• 文献检索
  • 文档翻译
  • 深度研究
  • 学术资讯
  • Suppr Zotero 插件Zotero 插件
  • 邀请有礼
  • 套餐&价格
  • 历史记录
应用&插件
Suppr Zotero 插件Zotero 插件浏览器插件Mac 客户端Windows 客户端微信小程序
定价
高级版会员购买积分包购买API积分包
服务
文献检索文档翻译深度研究API 文档MCP 服务
关于我们
关于 Suppr公司介绍联系我们用户协议隐私条款
关注我们

Suppr 超能文献

核心技术专利:CN118964589B侵权必究
粤ICP备2023148730 号-1Suppr @ 2026

文献检索

告别复杂PubMed语法,用中文像聊天一样搜索,搜遍4000万医学文献。AI智能推荐,让科研检索更轻松。

立即免费搜索

文件翻译

保留排版,准确专业,支持PDF/Word/PPT等文件格式,支持 12+语言互译。

免费翻译文档

深度研究

AI帮你快速写综述,25分钟生成高质量综述,智能提取关键信息,辅助科研写作。

立即免费体验

DPPC与PEO-b-PCL两亲性二嵌段共聚物混合物中单层囊泡的形成

Formation of Uni-Lamellar Vesicles in Mixtures of DPPC with PEO-b-PCL Amphiphilic Diblock Copolymers.

作者信息

Papagiannopoulos Aristeidis, Pippa Natassa, Demetzos Costas, Pispas Stergios, Radulescu Aurel

机构信息

Theoretical and Physical Chemistry Institute, National Hellenic Research Foundation, 48 Vassileos Constantinou Avenue, 11635 Athens, Greece.

Department of Pharmaceutical Technology, Faculty of Pharmacy, Panepistimioupolis Zografou, National and Kapodistrian University of Athens, 15771 Athens, Greece.

出版信息

Polymers (Basel). 2020 Dec 22;13(1):4. doi: 10.3390/polym13010004.

DOI:10.3390/polym13010004
PMID:33375022
原文链接:https://pmc.ncbi.nlm.nih.gov/articles/PMC7792791/
Abstract

