为一种解决方案,我们研究了GBM的一种推广形式,其中引入记忆核关键地决定了随机过程的行为。我们找到了矩、对数矩以及周期对数收益率期望的一般表达式,然后使用从属方法得到相应的概率密度函数。特别地,我们考虑亚扩散GBM(sGBM)、缓和sGBM、GBM和sGBM的混合形式以及sGBM的混合形式。我们利用所得的广义GBM(gGBM)来检验一组选定核在欧式看涨期权定价中的实证表现。我们的结果表明,核的表现最终取决于期权的到期日及其实虚值状态。

https://cdn.ncbi.nlm.nih.gov/pmc/blobs/75e0/7766185/2bd4d96ae802/entropy-22-01432-g005.jpg
https://cdn.ncbi.nlm.nih.gov/pmc/blobs/75e0/7766185/e69df4da9bfd/entropy-22-01432-g001.jpg
https://cdn.ncbi.nlm.nih.gov/pmc/blobs/75e0/7766185/2d349d5e7e91/entropy-22-01432-g002.jpg
https://cdn.ncbi.nlm.nih.gov/pmc/blobs/75e0/7766185/2c3f48b19d9c/entropy-22-01432-g003.jpg
https://cdn.ncbi.nlm.nih.gov/pmc/blobs/75e0/7766185/ecf07951ef8d/entropy-22-01432-g004.jpg
https://cdn.ncbi.nlm.nih.gov/pmc/blobs/75e0/7766185/2bd4d96ae802/entropy-22-01432-g005.jpg
https://cdn.ncbi.nlm.nih.gov/pmc/blobs/75e0/7766185/e69df4da9bfd/entropy-22-01432-g001.jpg
https://cdn.ncbi.nlm.nih.gov/pmc/blobs/75e0/7766185/2d349d5e7e91/entropy-22-01432-g002.jpg
https://cdn.ncbi.nlm.nih.gov/pmc/blobs/75e0/7766185/2c3f48b19d9c/entropy-22-01432-g003.jpg
https://cdn.ncbi.nlm.nih.gov/pmc/blobs/75e0/7766185/ecf07951ef8d/entropy-22-01432-g004.jpg
https://cdn.ncbi.nlm.nih.gov/pmc/blobs/75e0/7766185/2bd4d96ae802/entropy-22-01432-g005.jpg

相似文献

1
Generalised Geometric Brownian Motion: Theory and Applications to Option Pricing.广义几何布朗运动:理论及其在期权定价中的应用
Entropy (Basel). 2020 Dec 18;22(12):1432. doi: 10.3390/e22121432.
2
Entropic Dynamics of Stocks and European Options.股票与欧洲期权的熵动力学
Entropy (Basel). 2019 Aug 6;21(8):765. doi: 10.3390/e21080765.
3
Scaled geometric Brownian motion features sub- or superexponential ensemble-averaged, but linear time-averaged mean-squared displacements.缩放几何布朗运动具有亚指数或超指数系综平均,但线性时间平均均方位移。
Phys Rev E. 2021 Jun;103(6-1):062127. doi: 10.1103/PhysRevE.103.062127.
4
The valuation of currency options by fractional Brownian motion.基于分数布朗运动的货币期权估值。
Springerplus. 2016 Jul 21;5(1):1145. doi: 10.1186/s40064-016-2784-2. eCollection 2016.
5
Geometric Average Asian Option Pricing with Paying Dividend Yield under Non-Extensive Statistical Mechanics for Time-Varying Model.非广延统计力学下含时变模型的支付股息收益率几何平均亚式期权定价
Entropy (Basel). 2018 Oct 28;20(11):828. doi: 10.3390/e20110828.
6
Lookback Option Pricing with Fixed Proportional Transaction Costs under Fractional Brownian Motion.分数布朗运动下具有固定比例交易成本的回望期权定价
Int Sch Res Notices. 2014 Nov 3;2014:746196. doi: 10.1155/2014/746196. eCollection 2014.
7
Entropic Dynamics of Exchange Rates and Options.汇率与期权的熵动力学
Entropy (Basel). 2019 Jun 13;21(6):586. doi: 10.3390/e21060586.
8
Non-Gaussian Closed Form Solutions for Geometric Average Asian Options in the Framework of Non-Extensive Statistical Mechanics.非广延统计力学框架下几何平均亚式期权的非高斯封闭形式解
Entropy (Basel). 2018 Jan 18;20(1):71. doi: 10.3390/e20010071.
9
Evaluation of the smallest nonvanishing eigenvalue of the fokker-planck equation for brownian motion in a potential: the continued fraction approach.势场中布朗运动的福克 - 普朗克方程最小非零本征值的评估:连分数方法。
Phys Rev E Stat Phys Plasmas Fluids Relat Interdiscip Topics. 2000 Jun;61(6 Pt A):6320-9. doi: 10.1103/physreve.61.6320.
10
The Black-Scholes pricing formula in the quantum context.量子背景下的布莱克-斯科尔斯定价公式。
Proc Natl Acad Sci U S A. 1998 Mar 31;95(7):4072-5. doi: 10.1073/pnas.95.7.4072.

