• 文献检索
  • 文档翻译
  • 深度研究
  • 学术资讯
  • Suppr Zotero 插件Zotero 插件
  • 邀请有礼
  • 套餐&价格
  • 历史记录
应用&插件
Suppr Zotero 插件Zotero 插件浏览器插件Mac 客户端Windows 客户端微信小程序
定价
高级版会员购买积分包购买API积分包
服务
文献检索文档翻译深度研究API 文档MCP 服务
关于我们
关于 Suppr公司介绍联系我们用户协议隐私条款
关注我们

Suppr 超能文献

核心技术专利:CN118964589B侵权必究
粤ICP备2023148730 号-1Suppr @ 2026

文献检索

告别复杂PubMed语法,用中文像聊天一样搜索,搜遍4000万医学文献。AI智能推荐,让科研检索更轻松。

立即免费搜索

文件翻译

保留排版,准确专业,支持PDF/Word/PPT等文件格式,支持 12+语言互译。

免费翻译文档

深度研究

AI帮你快速写综述,25分钟生成高质量综述,智能提取关键信息,辅助科研写作。

立即免费体验

基于 2013 年韩国国家健康和营养检查调查,考虑促甲状腺激素影响的血铅水平与代谢综合征之间的关系。

Association between blood lead levels and metabolic syndrome considering the effect of the thyroid-stimulating hormone based on the 2013 Korea National health and nutrition examination survey.

机构信息

Department of Health and Safety Convergence Science, Graduate School at Korea University, Seoul, Republic of Korea.

Environmental Health Research Division, National Institute of Environmental Research, Ministry of Environment, Incheon, Republic of Korea.

出版信息

PLoS One. 2020 Dec 31;15(12):e0244821. doi: 10.1371/journal.pone.0244821. eCollection 2020.

DOI:10.1371/journal.pone.0244821
PMID:33382832
原文链接:https://pmc.ncbi.nlm.nih.gov/articles/PMC7775085/
Abstract

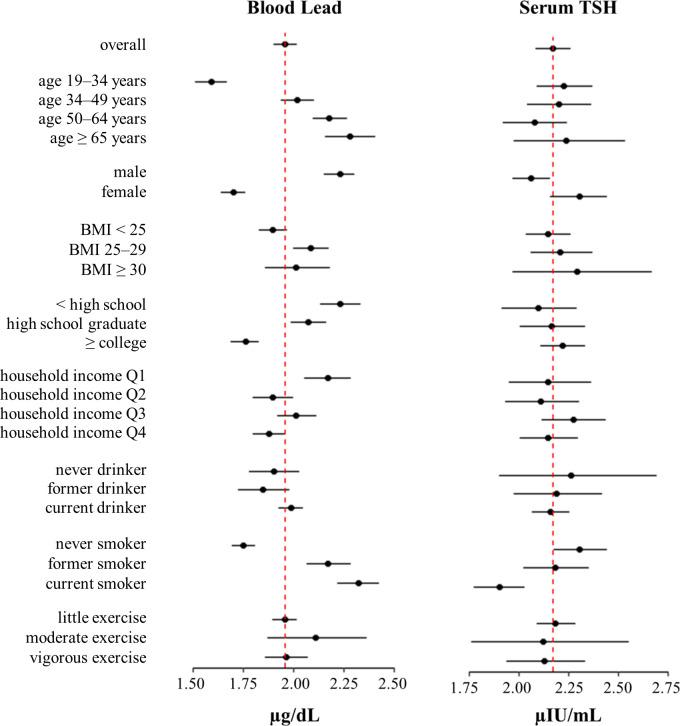
Imbalances in thyroid-stimulating hormone (TSH) levels are associated with metabolic syndrome (MetS), and the underlying mechanism is partly in alignment with that of lead exposure causing MetS. Many studies have reported the association between lead exposure and MetS, but no study has considered the possibility of TSH mediating lead's effect on MetS. Therefore, we aimed to examine the association between lead exposure and MetS considering TSH as a partial mediator. The data of 1,688 adults (age ≥19 years) from the Korea National Health and Nutrition Examination Survey in 2013 were analyzed. The prevalence of MetS in the Korean population was 21.9%, and the geometric mean of blood lead and serum TSH levels were 1.96 μg/dL and 2.17 μIU/mL, respectively. The associations between blood lead levels, serum TSH levels, and MetS were determined through a multiple logistic regression analysis. Blood lead levels were positively associated with high TSH levels (upper 25%) with an odds ratio (OR) and 95% confidence interval (CI) of 1.79 (1.24, 2.58) per doubled lead levels. The increase in blood lead and serum TSH levels both positively increased the odds of developing MetS. The OR of MetS per doubling of blood lead level was 1.53 (1.00, 2.35), and was not attenuated after adjusting for TSH levels. These findings suggest that higher levels of blood lead are positively associated with serum TSH levels and MetS. By exploring the role of TSH as a partial mediator between lead and MetS, we verified that lead exposure has an independent relationship with MetS, regardless of TSH levels.