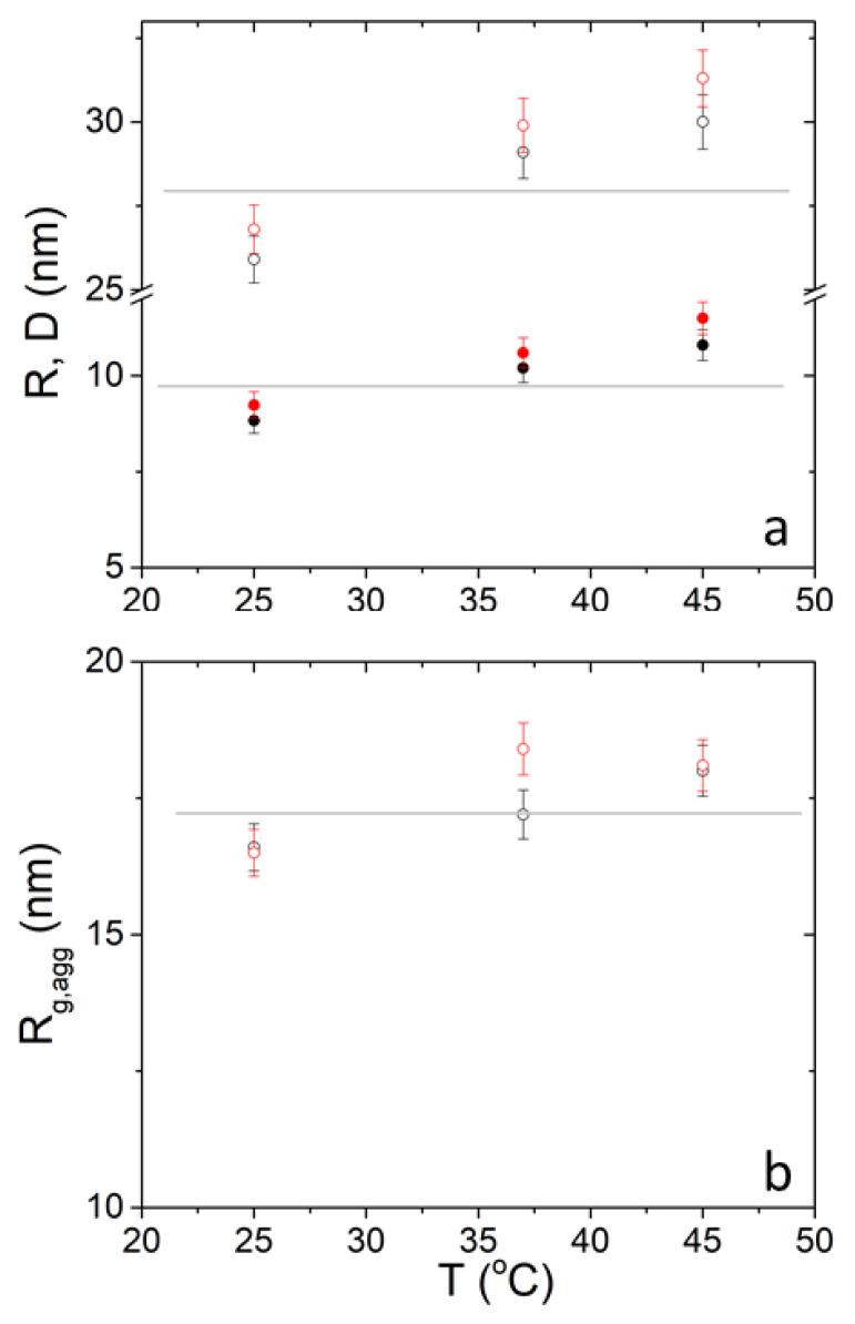
The ability of mixtures of 1.2-dipalmitoyl-sn-glycero-3-phosphocholine (DPPC) and the amphiphilic diblock copolymers poly (ethylene oxide)-block-poly(ε-caprolactone) (PEO-b-PCL) to stabilize uni-lamellar nano-vesicles is reported. Small angle neutron scattering (SANS) is used to define their size distribution and bilayer structure and resolve the copresence of aggregates and clusters in solution. The vesicles have a broad size distribution which is compatible with bilayer membranes of relatively low bending stiffness. Their mean diameter increases moderately with temperature and their number density and mass is higher in the case of the diblock copolymer with the larger hydrophobic block. Bayesian analysis is performed in order to justify the use of the particular SANS fitting model and confirm the reliability of the extracted parameters. This study shows that amphiphilic block copolymers can be effectively used to prepare mixed lipid-block copolymer vesicles with controlled lamellarity and a significant potential as nanocarriers for drug delivery.

摘要

据报道,1,2-二棕榈酰-sn-甘油-3-磷酸胆碱(DPPC)与两亲性二嵌段共聚物聚环氧乙烷-嵌段-聚己内酯(PEO-b-PCL)的混合物具有稳定单层纳米囊泡的能力。小角中子散射(SANS)用于确定其尺寸分布和双层结构,并解析溶液中聚集体和簇的共存情况。这些囊泡具有较宽的尺寸分布,这与弯曲刚度相对较低的双层膜相符。它们的平均直径随温度适度增加,并且在具有较大疏水嵌段的二嵌段共聚物的情况下,其数量密度和质量更高。进行贝叶斯分析以证明使用特定的SANS拟合模型的合理性,并确认提取参数的可靠性。这项研究表明,两亲性嵌段共聚物可有效地用于制备具有可控层状结构的混合脂质-嵌段共聚物囊泡,并且作为药物递送的纳米载体具有巨大潜力。

