Suppr超能文献

拴系牛舍中轻度和中度跛行奶牛的行为与非跛行对照奶牛不同。一项配对病例对照研究。

Slightly and Moderately Lame Cows in Tie Stalls Behave Differently From Non-lame Controls. A Matched Case-Control Study.

作者信息

Bernhard Johanna Karin, Vidondo Beatriz, Achermann Rahel Lisa, Rediger Rahel, Stucki Dimitri, Müller Kerstin Elisabeth, Steiner Adrian

机构信息

Clinic for Ruminants, Vetsuisse-Faculty, University of Bern, Bern, Switzerland.

Veterinary Public Health Institute, Vetsuisse-Faculty, University of Bern, Bern, Switzerland.

出版信息

Front Vet Sci. 2020 Dec 17;7:594825. doi: 10.3389/fvets.2020.594825. eCollection 2020.

Abstract

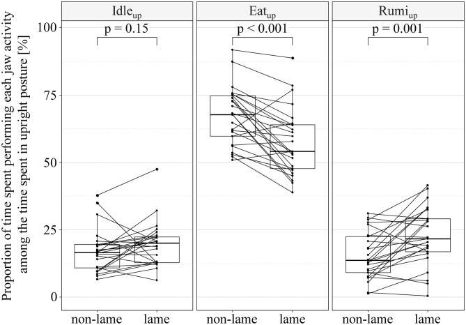
Lameness affects dairy cows worldwide and is usually associated with pain. Behavioral differences in lame compared to non-lame tie-stall-housed dairy cows might be less pronounced than in free-stall-housed, since the principle demands to a cow's locomotor system and thus the impact of lameness on behavior seem to be lower in tie stalls. Behavioral differences between lame and non-lame cows might be used to estimate the impact of lameness on the well-being of tied dairy cows. In the current study, lame cows were categorized as locomotion scoring between 2.25 and 3.25 on a 1-5 scale. The aim was to compare the eating, rumination and lying behavior of lame cows against non-lame tied dairy cows, in order to draw conclusions on the association of lameness, behavior and well-being in tied dairy cows. The eating and rumination behavior of 26, the lying behavior of 30, and the relative upright and lying activities of 25 matched case-control pairs were analyzed, considering the matching criteria farm, breed-type, and parity-group. Lame cows had fewer [mean of the pairwise differences (case-control) (mean) = -2.6 bouts, CI (-3.8--1.4) bouts, = 0.001], but longer lying bouts [mean = 26.7 min per bout, CI (10.1-43.4) min per bout, = 0.006]. The lying time was shorter [mean = -64.7 min, CI (-104.4--24.9) min, = 0.006] in lame cows compared to their non-lame controls. Lame cows had a shorter eating time [mean = -27.7 min, CI (-51.5--4.0) min, = 0.042] and spent a larger proportion of their upright time ruminating [mean = 7.2%, CI (3.2-11.1)%, = 0.001] instead of eating. The results of the current study indicate that the eating, rumination, and lying behavior of lame tied dairy cows is altered. These findings indicate that slight and moderate lameness (locomotion score between 2.25 and 3.25 on a 1-5 scale) are likely to be associated with an impaired well-being in affected tied dairy cows. This underlines the need to continuously reduce the lameness prevalence and severity in tied dairy herds.

摘要

跛行影响着全球的奶牛,并且通常与疼痛相关。与散栏饲养的奶牛相比,拴系饲养的跛行奶牛与非跛行奶牛之间的行为差异可能不那么明显,因为拴系栏对奶牛运动系统的要求原则上较低,因此跛行对行为的影响在拴系栏中似乎也较小。跛行奶牛与非跛行奶牛之间的行为差异可用于评估跛行对拴系奶牛福利的影响。在本研究中,跛行奶牛的运动评分为1 - 5分制中的2.25至3.25分。目的是比较跛行奶牛与非跛行拴系奶牛的采食、反刍和躺卧行为,以便得出关于跛行、行为和拴系奶牛福利之间关联的结论。考虑到农场、品种类型和胎次组的匹配标准,分析了26对匹配的病例对照对的采食和反刍行为、30对的躺卧行为以及25对的相对站立和躺卧活动。跛行奶牛的采食次数较少[配对差异(病例 - 对照)均值 = -2.6次,可信区间(-3.8 - -1.4)次,P = 0.001],但躺卧时间较长[每次躺卧平均 = 26.7分钟,可信区间(10.1 - 43.4)分钟,P = 0.006]。与非跛行对照奶牛相比,跛行奶牛的躺卧时间较短[均值 = -64.7分钟,可信区间(-104.4 - -24.9)分钟,P = 0.006]。跛行奶牛的采食时间较短[均值 = -27.7分钟,可信区间(-51.5 - -4.0)分钟,P = 0.042],并且站立时用于反刍的时间比例更大[均值 = 7.2%,可信区间(3.2 - 11.1)%,P = 0.001],而不是用于采食。本研究结果表明,跛行的拴系奶牛的采食、反刍和躺卧行为发生了改变。这些发现表明,轻度和中度跛行(1 - 5分制中运动评分为2.25至3.25分)可能与受影响的拴系奶牛的福利受损有关。这突出了持续降低拴系奶牛群中跛行发生率和严重程度的必要性。

https://cdn.ncbi.nlm.nih.gov/pmc/blobs/7e41/7773726/a90e6a41ace9/fvets-07-594825-g0001.jpg

文献AI研究员

20分钟写一篇综述,助力文献阅读效率提升50倍。

立即体验

用中文搜PubMed

大模型驱动的PubMed中文搜索引擎

马上搜索

文档翻译

学术文献翻译模型,支持多种主流文档格式。

立即体验