摘要

促甲状腺激素(TSH)水平失衡与代谢综合征(MetS)有关,其潜在机制与铅暴露导致 MetS 的部分机制一致。许多研究报告了铅暴露与 MetS 之间的关联,但没有研究考虑 TSH 是否介导铅对 MetS 的影响。因此,我们旨在研究 TSH 作为部分介导物时,铅暴露与 MetS 之间的关联。对 2013 年韩国国家健康和营养调查的 1688 名成年人(年龄≥19 岁)的数据进行了分析。韩国人口 MetS 的患病率为 21.9%,血液铅和血清 TSH 水平的几何平均值分别为 1.96μg/dL 和 2.17μIU/mL。通过多因素逻辑回归分析确定了血液铅水平、血清 TSH 水平与 MetS 之间的关系。血液铅水平与高 TSH 水平(上 25%)呈正相关,OR(优势比)和 95%CI(置信区间)分别为每增加两倍铅水平的 1.79(1.24,2.58)。血液铅和血清 TSH 水平的升高均增加了患 MetS 的几率。血液铅水平每增加一倍,患 MetS 的 OR 为 1.53(1.00,2.35),调整 TSH 水平后并未减弱。这些发现表明,血液铅水平升高与血清 TSH 水平和 MetS 呈正相关。通过探索 TSH 作为铅与 MetS 之间部分介导物的作用,我们验证了铅暴露与 MetS 之间存在独立关系,而与 TSH 水平无关。

https://cdn.ncbi.nlm.nih.gov/pmc/blobs/8038/7775085/9cc18379f159/pone.0244821.g003.jpg
https://cdn.ncbi.nlm.nih.gov/pmc/blobs/8038/7775085/512d66cc3e5b/pone.0244821.g001.jpg
https://cdn.ncbi.nlm.nih.gov/pmc/blobs/8038/7775085/ccebfa7f134e/pone.0244821.g002.jpg
https://cdn.ncbi.nlm.nih.gov/pmc/blobs/8038/7775085/9cc18379f159/pone.0244821.g003.jpg
https://cdn.ncbi.nlm.nih.gov/pmc/blobs/8038/7775085/512d66cc3e5b/pone.0244821.g001.jpg
https://cdn.ncbi.nlm.nih.gov/pmc/blobs/8038/7775085/ccebfa7f134e/pone.0244821.g002.jpg
https://cdn.ncbi.nlm.nih.gov/pmc/blobs/8038/7775085/9cc18379f159/pone.0244821.g003.jpg

