• 文献检索
  • 文档翻译
  • 深度研究
  • 学术资讯
  • Suppr Zotero 插件Zotero 插件
  • 邀请有礼
  • 套餐&价格
  • 历史记录
应用&插件
Suppr Zotero 插件Zotero 插件浏览器插件Mac 客户端Windows 客户端微信小程序
定价
高级版会员购买积分包购买API积分包
服务
文献检索文档翻译深度研究API 文档MCP 服务
关于我们
关于 Suppr公司介绍联系我们用户协议隐私条款
关注我们

Suppr 超能文献

核心技术专利:CN118964589B侵权必究
粤ICP备2023148730 号-1Suppr @ 2026

文献检索

告别复杂PubMed语法,用中文像聊天一样搜索,搜遍4000万医学文献。AI智能推荐,让科研检索更轻松。

立即免费搜索

文件翻译

保留排版,准确专业,支持PDF/Word/PPT等文件格式,支持 12+语言互译。

免费翻译文档

深度研究

AI帮你快速写综述,25分钟生成高质量综述,智能提取关键信息,辅助科研写作。

立即免费体验

基于pT1-2N1M0乳腺癌预后列线图的风险适应性乳房切除术后放疗决策:一项多中心研究

Risk-Adapted Postmastectomy Radiotherapy Decision Based on Prognostic Nomogram for pT1-2N1M0 Breast Cancer: A Multicenter Study.

作者信息

Li Ming, Yue Jinbo, Wan Xiangbo, Hua Bin, Yang Qiuan, Yang Pei, Zhang Zijian, Pei Qian, Han Weidong, Xu Yaping, Xia Xuefeng

机构信息

Department of Radiation Oncology, Beijing Hospital/National Center of Gerontology, Beijing, China.

Department of Radiation Oncology, Shandong Cancer Hospital Affiliated to Shandong University/Shandong Academy of Medical Sciences, Jinan, China.

出版信息

Front Oncol. 2020 Dec 11;10:588859. doi: 10.3389/fonc.2020.588859. eCollection 2020.

DOI:10.3389/fonc.2020.588859
PMID:33363018
原文链接:https://pmc.ncbi.nlm.nih.gov/articles/PMC7761288/
Abstract

PURPOSE

The aim of this study was to develop a widely accepted prognostic nomogram and establish a risk-adapted PMRT strategy based on locoregional recurrence for pT1-2N1M0 breast cancer.

METHODS AND MATERIALS

A total of 3,033 patients with pT1-2N1M0 breast cancer treated at 6 participating institutions between 2000 and 2016 were retrospectively reviewed. A nomogram was developed to predicted locoregional recurrence-free survival (LRFS). A propensity score-matched (PSM) analyses was performed in risk-adapted model.

RESULTS

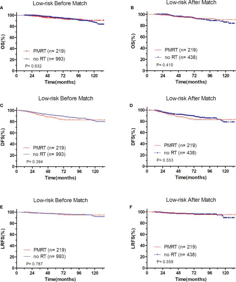
With the median follow-up of 65.0 months, the 5-year overall survival (OS), disease free survival (DFS) and LRFS were 93.0, 84.8, and 93.6%, respectively. There was no significant difference between patients who received PMRT or not for the entire group. A nomogram was developed and validated to estimate the probability of 5-year LRFS based on five independent factors including age, primary tumor site, positive lymph nodes number, pathological T stage, and molecular subtype that were selected by a multivariate analysis of patients who did not receive PMRT in the primary cohort. According to the total nomogram risk scores, the entire patients were classified into low- (40.0%), moderate- (42.4%), and high-risk group (17.6%). The 5-year outcomes were significantly different among these three groups (P<0.001). In low-risk group, patients who received PMRT or not both achieved a favorable OS, DFS, and LRFS. In moderate-risk group, no differences in OS, DFS, and LRFS were observed between PMRT and no PMRT patients. In high-risk group, compared with no PMRT, PMRT resulted in significantly different OS (86.8 vs 83.9%, P = 0.050), DFS (77.2 vs 70.9%, P = 0.049), and LRFS (90.8 vs. 81.6%, P = 0.003). After PSM adjustment, there were no significant differences in OS, DFS, and LRFS in low-risk and moderate-risk groups. However, in the high-risk group, PMRT still resulted in significantly better OS, DFS and improved LRFS.

