• 文献检索
  • 文档翻译
  • 深度研究
  • 学术资讯
  • Suppr Zotero 插件Zotero 插件
  • 邀请有礼
  • 套餐&价格
  • 历史记录
应用&插件
Suppr Zotero 插件Zotero 插件浏览器插件Mac 客户端Windows 客户端微信小程序
定价
高级版会员购买积分包购买API积分包
服务
文献检索文档翻译深度研究API 文档MCP 服务
关于我们
关于 Suppr公司介绍联系我们用户协议隐私条款
关注我们

Suppr 超能文献

核心技术专利:CN118964589B侵权必究
粤ICP备2023148730 号-1Suppr @ 2026

文献检索

告别复杂PubMed语法,用中文像聊天一样搜索,搜遍4000万医学文献。AI智能推荐,让科研检索更轻松。

立即免费搜索

文件翻译

保留排版,准确专业,支持PDF/Word/PPT等文件格式,支持 12+语言互译。

免费翻译文档

深度研究

AI帮你快速写综述,25分钟生成高质量综述,智能提取关键信息,辅助科研写作。

立即免费体验

嘧啶-4-甲酰胺类作为酰基磷酰基乙醇胺磷脂酶 D 抑制剂的构效关系研究。

Structure-Activity Relationship Studies of Pyrimidine-4-Carboxamides as Inhibitors of -Acylphosphatidylethanolamine Phospholipase D.

机构信息

Department of Molecular Physiology, Leiden Institute of Chemistry, Leiden University and Oncode Institute, 2300 RA Leiden, Netherlands.

出版信息

J Med Chem. 2021 Jan 14;64(1):481-515. doi: 10.1021/acs.jmedchem.0c01441. Epub 2020 Dec 31.

DOI:10.1021/acs.jmedchem.0c01441
PMID:33382264
原文链接:https://pmc.ncbi.nlm.nih.gov/articles/PMC7816197/
Abstract

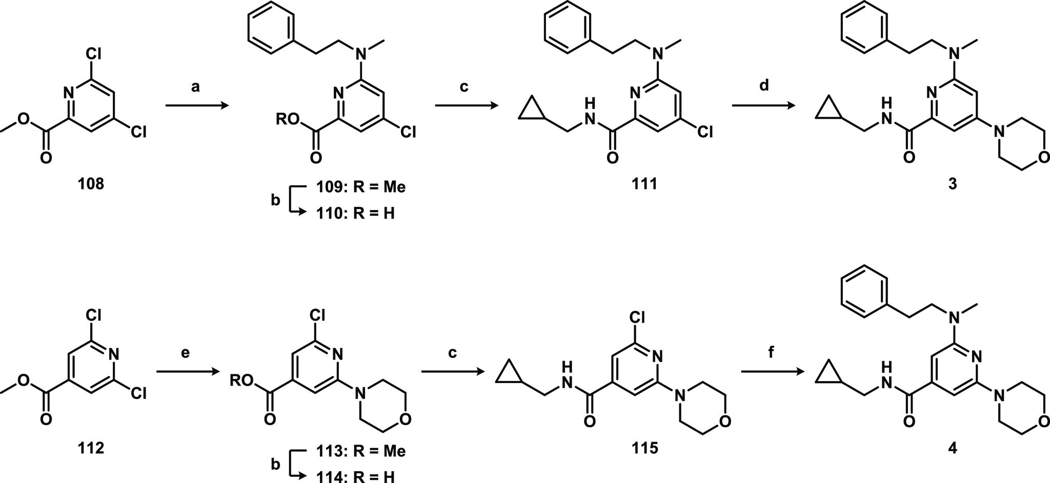
-Acylphosphatidylethanolamine phospholipase D (NAPE-PLD) is regarded as the main enzyme responsible for the biosynthesis of -acylethanolamines (NAEs), a family of bioactive lipid mediators. Previously, we reported -(cyclopropylmethyl)-6-(()-3-hydroxypyrrolidin-1-yl)-2-(()-3-phenylpiperidin-1-yl)pyrimidine-4-carboxamide (, ) as the first potent and selective NAPE-PLD inhibitor that decreased NAEs in the brains of freely moving mice and modulated emotional behavior [Mock , 2020, 16, 667-675]. Here, we describe the structure-activity relationship (SAR) of a library of pyrimidine-4-carboxamides as inhibitors of NAPE-PLD that led to the identification of . A high-throughput screening hit was modified at three different substituents to optimize its potency and lipophilicity. Conformational restriction of an -methylphenethylamine group by replacement with an ()-3-phenylpiperidine increased the inhibitory potency 3-fold. Exchange of a morpholine substituent for an ()-3-hydroxypyrrolidine reduced the lipophilicity and further increased activity by 10-fold, affording as a nanomolar potent inhibitor with drug-like properties. is a suitable pharmacological tool compound to investigate NAPE-PLD function and .