相似文献

1
Association between blood lead levels and metabolic syndrome considering the effect of the thyroid-stimulating hormone based on the 2013 Korea National health and nutrition examination survey.基于 2013 年韩国国家健康和营养检查调查,考虑促甲状腺激素影响的血铅水平与代谢综合征之间的关系。
PLoS One. 2020 Dec 31;15(12):e0244821. doi: 10.1371/journal.pone.0244821. eCollection 2020.
2
Association between thyroid hormone and components of metabolic syndrome in euthyroid Korean adults: A population-based study.甲状腺激素与甲状腺功能正常的韩国成年人代谢综合征成分之间的关联:一项基于人群的研究。
Medicine (Baltimore). 2021 Dec 23;100(51):e28409. doi: 10.1097/MD.0000000000028409.
3
THE ASSOCIATION OF THYROID HORMONES AND TSH WITH THE METABOLIC SYNDROME IN EUTHYROID TAIWANESE INDIVIDUALS.甲状腺激素和促甲状腺激素与甲状腺功能正常的台湾个体代谢综合征的关联。
Endocr Pract. 2016 Nov;22(11):1303-1309. doi: 10.4158/EP161260.OR. Epub 2016 Aug 2.
4
THYROID FUNCTION AND METABOLIC SYNDROME: A CROSS-SECTIONAL STUDY IN OBESE AND OVERWEIGHT PATIENTS.甲状腺功能与代谢综合征:肥胖和超重患者的横断面研究
Endocr Pract. 2015 Nov;21(11):1204-10. doi: 10.4158/EP15739.OR. Epub 2015 Jul 27.
5
Age-specific reference interval of serum TSH levels is high in adolescence in an iodine excess area: Korea national health and nutrition examination survey data.碘过量地区青少年血清促甲状腺激素水平的年龄特异性参考区间较高:韩国国家健康和营养检查调查数据。
Endocrine. 2017 Sep;57(3):445-454. doi: 10.1007/s12020-017-1375-5. Epub 2017 Jul 31.
6
Variations in Serum Free Thyroxine Concentration Within the Reference Range Predicts the Incidence of Metabolic Syndrome in Non-Obese Adults: A Cohort Study.血清游离甲状腺素浓度在参考范围内的变化可预测非肥胖成年人代谢综合征的发生率:一项队列研究。
Thyroid. 2017 Jul;27(7):886-893. doi: 10.1089/thy.2016.0557.
7
Sex differences in the association between thyroid-stimulating hormone levels and depressive symptoms among the general population with normal free T4 levels.甲状腺刺激素水平与正常游离 T4 水平人群抑郁症状之间的关联存在性别差异。
J Affect Disord. 2019 Apr 15;249:151-158. doi: 10.1016/j.jad.2019.02.027. Epub 2019 Feb 10.
8
Elevated thyroid stimulating hormone and metabolic syndrome risk in patients with first-episode and drug-naïve major depressive disorder: a large-scale cross-sectional study.首发未用药的重性抑郁障碍患者甲状腺刺激激素升高与代谢综合征风险:一项大规模横断面研究。
BMC Psychiatry. 2024 May 21;24(1):380. doi: 10.1186/s12888-024-05847-4.
9
Elevated thyroid stimulating hormone levels are associated with metabolic syndrome in euthyroid young women.甲状腺刺激素水平升高与甲状腺功能正常的年轻女性代谢综合征有关。
Korean J Intern Med. 2013 Mar;28(2):180-6. doi: 10.3904/kjim.2013.28.2.180. Epub 2013 Feb 27.
10
Serum TSH level in healthy Koreans and the association of TSH with serum lipid concentration and metabolic syndrome.韩国健康人群的血清促甲状腺激素水平与血清脂质浓度和代谢综合征的关系。
Korean J Intern Med. 2011 Dec;26(4):432-9. doi: 10.3904/kjim.2011.26.4.432. Epub 2011 Nov 28.

引用本文的文献

1
Prevalence and predictors of thyroid nodules among adults: analyzing the association with metabolic syndrome in a cross-sectional study.成人甲状腺结节的患病率及预测因素:一项横断面研究中分析其与代谢综合征的关联
BMC Endocr Disord. 2025 Feb 13;25(1):40. doi: 10.1186/s12902-025-01869-5.
2
Biomechanical Effectivity Evaluation of Single- and Double-Metal-Bar Methods with Rotation and Equilibrium Displacements in Nuss Procedure Simulations.单双金属棒法在 Nuss 手术模拟中的旋转和平移位移的生物力学有效性评价。
Ann Biomed Eng. 2024 Apr;52(4):1067-1077. doi: 10.1007/s10439-024-03441-z. Epub 2024 Feb 1.
3
Nano-CT characterization of dentinal tubule occlusion in SDF-treated dentin.