https://cdn.ncbi.nlm.nih.gov/pmc/blobs/d13d/7792791/a00a279307cc/polymers-13-00004-g008.jpg
https://cdn.ncbi.nlm.nih.gov/pmc/blobs/d13d/7792791/365346d6c141/polymers-13-00004-g001.jpg
https://cdn.ncbi.nlm.nih.gov/pmc/blobs/d13d/7792791/ace3c43abc3f/polymers-13-00004-sch001.jpg
https://cdn.ncbi.nlm.nih.gov/pmc/blobs/d13d/7792791/16ea6ce13746/polymers-13-00004-g002.jpg
https://cdn.ncbi.nlm.nih.gov/pmc/blobs/d13d/7792791/e939713cbe48/polymers-13-00004-g003.jpg
https://cdn.ncbi.nlm.nih.gov/pmc/blobs/d13d/7792791/fe1b726b4367/polymers-13-00004-g004.jpg
https://cdn.ncbi.nlm.nih.gov/pmc/blobs/d13d/7792791/fcfe4bde02ac/polymers-13-00004-g005.jpg
https://cdn.ncbi.nlm.nih.gov/pmc/blobs/d13d/7792791/18c2d11071f5/polymers-13-00004-g006.jpg
https://cdn.ncbi.nlm.nih.gov/pmc/blobs/d13d/7792791/07b75bd7fc3c/polymers-13-00004-g007.jpg
https://cdn.ncbi.nlm.nih.gov/pmc/blobs/d13d/7792791/a00a279307cc/polymers-13-00004-g008.jpg
https://cdn.ncbi.nlm.nih.gov/pmc/blobs/d13d/7792791/365346d6c141/polymers-13-00004-g001.jpg
https://cdn.ncbi.nlm.nih.gov/pmc/blobs/d13d/7792791/ace3c43abc3f/polymers-13-00004-sch001.jpg
https://cdn.ncbi.nlm.nih.gov/pmc/blobs/d13d/7792791/16ea6ce13746/polymers-13-00004-g002.jpg
https://cdn.ncbi.nlm.nih.gov/pmc/blobs/d13d/7792791/e939713cbe48/polymers-13-00004-g003.jpg
https://cdn.ncbi.nlm.nih.gov/pmc/blobs/d13d/7792791/fe1b726b4367/polymers-13-00004-g004.jpg
https://cdn.ncbi.nlm.nih.gov/pmc/blobs/d13d/7792791/fcfe4bde02ac/polymers-13-00004-g005.jpg
https://cdn.ncbi.nlm.nih.gov/pmc/blobs/d13d/7792791/18c2d11071f5/polymers-13-00004-g006.jpg
https://cdn.ncbi.nlm.nih.gov/pmc/blobs/d13d/7792791/07b75bd7fc3c/polymers-13-00004-g007.jpg
https://cdn.ncbi.nlm.nih.gov/pmc/blobs/d13d/7792791/a00a279307cc/polymers-13-00004-g008.jpg