摘要

酰基磷脂酰乙醇胺磷脂酶 D(NAPE-PLD)被认为是生物合成 - 酰基乙醇胺(NAE)的主要酶,NAE 是一类生物活性脂质介质。此前,我们报道了 -(环丙基甲基)-6-((()-3-羟基吡咯烷-1-基)-2-((()-3-苯基哌啶-1-基)嘧啶-4-甲酰胺(,)作为第一个有效的、选择性的 NAPE-PLD 抑制剂,可降低自由活动小鼠大脑中的 NAE,并调节情绪行为[Mock,2020,16,667-675]。在这里,我们描述了嘧啶-4-甲酰胺作为 NAPE-PLD 抑制剂的库的构效关系(SAR),这导致了的鉴定。高内涵筛选命中物在三个不同的取代基上进行修饰,以优化其效力和脂溶性。用()-3-苯基哌啶代替 - 甲基苯乙胺基团可使构象受限,从而使抑制效力提高 3 倍。用()-3-羟基吡咯烷取代吗啉取代基可降低脂溶性,并使活性进一步提高 10 倍,得到具有纳摩尔效力的药物样特性的抑制剂。是一种合适的药理学工具化合物,可用于研究 NAPE-PLD 功能和。

https://cdn.ncbi.nlm.nih.gov/pmc/blobs/d973/7816197/0aba85e921a6/jm0c01441_0004.jpg
https://cdn.ncbi.nlm.nih.gov/pmc/blobs/d973/7816197/302bf97d74a0/jm0c01441_0002.jpg
https://cdn.ncbi.nlm.nih.gov/pmc/blobs/d973/7816197/5240657027f0/jm0c01441_0003.jpg
https://cdn.ncbi.nlm.nih.gov/pmc/blobs/d973/7816197/70262bbe9e95/jm0c01441_0005.jpg
https://cdn.ncbi.nlm.nih.gov/pmc/blobs/d973/7816197/58bdfd3342bf/jm0c01441_0006.jpg
https://cdn.ncbi.nlm.nih.gov/pmc/blobs/d973/7816197/0aba85e921a6/jm0c01441_0004.jpg
https://cdn.ncbi.nlm.nih.gov/pmc/blobs/d973/7816197/302bf97d74a0/jm0c01441_0002.jpg
https://cdn.ncbi.nlm.nih.gov/pmc/blobs/d973/7816197/5240657027f0/jm0c01441_0003.jpg
https://cdn.ncbi.nlm.nih.gov/pmc/blobs/d973/7816197/70262bbe9e95/jm0c01441_0005.jpg
https://cdn.ncbi.nlm.nih.gov/pmc/blobs/d973/7816197/58bdfd3342bf/jm0c01441_0006.jpg
https://cdn.ncbi.nlm.nih.gov/pmc/blobs/d973/7816197/0aba85e921a6/jm0c01441_0004.jpg