CONCLUSIONS

The proposed nomogram provides an individualized risk estimate of LRFS in patients with pT1-2N1M0 breast cancer. Risk-adapted PMRT for high-risk patients is a viable effective strategy.

摘要

目的

本研究旨在开发一种广泛接受的预后列线图,并基于局部区域复发情况为pT1-2N1M0乳腺癌建立一种风险适应性的术后放疗(PMRT)策略。

方法和材料

回顾性分析了2000年至2016年间在6家参与机构接受治疗的3033例pT1-2N1M0乳腺癌患者。开发了一种列线图来预测无局部区域复发生存期(LRFS)。在风险适应性模型中进行了倾向评分匹配(PSM)分析。

结果

中位随访时间为65.0个月,5年总生存率(OS)、无病生存率(DFS)和LRFS分别为93.0%、84.8%和93.6%。整个组中接受或未接受PMRT的患者之间无显著差异。基于多因素分析从原发队列中未接受PMRT的患者中选择的年龄、原发肿瘤部位、阳性淋巴结数量、病理T分期和分子亚型这五个独立因素,开发并验证了一种列线图以估计5年LRFS的概率。根据列线图总风险评分,将所有患者分为低风险组(40.0%)、中风险组(42.4%)和高风险组(17.6%)。这三组的5年结局有显著差异(P<0.001)。在低风险组中,接受或未接受PMRT的患者均获得了良好的OS、DFS和LRFS。在中风险组中,接受PMRT和未接受PMRT的患者在OS、DFS和LRFS方面未观察到差异。在高风险组中,与未接受PMRT相比,PMRT导致OS(86.8%对83.9%,P = 0.050)、DFS(77.2%对70.9%,P = 0.049)和LRFS(90.8%对81.6%,P = 0.003)有显著差异。经过PSM调整后,低风险和中风险组在OS, DFS和LRFS方面无显著差异。然而,在高风险组中,PMRT仍然导致显著更好的OS、DFS和改善的LRFS。

结论

所提出的列线图为pT1-2N1M0乳腺癌患者提供了LRFS的个体化风险估计。对高风险患者采用风险适应性PMRT是一种可行的有效策略。

https://cdn.ncbi.nlm.nih.gov/pmc/blobs/d671/7761288/649ec08a6449/fonc-10-588859-g006.jpg
https://cdn.ncbi.nlm.nih.gov/pmc/blobs/d671/7761288/32f9a2118730/fonc-10-588859-g001.jpg
https://cdn.ncbi.nlm.nih.gov/pmc/blobs/d671/7761288/d270a270d27e/fonc-10-588859-g002.jpg
https://cdn.ncbi.nlm.nih.gov/pmc/blobs/d671/7761288/96860cc7837d/fonc-10-588859-g003.jpg
https://cdn.ncbi.nlm.nih.gov/pmc/blobs/d671/7761288/d66d4e3f28fc/fonc-10-588859-g004.jpg
https://cdn.ncbi.nlm.nih.gov/pmc/blobs/d671/7761288/596492708afb/fonc-10-588859-g005.jpg
https://cdn.ncbi.nlm.nih.gov/pmc/blobs/d671/7761288/649ec08a6449/fonc-10-588859-g006.jpg
https://cdn.ncbi.nlm.nih.gov/pmc/blobs/d671/7761288/32f9a2118730/fonc-10-588859-g001.jpg
https://cdn.ncbi.nlm.nih.gov/pmc/blobs/d671/7761288/d270a270d27e/fonc-10-588859-g002.jpg
https://cdn.ncbi.nlm.nih.gov/pmc/blobs/d671/7761288/96860cc7837d/fonc-10-588859-g003.jpg
https://cdn.ncbi.nlm.nih.gov/pmc/blobs/d671/7761288/d66d4e3f28fc/fonc-10-588859-g004.jpg
https://cdn.ncbi.nlm.nih.gov/pmc/blobs/d671/7761288/596492708afb/fonc-10-588859-g005.jpg
https://cdn.ncbi.nlm.nih.gov/pmc/blobs/d671/7761288/649ec08a6449/fonc-10-588859-g006.jpg