本文引用的文献

1
Thyroid dysfunction: how concentration of toxic and essential elements contribute to risk of hypothyroidism, hyperthyroidism, and thyroid cancer.甲状腺功能障碍:有毒和必需元素的浓度如何导致甲状腺功能减退症、甲状腺功能亢进症和甲状腺癌的风险。
Environ Sci Pollut Res Int. 2019 Dec;26(35):35787-35796. doi: 10.1007/s11356-019-06632-7. Epub 2019 Nov 8.
2
Hypertension in Thyroid Disorders.甲状腺疾病中的高血压
Front Endocrinol (Lausanne). 2019 Jul 17;10:482. doi: 10.3389/fendo.2019.00482. eCollection 2019.
3
Oxidative stress in lung cancer patients is associated with altered serum markers of lipid metabolism.
SDF 处理牙本质中牙本质小管阻塞的纳米 CT 特征。
Sci Rep. 2023 Sep 23;13(1):15895. doi: 10.1038/s41598-023-42805-8.
肺癌患者的氧化应激与脂质代谢血清标志物的改变有关。
PLoS One. 2019 Apr 11;14(4):e0215246. doi: 10.1371/journal.pone.0215246. eCollection 2019.
4
Statistical Evaluation of Trace Metals, TSH and T in Blood Serum of Thyroid Disease Patients in Comparison with Controls.甲状腺疾病患者与对照者血清中痕量金属、TSH 和 T 的统计评估。
Biol Trace Elem Res. 2018 May;183(1):58-70. doi: 10.1007/s12011-017-1137-5. Epub 2017 Aug 23.
5
Lead and cadmium exposure, higher thyroid antibodies and thyroid dysfunction in Chinese women.中国女性的铅和镉暴露、甲状腺抗体水平升高与甲状腺功能障碍
Environ Pollut. 2017 Nov;230:320-328. doi: 10.1016/j.envpol.2017.06.052. Epub 2017 Jun 28.
6
Evaluation of calcium and lead interaction, in addition to their impact on thyroid functions in hyper and hypothyroid patients.评估钙和铅的相互作用,以及它们对甲状腺功能亢进和甲状腺功能减退患者甲状腺功能的影响。
Environ Sci Pollut Res Int. 2016 Jan;23(1):878-86. doi: 10.1007/s11356-015-5325-6. Epub 2015 Sep 8.
7
Nitric oxide and mitochondria in metabolic syndrome.一氧化氮与代谢综合征中的线粒体。
Front Physiol. 2015 Feb 17;6:20. doi: 10.3389/fphys.2015.00020. eCollection 2015.
8
Treatment of rats with hypolipidemic compound pirinixic acid protects their hearts against ischemic injury: are mitochondrial K(ATP) channels and reactive oxygen species involved?降脂化合物吡立尼酸治疗大鼠可保护心脏免受缺血性损伤:涉及线粒体 K(ATP) 通道和活性氧吗?
Physiol Res. 2013;62(5):577-84. doi: 10.33549/physiolres.932591. Epub 2013 Sep 10.
9
Elevated thyroid stimulating hormone levels are associated with metabolic syndrome in euthyroid young women.甲状腺刺激素水平升高与甲状腺功能正常的年轻女性代谢综合征有关。
Korean J Intern Med. 2013 Mar;28(2):180-6. doi: 10.3904/kjim.2013.28.2.180. Epub 2013 Feb 27.
10
Blood lead is significantly associated with metabolic syndrome in Korean adults: an analysis based on the Korea National Health and Nutrition Examination Survey (KNHANES), 2008.血液铅含量与韩国成年人代谢综合征显著相关:基于韩国国家健康和营养检查调查(KNHANES)2008 年的分析。
Cardiovasc Diabetol. 2013 Jan 9;12:9. doi: 10.1186/1475-2840-12-9.