相似文献

1
Structure-Activity Relationship Studies of Pyrimidine-4-Carboxamides as Inhibitors of -Acylphosphatidylethanolamine Phospholipase D.嘧啶-4-甲酰胺类作为酰基磷酰基乙醇胺磷脂酶 D 抑制剂的构效关系研究。
J Med Chem. 2021 Jan 14;64(1):481-515. doi: 10.1021/acs.jmedchem.0c01441. Epub 2020 Dec 31.
2
Structure-Activity Relationship Studies of α-Ketoamides as Inhibitors of the Phospholipase A and Acyltransferase Enzyme Family.α-酮酰胺类作为磷脂酶 A 和酰基转移酶家族抑制剂的构效关系研究。
J Med Chem. 2020 Sep 10;63(17):9340-9359. doi: 10.1021/acs.jmedchem.0c00522. Epub 2020 Aug 13.
3
Discovery of a NAPE-PLD inhibitor that modulates emotional behavior in mice.发现一种 NAPE-PLD 抑制剂,可调节小鼠的情绪行为。
Nat Chem Biol. 2020 Jun;16(6):667-675. doi: 10.1038/s41589-020-0528-7. Epub 2020 May 11.
4
Mammalian cells stably overexpressing N-acylphosphatidylethanolamine-hydrolysing phospholipase D exhibit significantly decreased levels of N-acylphosphatidylethanolamines.稳定过表达N-酰基磷脂酰乙醇胺水解磷脂酶D的哺乳动物细胞中,N-酰基磷脂酰乙醇胺水平显著降低。
Biochem J. 2005 Jul 1;389(Pt 1):241-7. doi: 10.1042/BJ20041790.
5
Fluorescence-Based NAPE-PLD Activity Assay.基于荧光的 NAPE-PLD 活性分析。
Methods Mol Biol. 2023;2576:233-240. doi: 10.1007/978-1-0716-2728-0_19.
6
Endocannabinoid-related enzymes as drug targets with special reference to N-acylphosphatidylethanolamine-hydrolyzing phospholipase D.以N-酰基磷脂酰乙醇胺水解磷脂酶D为特别参照的内源性大麻素相关酶作为药物靶点
Curr Med Chem. 2005;12(12):1413-22. doi: 10.2174/0929867054020918.
7
N-acylphosphatidylethanolamine-hydrolysing phospholipase D lacks the ability to transphosphatidylate.N-酰基磷脂酰乙醇胺水解磷脂酶D缺乏转磷脂酰基的能力。
FEBS Lett. 1999 Jul 16;455(1-2):41-4. doi: 10.1016/s0014-5793(99)00861-3.
8
Dietary fatty acids augment tissue levels of n-acylethanolamines in n-acylphosphatidylethanolamine phospholipase D (NAPE-PLD) knockout mice.膳食脂肪酸可增加 N-酰基乙醇胺磷脂酶 D(NAPE-PLD)基因敲除小鼠组织中 N-酰基乙醇胺的水平。
J Nutr Biochem. 2018 Dec;62:134-142. doi: 10.1016/j.jnutbio.2018.08.015. Epub 2018 Sep 5.
9
New players in the fatty acyl ethanolamide metabolism.脂肪酰乙醇胺代谢中的新参与者。
Pharmacol Res. 2014 Aug;86:1-10. doi: 10.1016/j.phrs.2014.04.001. Epub 2014 Apr 18.
10
Symmetrically substituted dichlorophenes inhibit -acyl-phosphatidylethanolamine phospholipase D.对称取代的二氯苯抑制 -酰基-磷脂酰乙醇胺磷脂酶 D。
J Biol Chem. 2020 May 22;295(21):7289-7300. doi: 10.1074/jbc.RA120.013362. Epub 2020 Apr 13.