相似文献

1
Formation of Uni-Lamellar Vesicles in Mixtures of DPPC with PEO-b-PCL Amphiphilic Diblock Copolymers.DPPC与PEO-b-PCL两亲性二嵌段共聚物混合物中单层囊泡的形成
Polymers (Basel). 2020 Dec 22;13(1):4. doi: 10.3390/polym13010004.
2
Physicochemical properties of L-alpha dipalmitoyl phosphatidylcholine large unilamellar vesicles: Effect of hydrophobic block (PLA/PCL) of amphipathic diblock copolymers.L-α 二月桂酰基磷脂酰胆碱大单室脂质体的理化性质:两亲性嵌段共聚物疏水嵌段(PLA/PCL)的影响。
Chem Phys Lipids. 2020 Aug;230:104927. doi: 10.1016/j.chemphyslip.2020.104927. Epub 2020 May 23.
3
Lamellarity and size distributions in mixed DPPC/amphiphilic poly(2-oxazoline) gradient copolymer vesicles and their temperature response.混合 DPPC/两亲性聚(2-恶唑啉)梯度共聚物囊泡中的层状结构和尺寸分布及其温度响应。
Chem Phys Lipids. 2021 Jan;234:105008. doi: 10.1016/j.chemphyslip.2020.105008. Epub 2020 Nov 9.
4
Aqueous self-assembly of poly(ethylene oxide)-block-poly(ε-caprolactone) (PEO-b-PCL) copolymers: disparate diblock copolymer compositions give rise to nano- and meso-scale bilayered vesicles.聚(环氧乙烷)-嵌段-聚(ε-己内酯)(PEO-b-PCL)共聚物的水溶液自组装:不同二嵌段共聚物组成赋予纳米级和介观级双层囊泡。
Nanoscale. 2013 Nov 21;5(22):10908-15. doi: 10.1039/c3nr03250g. Epub 2013 Sep 23.
5
Adsorption of poly(ethylene oxide)-b-poly(epsilon-caprolactone) copolymers at the silica-water interface.聚(环氧乙烷)-b-聚(ε-己内酯)共聚物在二氧化硅-水界面的吸附作用
Langmuir. 2005 Mar 29;21(7):2930-40. doi: 10.1021/la047425+.
6
Poly(ethylene oxide)-poly(propylene oxide)-poly(ethylene oxide) (Pluronic)/poly(epsilon-caprolactone) (PCL) amphiphilic block copolymeric nanospheres. I. Preparation and characterization.聚环氧乙烷-聚环氧丙烷-聚环氧乙烷(普朗尼克)/聚己内酯(PCL)两亲性嵌段共聚物纳米球。I. 制备与表征。
J Control Release. 1999 Dec 6;62(3):381-92. doi: 10.1016/s0168-3659(99)00167-4.
7
Amphiphilic star-shaped poly(sarcosine)-block-poly(ε-caprolactone) diblock copolymers: one-pot synthesis, characterization, and solution properties.两亲性星形聚(肌氨酸)-嵌段-聚(ε-己内酯)二嵌段共聚物:一锅法合成、表征及溶液性质
J Mater Chem B. 2017 Jan 28;5(4):679-690. doi: 10.1039/c6tb02145j. Epub 2016 Dec 19.
8
Large and Giant Unilamellar Vesicle(s) Obtained by Self-Assembly of Poly(dimethylsiloxane)--poly(ethylene oxide) Diblock Copolymers, Membrane Properties and Preliminary Investigation of their Ability to Form Hybrid Polymer/Lipid Vesicles.通过聚(二甲基硅氧烷)-聚(环氧乙烷)二嵌段共聚物自组装获得的大尺寸和巨型单层囊泡、膜性质及其形成聚合物/脂质杂化囊泡能力的初步研究
Polymers (Basel). 2019 Dec 4;11(12):2013. doi: 10.3390/polym11122013.
9
Interaction of nonionic PEO-PPO diblock copolymers with lipid bilayers.非离子型聚环氧乙烷-聚环氧丙烷二嵌段共聚物与脂质双层的相互作用。
Biomacromolecules. 2005 Sep-Oct;6(5):2678-87. doi: 10.1021/bm0500998.
10
Multiple vesicular morphologies in AB/AC diblock copolymer complexes through hydrogen bonding interactions.通过氢键相互作用在 AB/AC 嵌段共聚物复合物中形成多种囊泡形态。
J Phys Chem B. 2011 Aug 11;115(31):9528-36. doi: 10.1021/jp200678a. Epub 2011 Jul 19.

引用本文的文献

1
Recent Advances on PEO-PCL Block and Graft Copolymers as Nanocarriers for Drug Delivery Applications.聚环氧乙烷-聚己内酯嵌段共聚物和接枝共聚物作为药物递送应用纳米载体的最新进展
Materials (Basel). 2023 Mar 13;16(6):2298. doi: 10.3390/ma16062298.
2
Design and simulation of the liposomal model by using a coarse-grained molecular dynamics approach towards drug delivery goals.利用粗粒度分子动力学方法设计和模拟脂质体模型,以实现药物输送目标。
Sci Rep. 2022 Feb 11;12(1):2371. doi: 10.1038/s41598-022-06380-8.
3
Biodegradable PCL-b-PLA Microspheres with Nanopores Prepared via RAFT Polymerization and UV Photodegradation of Poly(Methyl Vinyl Ketone) Blocks.