相似文献

1
Risk-Adapted Postmastectomy Radiotherapy Decision Based on Prognostic Nomogram for pT1-2N1M0 Breast Cancer: A Multicenter Study.基于pT1-2N1M0乳腺癌预后列线图的风险适应性乳房切除术后放疗决策:一项多中心研究
Front Oncol. 2020 Dec 11;10:588859. doi: 10.3389/fonc.2020.588859. eCollection 2020.
2
[Risk-adapted postmastectomy radiotherapy based on local-regional recurrence for T1-2N1M0 breast Cancer].基于局部区域复发风险调整的T1-2N1M0乳腺癌保乳术后放疗
Zhonghua Zhong Liu Za Zhi. 2017 Nov 23;39(11):841-849. doi: 10.3760/cma.j.issn.0253-3766.2017.11.007.
3
The significance of risk stratification through nomogram-based assessment in determining postmastectomy radiotherapy for patients diagnosed with pTNM breast cancer.基于列线图评估的风险分层在确定诊断为 pTNM 乳腺癌患者术后放疗中的意义。
Radiat Oncol. 2024 Sep 13;19(1):120. doi: 10.1186/s13014-024-02510-w.
4
Postmastectomy radiotherapy improves disease-free survival of high risk of locoregional recurrence breast cancer patients with T1-2 and 1 to 3 positive nodes.保乳术后放疗可提高T1-2期且腋窝淋巴结1-3个转移的局部区域复发高危乳腺癌患者的无病生存率。
PLoS One. 2015 Mar 17;10(3):e0119105. doi: 10.1371/journal.pone.0119105. eCollection 2015.
5
The prognostic differences and the effect of postmastectomy radiotherapy between post-chemotherapy ypT1-2ypN1 and de novo pT1-2N1 breast cancer.化疗后 ypT1-2ypN1 与新诊断 pT1-2N1 乳腺癌的预后差异及术后放疗的影响。
Cancer Med. 2023 Apr;12(7):8112-8121. doi: 10.1002/cam4.5610. Epub 2023 Feb 3.
6
Nomogram predicting survival as a selection criterion for postmastectomy radiotherapy in patients with T1 to T2 breast cancer with 1 to 3 positive lymph nodes.列线图预测 T1 至 T2 期伴 1 至 3 个阳性淋巴结乳腺癌患者术后放疗的生存选择标准。
Cancer. 2020 Aug 15;126 Suppl 16:3857-3866. doi: 10.1002/cncr.32963.
7
The Value of the 8th Edition of American Joint Committee on Cancer Pathological Prognostic Staging on the Selection of Postmastectomy Radiotherapy for T1-2N1 Breast Cancer.美国癌症联合委员会第8版病理预后分期对T1-2N1期乳腺癌保乳术后放疗选择的价值
J Oncol. 2022 Oct 25;2022:7550323. doi: 10.1155/2022/7550323. eCollection 2022.
8
Practical Model to Optimize the Strategy of Adjuvant Postmastectomy Radiotherapy in T1-2N1 Breast Cancer With Modern Systemic Therapy.采用现代全身治疗优化T1-2N1期乳腺癌保乳术后辅助放疗策略的实用模型
Front Oncol. 2022 Feb 24;12:789198. doi: 10.3389/fonc.2022.789198. eCollection 2022.
9
Number of negative lymph nodes can predict survival after postmastectomy radiotherapy according to different breast cancer subtypes.根据不同的乳腺癌亚型,阴性淋巴结数量可预测乳房切除术后放疗后的生存率。
J Cancer. 2015 Jan 20;6(3):261-9. doi: 10.7150/jca.10402. eCollection 2015.
10
The clinical value of adjuvant radiotherapy in patients with early stage breast cancer with 1 to 3 positive lymph nodes after mastectomy.辅助放疗在乳房切除术后有1至3个阳性淋巴结的早期乳腺癌患者中的临床价值。
Chin J Cancer. 2010 Jul;29(7):668-76. doi: 10.5732/cjc.009.10744.