引用本文的文献

1
Small Molecule Activation of NAPE-PLD Enhances Efferocytosis by Macrophages.小分子激活 NAPE-PLD 增强巨噬细胞的胞饮作用。
ACS Chem Biol. 2023 Aug 18;18(8):1891-1904. doi: 10.1021/acschembio.3c00401. Epub 2023 Aug 2.
2
Endocannabinoid signaling in the central nervous system.中枢神经系统中的内源性大麻素信号传导。
Glia. 2023 Jan;71(1):5-35. doi: 10.1002/glia.24280. Epub 2022 Oct 29.
3
Selective measurement of NAPE-PLD activity via a PLA-resistant fluorogenic N-acyl-phosphatidylethanolamine analog.通过一种 PLA 抗性荧光 N-酰基磷脂酰乙醇胺类似物选择性测量 NAPE-PLD 活性。

本文引用的文献

1
Discovery of a NAPE-PLD inhibitor that modulates emotional behavior in mice.发现一种 NAPE-PLD 抑制剂,可调节小鼠的情绪行为。
Nat Chem Biol. 2020 Jun;16(6):667-675. doi: 10.1038/s41589-020-0528-7. Epub 2020 May 11.
2
Symmetrically substituted dichlorophenes inhibit -acyl-phosphatidylethanolamine phospholipase D.对称取代的二氯苯抑制 -酰基-磷脂酰乙醇胺磷脂酶 D。
J Biol Chem. 2020 May 22;295(21):7289-7300. doi: 10.1074/jbc.RA120.013362. Epub 2020 Apr 13.
3
Endocannabinoids and related -acylethanolamines: biological activities and metabolism.
J Lipid Res. 2022 Jan;63(1):100156. doi: 10.1016/j.jlr.2021.100156. Epub 2021 Nov 26.
内源性大麻素及相关酰基乙醇胺:生物学活性与代谢
Inflamm Regen. 2018 Oct 1;38:28. doi: 10.1186/s41232-018-0086-5. eCollection 2018.
4
Profiling plasma N-Acylethanolamine levels and their ratios as a biomarker of obesity and dysmetabolism.分析血浆 N-酰基乙醇胺水平及其比值作为肥胖和代谢紊乱的生物标志物。
Mol Metab. 2018 Aug;14:82-94. doi: 10.1016/j.molmet.2018.06.002. Epub 2018 Jun 6.
5
Synthesis and characterization of the first inhibitor of N-acylphosphatidylethanolamine phospholipase D (NAPE-PLD).N-酰基磷脂酰乙醇胺磷脂酶D(NAPE-PLD)首个抑制剂的合成与表征
Chem Commun (Camb). 2017 Nov 28;53(95):12814-12817. doi: 10.1039/c7cc07582k.
6
Mammalian enzymes responsible for the biosynthesis of N-acylethanolamines.哺乳动物酶负责 N-酰基乙醇胺的生物合成。
Biochim Biophys Acta Mol Cell Biol Lipids. 2017 Dec;1862(12):1546-1561. doi: 10.1016/j.bbalip.2017.08.006. Epub 2017 Aug 24.
7
Metabolism of the Endocannabinoid Anandamide: Open Questions after 25 Years.内源性大麻素花生四烯乙醇胺的代谢:25年后的悬而未决问题
Front Mol Neurosci. 2017 May 29;10:166. doi: 10.3389/fnmol.2017.00166. eCollection 2017.
8
Metabolite profiling identifies anandamide as a biomarker of nonalcoholic steatohepatitis.代谢物谱分析确定花生四烯酸乙醇胺为非酒精性脂肪性肝炎的生物标志物。
JCI Insight. 2017 May 4;2(9). doi: 10.1172/jci.insight.92989.
9
Bile Acid Recognition by NAPE-PLD.NAPE-PLD对胆汁酸的识别
ACS Chem Biol. 2016 Oct 21;11(10):2908-2914. doi: 10.1021/acschembio.6b00624. Epub 2016 Sep 12.
10
The "Cyclopropyl Fragment" is a Versatile Player that Frequently Appears in Preclinical/Clinical Drug Molecules.“环丙基片段”是一种经常出现在临床前/临床药物分子中的多功能成分。
J Med Chem. 2016 Oct 13;59(19):8712-8756. doi: 10.1021/acs.jmedchem.6b00472. Epub 2016 Jun 30.