Department of Physical Therapy, School of Allied Health Sciences, Walailak University, Nakhon Si Thammarat, Thailand.
Preclinical Department, Faculty of Medicine, Siam University, Bangkok, Thailand.
PLoS One. 2020 Dec 31;15(12):e0244729. doi: 10.1371/journal.pone.0244729. eCollection 2020.
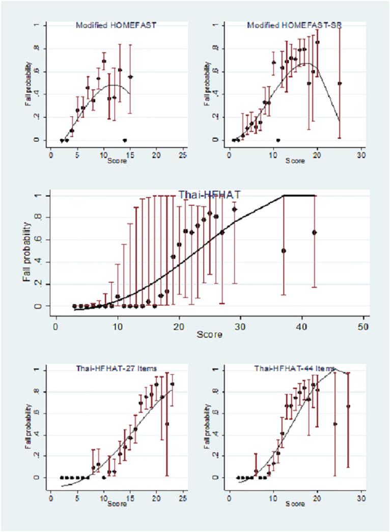
This study aimed to examine the predictive validity of two internationally well-known instruments, the Modified Home Falls and Accidents Screening Tool (Modified HOME FAST) and the Modified Home Falls and Accidents Screening Tool-Self Report (Modified HOME FAST-SR), and the newly developed Thai Home Falls Hazard Assessment Tool (Thai-HFHAT) (69 items) in predicting falls among older Thai adults. It also aimed to examine the predictive validity of the two abbreviated versions (44 and 27 items) of the Thai-HFHAT, which were developed post hoc to accommodate older adults' limited literacy and poor vision and to facilitate the identification of high-impact home fall hazards that are prevalent in the Thailand context. A prospective cohort study was conducted among 450 participants aged 60 years and above who were assessed by the aforementioned tools at baseline, for which data on fall incidence were then collected during the one-year follow-up. The Cox proportional hazard model was applied to estimate hazard ratios (HRs); then, Harrell's C-statistics and receiver operating characteristic (ROC) analyses were conducted to identify the best cutoff point, sensitivity and specificity for each instrument. The results showed that the fall hazard rate was 2.04 times per 1,000 person-days. Taking into account both the predictive validity and applicability, the Thai-HFHAT (44 items) was found to be the most suitable screening tool due to its highest sensitivity and specificity (93% and 72%) at the cutoff score of 18. In conclusion, our study showed that these internationally validated home fall hazard assessment tools were quite applicable for Thailand, but further tailoring the tools into a specific local context yielded even more highly valid tools in predicting fall risk among older Thai adults. Although these findings were well reproducible by inferring from the internal validation results, further external validation in the independent population is necessary.
本研究旨在检验两种国际知名工具,即改良家庭跌倒和意外筛查工具(改良 HOME FAST)和改良家庭跌倒和意外筛查工具-自我报告(改良 HOME FAST-SR),以及新开发的泰国家庭跌倒危险评估工具(Thai-HFHAT)(69 项)在预测泰国老年成年人跌倒方面的预测有效性。它还旨在检验 Thai-HFHAT 的两个缩写版本(44 项和 27 项)的预测有效性,这两个缩写版本是事后开发的,以适应老年人有限的文化程度和较差的视力,并有助于识别在泰国普遍存在的高影响家庭跌倒危险。一项前瞻性队列研究在 450 名 60 岁及以上的参与者中进行,他们在基线时接受了上述工具的评估,然后在为期一年的随访中收集了跌倒发生率的数据。应用 Cox 比例风险模型估计风险比(HR);然后,进行 Harrell 的 C 统计量和接收者操作特征(ROC)分析,以确定每个工具的最佳截断点、敏感性和特异性。结果显示,跌倒危险率为每 1000 人天 2.04 次。考虑到预测有效性和适用性,Thai-HFHAT(44 项)被认为是最适合的筛查工具,因为其在截断分数为 18 时具有最高的敏感性和特异性(93%和 72%)。总之,我们的研究表明,这些国际上验证的家庭跌倒危险评估工具在泰国非常适用,但进一步将这些工具定制到特定的当地环境中,可以为预测泰国老年成年人的跌倒风险提供更具有效性的工具。虽然这些发现可以通过推断内部验证结果来很好地重现,但在独立人群中进行进一步的外部验证是必要的。