本文引用的文献

1
Lamellarity and size distributions in mixed DPPC/amphiphilic poly(2-oxazoline) gradient copolymer vesicles and their temperature response.混合 DPPC/两亲性聚(2-恶唑啉)梯度共聚物囊泡中的层状结构和尺寸分布及其温度响应。
Chem Phys Lipids. 2021 Jan;234:105008. doi: 10.1016/j.chemphyslip.2020.105008. Epub 2020 Nov 9.
2
Characterization of colloidal nanocrystal surface structure using small angle neutron scattering and efficient Bayesian parameter estimation.利用小角中子散射和高效贝叶斯参数估计对胶体纳米晶体表面结构进行表征。
J Chem Phys. 2019 Jun 28;150(24):244702. doi: 10.1063/1.5108904.
3
The hard protein corona of stealth liposomes is sparse.
通过可逆加成-断裂链转移(RAFT)聚合和聚(甲基乙烯基酮)嵌段的紫外光降解制备的具有纳米孔的可生物降解聚己内酯-聚乳酸微球。
Polymers (Basel). 2021 Nov 16;13(22):3964. doi: 10.3390/polym13223964.
疏水性隐形脂质体的硬蛋白外壳。
J Control Release. 2019 Aug 10;307:1-15. doi: 10.1016/j.jconrel.2019.05.042. Epub 2019 Jun 3.
4
Effect of Formulation Method, Lipid Composition, and PEGylation on Vesicle Lamellarity: A Small-Angle Neutron Scattering Study.制剂方法、脂质组成和聚乙二醇化对囊泡层状结构的影响:小角中子散射研究。
Langmuir. 2019 May 7;35(18):6064-6074. doi: 10.1021/acs.langmuir.8b04256. Epub 2019 Apr 12.
5
PEO-b-PCL grafted niosomes: The cooperativilty of amphiphilic components and their properties in vitro and in vivo.PEO-b-PCL 接枝泡囊:两亲性成分的协同作用及其在体内外的性质。
Colloids Surf B Biointerfaces. 2019 May 1;177:338-345. doi: 10.1016/j.colsurfb.2019.01.036. Epub 2019 Jan 22.
6
Colorectal cancer combination therapy using drug and gene co-delivered, targeted poly(ethylene glycol)-ε-poly(caprolactone) nanocarriers.使用药物和基因共递送的靶向聚乙二醇-ε-聚己内酯纳米载体的结直肠癌联合治疗
Drug Des Devel Ther. 2018 Sep 24;12:3171-3180. doi: 10.2147/DDDT.S175614. eCollection 2018.
7
Characterization of a smart pH-cleavable PEG polymer towards the development of dual pH-sensitive liposomes.智能 pH 可裂解 PEG 聚合物的特性及其在双重 pH 敏感脂质体中的发展。
Int J Pharm. 2018 Sep 5;548(1):288-296. doi: 10.1016/j.ijpharm.2018.07.009. Epub 2018 Jul 4.
8
Vesicle Adhesion and Fusion Studied by Small-Angle X-Ray Scattering.通过小角 X 射线散射研究囊泡的黏附和融合。
Biophys J. 2018 Apr 24;114(8):1908-1920. doi: 10.1016/j.bpj.2018.02.040.
9
Physicochemical study of the protein-liposome interactions: influence of liposome composition and concentration on protein binding.蛋白质-脂质体相互作用的物理化学研究:脂质体组成和浓度对蛋白质结合的影响。
J Liposome Res. 2019 Dec;29(4):313-321. doi: 10.1080/08982104.2018.1468774. Epub 2019 Jun 7.
10
Correlation Coefficients: Appropriate Use and Interpretation.相关系数:合理使用与解释。
Anesth Analg. 2018 May;126(5):1763-1768. doi: 10.1213/ANE.0000000000002864.