引用本文的文献

1
Development and validation of nomograms for predicting survival outcomes in patients with T1-2N1 breast cancer to identify those who could not benefit from postmastectomy radiotherapy.用于预测T1-2N1期乳腺癌患者生存结局的列线图的开发与验证,以识别那些无法从乳房切除术后放疗中获益的患者。
Front Oncol. 2023 Mar 28;13:1112687. doi: 10.3389/fonc.2023.1112687. eCollection 2023.

本文引用的文献

1
The 2018 assisi think tank meeting on breast cancer: International expert panel white paper.2018 年阿西西乳腺癌智库会议:国际专家小组白皮书。
Crit Rev Oncol Hematol. 2020 Jul;151:102967. doi: 10.1016/j.critrevonc.2020.102967. Epub 2020 Apr 22.
2
Breast Cancer Treatment: A Review.乳腺癌治疗:综述。
JAMA. 2019 Jan 22;321(3):288-300. doi: 10.1001/jama.2018.19323.
3
Recent Advances in the Treatment of Breast Cancer.乳腺癌治疗的最新进展
Front Oncol. 2018 Jun 14;8:227. doi: 10.3389/fonc.2018.00227. eCollection 2018.
4
Molecular Treatment of Different Breast Cancers.不同类型乳腺癌的分子治疗
Anticancer Agents Med Chem. 2015;15(6):701-20. doi: 10.2174/1871520615666150129211901.
5
Locoregional recurrence risk for patients with T1,2 breast cancer with 1-3 positive lymph nodes treated with mastectomy and systemic treatment.T1、2 期乳腺癌伴 1-3 个阳性淋巴结患者行乳房切除术和全身治疗后的局部区域复发风险。
Int J Radiat Oncol Biol Phys. 2014 Jun 1;89(2):392-8. doi: 10.1016/j.ijrobp.2014.02.013. Epub 2014 Apr 7.
6
Effect of radiotherapy after mastectomy and axillary surgery on 10-year recurrence and 20-year breast cancer mortality: meta-analysis of individual patient data for 8135 women in 22 randomised trials.**译文**: **术后放疗对乳腺癌复发和 20 年死亡率的影响:22 项随机试验 8135 名患者个体数据的荟萃分析**
Lancet. 2014 Jun 21;383(9935):2127-35. doi: 10.1016/S0140-6736(14)60488-8. Epub 2014 Mar 19.
7
Impact of molecular subtype on locoregional recurrence in mastectomy patients with T1-T2 breast cancer and 1-3 positive lymph nodes.分子亚型对T1-T2期乳腺癌且腋窝淋巴结1-3枚阳性的乳房切除患者局部区域复发的影响。
Ann Surg Oncol. 2014 May;21(5):1569-74. doi: 10.1245/s10434-014-3488-x. Epub 2014 Feb 1.
8
Selection criteria for postmastectomy radiotherapy in t1-t2 tumors with 1 to 3 positive lymph nodes.T1-T2 期肿瘤且 1-3 个阳性淋巴结患者行乳腺癌根治术后放疗的选择标准。
Ann Surg Oncol. 2013 Oct;20(10):3169-74. doi: 10.1245/s10434-013-3117-0. Epub 2013 Aug 22.
9
The impact of the size of nodal metastases on recurrence risk in breast cancer patients with 1-3 positive axillary nodes after mastectomy.乳腺癌改良根治术后 1-3 个腋窝淋巴结阳性患者中,淋巴结转移灶大小对复发风险的影响。
Int J Radiat Oncol Biol Phys. 2013 Mar 1;85(3):609-14. doi: 10.1016/j.ijrobp.2012.05.050. Epub 2012 Aug 3.
10
Patterns and risk factors for locoregional failures after mastectomy for breast cancer: an International Breast Cancer Study Group report.乳腺癌乳房切除术后局部区域失败的模式和风险因素:国际乳腺癌研究小组的报告。
Ann Oncol. 2012 Nov;23(11):2852-2858. doi: 10.1093/annonc/mds118. Epub 2012 Jul 9.