引用本文的文献

1
Entropy-Assisted Quality Pattern Identification in Finance.金融领域中基于熵的质量模式识别
Entropy (Basel). 2025 Apr 16;27(4):430. doi: 10.3390/e27040430.
2
Entropy corrected geometric Brownian motion.熵修正几何布朗运动
Sci Rep. 2024 Nov 17;14(1):28384. doi: 10.1038/s41598-024-79714-3.
3
Random Walks on Comb-like Structures under Stochastic Resetting.随机重置下梳状结构上的随机游走

本文引用的文献

1
Hitting times in turbulent diffusion due to multiplicative noise.由乘性噪声引起的湍流扩散中的击中时间。
Phys Rev E. 2020 Oct;102(4-1):042109. doi: 10.1103/PhysRevE.102.042109.
2
Anomalous diffusion and nonergodicity for heterogeneous diffusion processes with fractional Gaussian noise.具有分数高斯噪声的非均匀扩散过程中的反常扩散与非遍历性
Phys Rev E. 2020 Jul;102(1-1):012146. doi: 10.1103/PhysRevE.102.012146.
3
Cooperation dynamics in networked geometric Brownian motion.网络几何布朗运动中的合作动态
Entropy (Basel). 2023 Nov 9;25(11):1529. doi: 10.3390/e25111529.
4
Random Walks on Networks with Centrality-Based Stochastic Resetting.基于中心性的随机重置网络上的随机游走
Entropy (Basel). 2023 Feb 4;25(2):293. doi: 10.3390/e25020293.
Phys Rev E. 2019 Jun;99(6-1):062312. doi: 10.1103/PhysRevE.99.062312.
4
Infinite ergodic theory for heterogeneous diffusion processes.非均匀扩散过程的无穷遍历理论
Phys Rev E. 2019 Apr;99(4-1):042138. doi: 10.1103/PhysRevE.99.042138.
5
Diffusion in a Crowded, Rearranging Environment.在拥挤、重排环境中的扩散
J Phys Chem B. 2016 Apr 28;120(16):3988-92. doi: 10.1021/acs.jpcb.6b01527. Epub 2016 Apr 14.
6
Distributed-order diffusion equations and multifractality: Models and solutions.分数阶扩散方程与多重分形:模型与解
Phys Rev E Stat Nonlin Soft Matter Phys. 2015 Oct;92(4):042117. doi: 10.1103/PhysRevE.92.042117. Epub 2015 Oct 7.
7
Ergodicity breaking in geometric Brownian motion.遍历性在几何布朗运动中的破缺。
Phys Rev Lett. 2013 Mar 8;110(10):100603. doi: 10.1103/PhysRevLett.110.100603.
8
Minimal model of financial stylized facts.金融典型事实的最小模型。
Phys Rev E Stat Nonlin Soft Matter Phys. 2011 Apr;83(4 Pt 1):041111. doi: 10.1103/PhysRevE.83.041111. Epub 2011 Apr 14.
9
Exact moment scaling from multiplicative noise.来自乘性噪声的精确时刻缩放。
Phys Rev E Stat Nonlin Soft Matter Phys. 2010 Mar;81(3 Pt 1):032102. doi: 10.1103/PhysRevE.81.032102. Epub 2010 Mar 10.
10
Equivalence of the fractional Fokker-Planck and subordinated Langevin equations: the case of a time-dependent force.分数阶福克-普朗克方程与从属朗之万方程的等价性:含时力的情形
Phys Rev Lett. 2008 Nov 21;101(21):210601. doi: 10.1103/PhysRevLett.101.210601. Epub 2008 Nov 18.